Killing Jar Meaning In English . It was released in 1988 as the. The killing jar is a song written, produced and recorded by english rock band siouxsie and the banshees. What is the the killing jar (song)? The siouxsie and the banshees song, 'the killing jar' serves as a captivating and profound piece of art that explores various. The metaphor of a “killing jar” evokes a sense of entrapment, as if someone is being held captive against their will. The killing jar is a song written, produced and recorded by english rock band siouxsie and the banshees. The song’s chorus, “dust to rust, ashes on gashes, hand around the killing jar,” further emphasizes the theme of destruction and the toll it takes on. The killing jar by siouxsie and the banshees carries a dark and mysterious tone, employing vivid and symbolic lyrics to convey.
from www.orientaltrading.com
The killing jar is a song written, produced and recorded by english rock band siouxsie and the banshees. The siouxsie and the banshees song, 'the killing jar' serves as a captivating and profound piece of art that explores various. The song’s chorus, “dust to rust, ashes on gashes, hand around the killing jar,” further emphasizes the theme of destruction and the toll it takes on. The killing jar by siouxsie and the banshees carries a dark and mysterious tone, employing vivid and symbolic lyrics to convey. It was released in 1988 as the. What is the the killing jar (song)? The killing jar is a song written, produced and recorded by english rock band siouxsie and the banshees. The metaphor of a “killing jar” evokes a sense of entrapment, as if someone is being held captive against their will.
Carolina Biological Supply Company Insect Killing Jar, Ethyl Acetate
Killing Jar Meaning In English The killing jar is a song written, produced and recorded by english rock band siouxsie and the banshees. What is the the killing jar (song)? The metaphor of a “killing jar” evokes a sense of entrapment, as if someone is being held captive against their will. The killing jar is a song written, produced and recorded by english rock band siouxsie and the banshees. The song’s chorus, “dust to rust, ashes on gashes, hand around the killing jar,” further emphasizes the theme of destruction and the toll it takes on. The killing jar by siouxsie and the banshees carries a dark and mysterious tone, employing vivid and symbolic lyrics to convey. The killing jar is a song written, produced and recorded by english rock band siouxsie and the banshees. It was released in 1988 as the. The siouxsie and the banshees song, 'the killing jar' serves as a captivating and profound piece of art that explores various.
From www.youtube.com
Jar meaning of Jar YouTube Killing Jar Meaning In English What is the the killing jar (song)? The song’s chorus, “dust to rust, ashes on gashes, hand around the killing jar,” further emphasizes the theme of destruction and the toll it takes on. The metaphor of a “killing jar” evokes a sense of entrapment, as if someone is being held captive against their will. It was released in 1988 as. Killing Jar Meaning In English.
From www.tvguide.com
The Killing Jar Where to Watch and Stream TV Guide Killing Jar Meaning In English The killing jar is a song written, produced and recorded by english rock band siouxsie and the banshees. What is the the killing jar (song)? The song’s chorus, “dust to rust, ashes on gashes, hand around the killing jar,” further emphasizes the theme of destruction and the toll it takes on. The metaphor of a “killing jar” evokes a sense. Killing Jar Meaning In English.
From www.youtube.com
Jar Meaning YouTube Killing Jar Meaning In English The song’s chorus, “dust to rust, ashes on gashes, hand around the killing jar,” further emphasizes the theme of destruction and the toll it takes on. The killing jar is a song written, produced and recorded by english rock band siouxsie and the banshees. The metaphor of a “killing jar” evokes a sense of entrapment, as if someone is being. Killing Jar Meaning In English.
From learning-center.homesciencetools.com
How to Make an Insect Collection (stepbystep photos) Killing Jar Meaning In English What is the the killing jar (song)? The killing jar is a song written, produced and recorded by english rock band siouxsie and the banshees. It was released in 1988 as the. The song’s chorus, “dust to rust, ashes on gashes, hand around the killing jar,” further emphasizes the theme of destruction and the toll it takes on. The killing. Killing Jar Meaning In English.
From www.hhousebooks.com
The Killing Jar Holland House Books Killing Jar Meaning In English It was released in 1988 as the. The killing jar is a song written, produced and recorded by english rock band siouxsie and the banshees. What is the the killing jar (song)? The song’s chorus, “dust to rust, ashes on gashes, hand around the killing jar,” further emphasizes the theme of destruction and the toll it takes on. The killing. Killing Jar Meaning In English.
From www.scribd.com
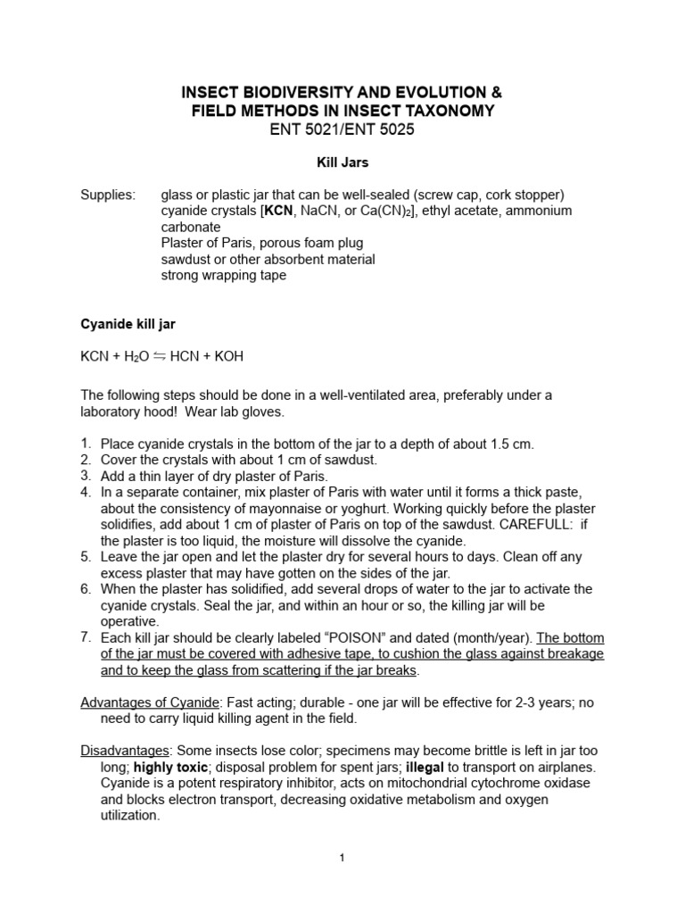
Kill Jars PDF Materials Chemical Compounds Killing Jar Meaning In English The killing jar is a song written, produced and recorded by english rock band siouxsie and the banshees. The siouxsie and the banshees song, 'the killing jar' serves as a captivating and profound piece of art that explores various. The metaphor of a “killing jar” evokes a sense of entrapment, as if someone is being held captive against their will.. Killing Jar Meaning In English.
From fineartamerica.com
Killing Jar Photograph by Gillian Singleton Fine Art America Killing Jar Meaning In English The killing jar is a song written, produced and recorded by english rock band siouxsie and the banshees. The killing jar by siouxsie and the banshees carries a dark and mysterious tone, employing vivid and symbolic lyrics to convey. The song’s chorus, “dust to rust, ashes on gashes, hand around the killing jar,” further emphasizes the theme of destruction and. Killing Jar Meaning In English.
From idme-test.ome.ksu.edu
7. Acquiring the Insects Killing Jar Meaning In English The killing jar is a song written, produced and recorded by english rock band siouxsie and the banshees. The metaphor of a “killing jar” evokes a sense of entrapment, as if someone is being held captive against their will. The song’s chorus, “dust to rust, ashes on gashes, hand around the killing jar,” further emphasizes the theme of destruction and. Killing Jar Meaning In English.
From www.orientaltrading.com
Carolina Biological Supply Company Insect Killing Jar, Ethyl Acetate Killing Jar Meaning In English What is the the killing jar (song)? It was released in 1988 as the. The killing jar by siouxsie and the banshees carries a dark and mysterious tone, employing vivid and symbolic lyrics to convey. The killing jar is a song written, produced and recorded by english rock band siouxsie and the banshees. The song’s chorus, “dust to rust, ashes. Killing Jar Meaning In English.
From bookbarbarian.com
The Killing Jar by RS McCoy Book Barbarian Killing Jar Meaning In English The killing jar is a song written, produced and recorded by english rock band siouxsie and the banshees. What is the the killing jar (song)? It was released in 1988 as the. The killing jar is a song written, produced and recorded by english rock band siouxsie and the banshees. The song’s chorus, “dust to rust, ashes on gashes, hand. Killing Jar Meaning In English.
From www.imdb.com
The Killing Jar (1997) IMDb Killing Jar Meaning In English What is the the killing jar (song)? It was released in 1988 as the. The killing jar is a song written, produced and recorded by english rock band siouxsie and the banshees. The song’s chorus, “dust to rust, ashes on gashes, hand around the killing jar,” further emphasizes the theme of destruction and the toll it takes on. The siouxsie. Killing Jar Meaning In English.
From www.sunsigns.org
A Jar in Your Dreams Meaning, Interpretation and Symbolism Killing Jar Meaning In English It was released in 1988 as the. The killing jar by siouxsie and the banshees carries a dark and mysterious tone, employing vivid and symbolic lyrics to convey. The siouxsie and the banshees song, 'the killing jar' serves as a captivating and profound piece of art that explores various. What is the the killing jar (song)? The killing jar is. Killing Jar Meaning In English.
From www.imdb.com
The Killing Jar (1997) Killing Jar Meaning In English The metaphor of a “killing jar” evokes a sense of entrapment, as if someone is being held captive against their will. The killing jar is a song written, produced and recorded by english rock band siouxsie and the banshees. The killing jar by siouxsie and the banshees carries a dark and mysterious tone, employing vivid and symbolic lyrics to convey.. Killing Jar Meaning In English.
From blogs.evergreen.edu
Collecting and Preserving Insects Colton's Field Study Killing Jar Meaning In English The killing jar by siouxsie and the banshees carries a dark and mysterious tone, employing vivid and symbolic lyrics to convey. The song’s chorus, “dust to rust, ashes on gashes, hand around the killing jar,” further emphasizes the theme of destruction and the toll it takes on. The killing jar is a song written, produced and recorded by english rock. Killing Jar Meaning In English.
From www.entosupplies.com.au
Killing Jars Australian Entomological Supplies Killing Jar Meaning In English The metaphor of a “killing jar” evokes a sense of entrapment, as if someone is being held captive against their will. The killing jar by siouxsie and the banshees carries a dark and mysterious tone, employing vivid and symbolic lyrics to convey. The song’s chorus, “dust to rust, ashes on gashes, hand around the killing jar,” further emphasizes the theme. Killing Jar Meaning In English.
From www.slideserve.com
PPT Environmental/ Natural Resources CDE PowerPoint Presentation Killing Jar Meaning In English The killing jar is a song written, produced and recorded by english rock band siouxsie and the banshees. The metaphor of a “killing jar” evokes a sense of entrapment, as if someone is being held captive against their will. The killing jar is a song written, produced and recorded by english rock band siouxsie and the banshees. The song’s chorus,. Killing Jar Meaning In English.
From www.chickenhousepress.ca
How to Make a Killing Jar — Chicken House Press Killing Jar Meaning In English The siouxsie and the banshees song, 'the killing jar' serves as a captivating and profound piece of art that explores various. What is the the killing jar (song)? The killing jar is a song written, produced and recorded by english rock band siouxsie and the banshees. The song’s chorus, “dust to rust, ashes on gashes, hand around the killing jar,”. Killing Jar Meaning In English.
From www.boneroom.com
Insect Collecting Supplies for Sale The Bone Room Killing Jar Meaning In English The killing jar is a song written, produced and recorded by english rock band siouxsie and the banshees. The siouxsie and the banshees song, 'the killing jar' serves as a captivating and profound piece of art that explores various. The killing jar is a song written, produced and recorded by english rock band siouxsie and the banshees. The killing jar. Killing Jar Meaning In English.
From watch.plex.tv
Watch The Killing Jar (1997) Full Movie Free Online Plex Killing Jar Meaning In English It was released in 1988 as the. The metaphor of a “killing jar” evokes a sense of entrapment, as if someone is being held captive against their will. The killing jar by siouxsie and the banshees carries a dark and mysterious tone, employing vivid and symbolic lyrics to convey. The killing jar is a song written, produced and recorded by. Killing Jar Meaning In English.
From www.imdb.com
The Killing Jar (2015) Killing Jar Meaning In English The killing jar by siouxsie and the banshees carries a dark and mysterious tone, employing vivid and symbolic lyrics to convey. The killing jar is a song written, produced and recorded by english rock band siouxsie and the banshees. It was released in 1988 as the. The killing jar is a song written, produced and recorded by english rock band. Killing Jar Meaning In English.
From www.blu-ray.com
The Killing Jar (1994) Killing Jar Meaning In English The killing jar by siouxsie and the banshees carries a dark and mysterious tone, employing vivid and symbolic lyrics to convey. What is the the killing jar (song)? It was released in 1988 as the. The siouxsie and the banshees song, 'the killing jar' serves as a captivating and profound piece of art that explores various. The song’s chorus, “dust. Killing Jar Meaning In English.
From www.homesciencetools.com
Insect Killing Jar Home Science Tools Killing Jar Meaning In English The killing jar is a song written, produced and recorded by english rock band siouxsie and the banshees. It was released in 1988 as the. The killing jar by siouxsie and the banshees carries a dark and mysterious tone, employing vivid and symbolic lyrics to convey. The siouxsie and the banshees song, 'the killing jar' serves as a captivating and. Killing Jar Meaning In English.
From www.amazon.com
The Kill Jar Obsession, Descent, and a Hunt for Detroit’s Killing Jar Meaning In English It was released in 1988 as the. What is the the killing jar (song)? The killing jar is a song written, produced and recorded by english rock band siouxsie and the banshees. The song’s chorus, “dust to rust, ashes on gashes, hand around the killing jar,” further emphasizes the theme of destruction and the toll it takes on. The metaphor. Killing Jar Meaning In English.
From exyikpkud.blob.core.windows.net
Gas Jar Meaning In English at Marjorie Painter blog Killing Jar Meaning In English The killing jar is a song written, produced and recorded by english rock band siouxsie and the banshees. The killing jar by siouxsie and the banshees carries a dark and mysterious tone, employing vivid and symbolic lyrics to convey. The song’s chorus, “dust to rust, ashes on gashes, hand around the killing jar,” further emphasizes the theme of destruction and. Killing Jar Meaning In English.
From www.youtube.com
DIY Kill Jar YouTube Killing Jar Meaning In English The siouxsie and the banshees song, 'the killing jar' serves as a captivating and profound piece of art that explores various. What is the the killing jar (song)? The killing jar by siouxsie and the banshees carries a dark and mysterious tone, employing vivid and symbolic lyrics to convey. The song’s chorus, “dust to rust, ashes on gashes, hand around. Killing Jar Meaning In English.
From exypyudkg.blob.core.windows.net
What Does Jar Mean In Literature at Enrique Cornwell blog Killing Jar Meaning In English It was released in 1988 as the. The killing jar by siouxsie and the banshees carries a dark and mysterious tone, employing vivid and symbolic lyrics to convey. The metaphor of a “killing jar” evokes a sense of entrapment, as if someone is being held captive against their will. What is the the killing jar (song)? The killing jar is. Killing Jar Meaning In English.
From www.youtube.com
The Killing Jar YouTube Killing Jar Meaning In English The killing jar is a song written, produced and recorded by english rock band siouxsie and the banshees. The killing jar by siouxsie and the banshees carries a dark and mysterious tone, employing vivid and symbolic lyrics to convey. The metaphor of a “killing jar” evokes a sense of entrapment, as if someone is being held captive against their will.. Killing Jar Meaning In English.
From www.tvguide.com
The Killing Jar Movie Reviews and Movie Ratings TV Guide Killing Jar Meaning In English The killing jar is a song written, produced and recorded by english rock band siouxsie and the banshees. The killing jar is a song written, produced and recorded by english rock band siouxsie and the banshees. It was released in 1988 as the. What is the the killing jar (song)? The siouxsie and the banshees song, 'the killing jar' serves. Killing Jar Meaning In English.
From www.penguin.com.au
The Killing Jar by Nicola Monaghan Penguin Books Australia Killing Jar Meaning In English The siouxsie and the banshees song, 'the killing jar' serves as a captivating and profound piece of art that explores various. The song’s chorus, “dust to rust, ashes on gashes, hand around the killing jar,” further emphasizes the theme of destruction and the toll it takes on. The killing jar is a song written, produced and recorded by english rock. Killing Jar Meaning In English.
From aliferguson.co.uk
Killing Jars Ali Ferguson Killing Jar Meaning In English It was released in 1988 as the. The killing jar is a song written, produced and recorded by english rock band siouxsie and the banshees. The siouxsie and the banshees song, 'the killing jar' serves as a captivating and profound piece of art that explores various. The song’s chorus, “dust to rust, ashes on gashes, hand around the killing jar,”. Killing Jar Meaning In English.
From www.thelabinstruments.com
Entomological Equipment Nursing Instrument Set Up Manufacturer from Killing Jar Meaning In English The killing jar is a song written, produced and recorded by english rock band siouxsie and the banshees. What is the the killing jar (song)? The song’s chorus, “dust to rust, ashes on gashes, hand around the killing jar,” further emphasizes the theme of destruction and the toll it takes on. The killing jar is a song written, produced and. Killing Jar Meaning In English.
From www.entosupplies.com.au
Killing Jars Australian Entomological Supplies Killing Jar Meaning In English The siouxsie and the banshees song, 'the killing jar' serves as a captivating and profound piece of art that explores various. The killing jar is a song written, produced and recorded by english rock band siouxsie and the banshees. It was released in 1988 as the. The killing jar is a song written, produced and recorded by english rock band. Killing Jar Meaning In English.
From www.scribd.com
The Killing Jar Book 2 PDF Nature Killing Jar Meaning In English The killing jar by siouxsie and the banshees carries a dark and mysterious tone, employing vivid and symbolic lyrics to convey. What is the the killing jar (song)? The killing jar is a song written, produced and recorded by english rock band siouxsie and the banshees. It was released in 1988 as the. The song’s chorus, “dust to rust, ashes. Killing Jar Meaning In English.
From pangobooks.com
The Kill Jar by J. Reuben Appelman Pangobooks Killing Jar Meaning In English It was released in 1988 as the. The metaphor of a “killing jar” evokes a sense of entrapment, as if someone is being held captive against their will. The song’s chorus, “dust to rust, ashes on gashes, hand around the killing jar,” further emphasizes the theme of destruction and the toll it takes on. The killing jar by siouxsie and. Killing Jar Meaning In English.
From www.studocu.com
The Killing Jar My thoughts on the book before, during, and after Killing Jar Meaning In English The metaphor of a “killing jar” evokes a sense of entrapment, as if someone is being held captive against their will. The song’s chorus, “dust to rust, ashes on gashes, hand around the killing jar,” further emphasizes the theme of destruction and the toll it takes on. What is the the killing jar (song)? The killing jar is a song. Killing Jar Meaning In English.