How Many Vials Of Test For A 12 Week Cycle . And for that, you want 3 250mg vials as they're almost always short measured. Let’s look at how the dosage varies per cycle: I'm thinking about running testosterone enanthate on a 12 week cycle for my first cycle and am not sure how many vials i. It gives the newcomer a solid start. 40mg tamoxifen (nolva) per day. Pct starts week 12, two weeks after last test shot. I’ve already talked about the 1 vial steroid cycle enough in the past, let’s get into the beginner 500 mg/wk test cycle. My first steroid cycle was the classic 500 mg of test enanthate for 12 weeks. What you’ll need are 2/ 10 ml bottles of testosterone. This is exactly how it was laid out: 20mg tamoxifen (nolva) per day. A 500mg/ml 21ml vial equals out to about ~40 injections (give or take for waste) at 250mg, which means 20 weeks, assuming you inject twice a.
from cegnwoqg.blob.core.windows.net
40mg tamoxifen (nolva) per day. And for that, you want 3 250mg vials as they're almost always short measured. A 500mg/ml 21ml vial equals out to about ~40 injections (give or take for waste) at 250mg, which means 20 weeks, assuming you inject twice a. This is exactly how it was laid out: Let’s look at how the dosage varies per cycle: I'm thinking about running testosterone enanthate on a 12 week cycle for my first cycle and am not sure how many vials i. I’ve already talked about the 1 vial steroid cycle enough in the past, let’s get into the beginner 500 mg/wk test cycle. It gives the newcomer a solid start. Pct starts week 12, two weeks after last test shot. What you’ll need are 2/ 10 ml bottles of testosterone.
How Many Vials Of Test E Do I Need at Sandra Jones blog
How Many Vials Of Test For A 12 Week Cycle What you’ll need are 2/ 10 ml bottles of testosterone. My first steroid cycle was the classic 500 mg of test enanthate for 12 weeks. 20mg tamoxifen (nolva) per day. I'm thinking about running testosterone enanthate on a 12 week cycle for my first cycle and am not sure how many vials i. And for that, you want 3 250mg vials as they're almost always short measured. What you’ll need are 2/ 10 ml bottles of testosterone. It gives the newcomer a solid start. Let’s look at how the dosage varies per cycle: 40mg tamoxifen (nolva) per day. This is exactly how it was laid out: Pct starts week 12, two weeks after last test shot. A 500mg/ml 21ml vial equals out to about ~40 injections (give or take for waste) at 250mg, which means 20 weeks, assuming you inject twice a. I’ve already talked about the 1 vial steroid cycle enough in the past, let’s get into the beginner 500 mg/wk test cycle.
From mounjaro-pharma.com
semaglutide Week 112 Bundle Mounjaro Pharma How Many Vials Of Test For A 12 Week Cycle It gives the newcomer a solid start. This is exactly how it was laid out: 40mg tamoxifen (nolva) per day. Pct starts week 12, two weeks after last test shot. Let’s look at how the dosage varies per cycle: I’ve already talked about the 1 vial steroid cycle enough in the past, let’s get into the beginner 500 mg/wk test. How Many Vials Of Test For A 12 Week Cycle.
From cegnwoqg.blob.core.windows.net
How Many Vials Of Test E Do I Need at Sandra Jones blog How Many Vials Of Test For A 12 Week Cycle 20mg tamoxifen (nolva) per day. This is exactly how it was laid out: And for that, you want 3 250mg vials as they're almost always short measured. My first steroid cycle was the classic 500 mg of test enanthate for 12 weeks. I’ve already talked about the 1 vial steroid cycle enough in the past, let’s get into the beginner. How Many Vials Of Test For A 12 Week Cycle.
From www.youtube.com
Blood Vials With Colour Code &Their Uses Blood Collection Tubes How Many Vials Of Test For A 12 Week Cycle My first steroid cycle was the classic 500 mg of test enanthate for 12 weeks. This is exactly how it was laid out: Pct starts week 12, two weeks after last test shot. What you’ll need are 2/ 10 ml bottles of testosterone. I’ve already talked about the 1 vial steroid cycle enough in the past, let’s get into the. How Many Vials Of Test For A 12 Week Cycle.
From dl-uk.apowersoft.com
Printable Phlebotomy Tubes And Tests Chart How Many Vials Of Test For A 12 Week Cycle Let’s look at how the dosage varies per cycle: Pct starts week 12, two weeks after last test shot. 40mg tamoxifen (nolva) per day. And for that, you want 3 250mg vials as they're almost always short measured. 20mg tamoxifen (nolva) per day. I’ve already talked about the 1 vial steroid cycle enough in the past, let’s get into the. How Many Vials Of Test For A 12 Week Cycle.
From loebfatyo.blob.core.windows.net
How Many Ml Are In A Vial at Brooks Plumb blog How Many Vials Of Test For A 12 Week Cycle I’ve already talked about the 1 vial steroid cycle enough in the past, let’s get into the beginner 500 mg/wk test cycle. I'm thinking about running testosterone enanthate on a 12 week cycle for my first cycle and am not sure how many vials i. And for that, you want 3 250mg vials as they're almost always short measured. It. How Many Vials Of Test For A 12 Week Cycle.
From www.speedysticks.com
How Many Vials of Blood Can Be Drawn at Once? Speedy Sticks Mobile How Many Vials Of Test For A 12 Week Cycle This is exactly how it was laid out: It gives the newcomer a solid start. A 500mg/ml 21ml vial equals out to about ~40 injections (give or take for waste) at 250mg, which means 20 weeks, assuming you inject twice a. My first steroid cycle was the classic 500 mg of test enanthate for 12 weeks. 40mg tamoxifen (nolva) per. How Many Vials Of Test For A 12 Week Cycle.
From forums.steroid.com
2 different size vials of ** Test Enenthate??? How Many Vials Of Test For A 12 Week Cycle I’ve already talked about the 1 vial steroid cycle enough in the past, let’s get into the beginner 500 mg/wk test cycle. My first steroid cycle was the classic 500 mg of test enanthate for 12 weeks. Let’s look at how the dosage varies per cycle: What you’ll need are 2/ 10 ml bottles of testosterone. I'm thinking about running. How Many Vials Of Test For A 12 Week Cycle.
From exouaxmgd.blob.core.windows.net
How Much Are Fillers In Colombia at Elaine Bonner blog How Many Vials Of Test For A 12 Week Cycle It gives the newcomer a solid start. 40mg tamoxifen (nolva) per day. Pct starts week 12, two weeks after last test shot. A 500mg/ml 21ml vial equals out to about ~40 injections (give or take for waste) at 250mg, which means 20 weeks, assuming you inject twice a. 20mg tamoxifen (nolva) per day. And for that, you want 3 250mg. How Many Vials Of Test For A 12 Week Cycle.
From exowcxebz.blob.core.windows.net
Blood Test Bottle Colours Nhs at Joseph Forrest blog How Many Vials Of Test For A 12 Week Cycle Let’s look at how the dosage varies per cycle: And for that, you want 3 250mg vials as they're almost always short measured. My first steroid cycle was the classic 500 mg of test enanthate for 12 weeks. Pct starts week 12, two weeks after last test shot. It gives the newcomer a solid start. What you’ll need are 2/. How Many Vials Of Test For A 12 Week Cycle.
From drjennpb.com
Semaglutide 12.5mg + B12 (Wegovy Equivilent) by Dr Jenn How Many Vials Of Test For A 12 Week Cycle This is exactly how it was laid out: What you’ll need are 2/ 10 ml bottles of testosterone. Pct starts week 12, two weeks after last test shot. And for that, you want 3 250mg vials as they're almost always short measured. I'm thinking about running testosterone enanthate on a 12 week cycle for my first cycle and am not. How Many Vials Of Test For A 12 Week Cycle.
From www.numerade.com
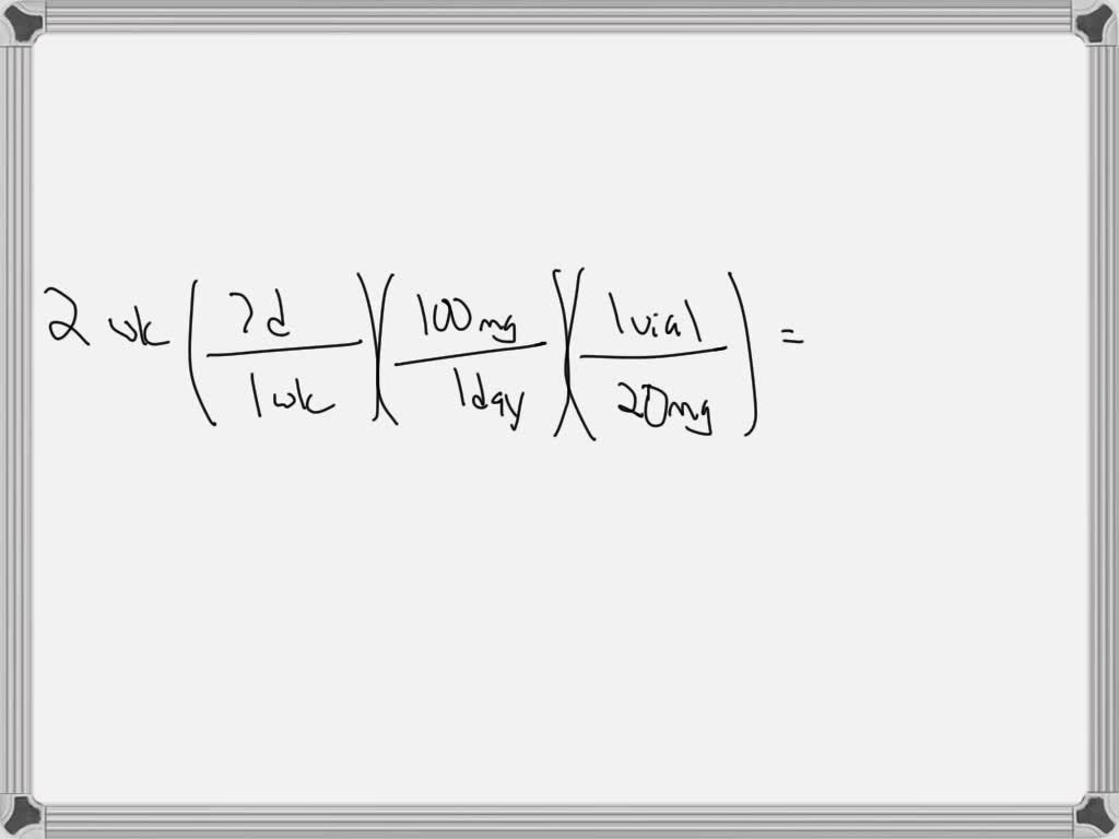
SOLVED A patient is prescribed 100.0 mg / day of antibiotic for 2 How Many Vials Of Test For A 12 Week Cycle Pct starts week 12, two weeks after last test shot. What you’ll need are 2/ 10 ml bottles of testosterone. I'm thinking about running testosterone enanthate on a 12 week cycle for my first cycle and am not sure how many vials i. My first steroid cycle was the classic 500 mg of test enanthate for 12 weeks. 20mg tamoxifen. How Many Vials Of Test For A 12 Week Cycle.
From www.numerade.com
A patient is prescribed 100mg/day of antibiotic for 2 weeks. The How Many Vials Of Test For A 12 Week Cycle A 500mg/ml 21ml vial equals out to about ~40 injections (give or take for waste) at 250mg, which means 20 weeks, assuming you inject twice a. It gives the newcomer a solid start. Pct starts week 12, two weeks after last test shot. And for that, you want 3 250mg vials as they're almost always short measured. I'm thinking about. How Many Vials Of Test For A 12 Week Cycle.
From cegnwoqg.blob.core.windows.net
How Many Vials Of Test E Do I Need at Sandra Jones blog How Many Vials Of Test For A 12 Week Cycle Pct starts week 12, two weeks after last test shot. Let’s look at how the dosage varies per cycle: And for that, you want 3 250mg vials as they're almost always short measured. What you’ll need are 2/ 10 ml bottles of testosterone. 20mg tamoxifen (nolva) per day. It gives the newcomer a solid start. My first steroid cycle was. How Many Vials Of Test For A 12 Week Cycle.
From klaxmenrs.blob.core.windows.net
How Many Vials Of Blood Can You Take At Once at Lucille Conant blog How Many Vials Of Test For A 12 Week Cycle 40mg tamoxifen (nolva) per day. This is exactly how it was laid out: Pct starts week 12, two weeks after last test shot. Let’s look at how the dosage varies per cycle: My first steroid cycle was the classic 500 mg of test enanthate for 12 weeks. I’ve already talked about the 1 vial steroid cycle enough in the past,. How Many Vials Of Test For A 12 Week Cycle.
From www.youtube.com
How To Give an Insulin Vial Injection YouTube How Many Vials Of Test For A 12 Week Cycle Let’s look at how the dosage varies per cycle: This is exactly how it was laid out: It gives the newcomer a solid start. A 500mg/ml 21ml vial equals out to about ~40 injections (give or take for waste) at 250mg, which means 20 weeks, assuming you inject twice a. What you’ll need are 2/ 10 ml bottles of testosterone.. How Many Vials Of Test For A 12 Week Cycle.
From www.youtube.com
How to Use CellSeal Vials YouTube How Many Vials Of Test For A 12 Week Cycle Let’s look at how the dosage varies per cycle: It gives the newcomer a solid start. A 500mg/ml 21ml vial equals out to about ~40 injections (give or take for waste) at 250mg, which means 20 weeks, assuming you inject twice a. 40mg tamoxifen (nolva) per day. What you’ll need are 2/ 10 ml bottles of testosterone. And for that,. How Many Vials Of Test For A 12 Week Cycle.
From www.dreamstime.com
Test tubes and vials stock image. Image of medical, chemicals 26178265 How Many Vials Of Test For A 12 Week Cycle And for that, you want 3 250mg vials as they're almost always short measured. I'm thinking about running testosterone enanthate on a 12 week cycle for my first cycle and am not sure how many vials i. Pct starts week 12, two weeks after last test shot. It gives the newcomer a solid start. 40mg tamoxifen (nolva) per day. Let’s. How Many Vials Of Test For A 12 Week Cycle.
From wtcs.pressbooks.pub
18.5 Administering Subcutaneous Medications Nursing Skills 2e How Many Vials Of Test For A 12 Week Cycle A 500mg/ml 21ml vial equals out to about ~40 injections (give or take for waste) at 250mg, which means 20 weeks, assuming you inject twice a. This is exactly how it was laid out: I’ve already talked about the 1 vial steroid cycle enough in the past, let’s get into the beginner 500 mg/wk test cycle. It gives the newcomer. How Many Vials Of Test For A 12 Week Cycle.
From betterforeverpdx.com
Nutrition Response Testing Better Forever Portland How Many Vials Of Test For A 12 Week Cycle What you’ll need are 2/ 10 ml bottles of testosterone. A 500mg/ml 21ml vial equals out to about ~40 injections (give or take for waste) at 250mg, which means 20 weeks, assuming you inject twice a. 20mg tamoxifen (nolva) per day. It gives the newcomer a solid start. My first steroid cycle was the classic 500 mg of test enanthate. How Many Vials Of Test For A 12 Week Cycle.
From cryobankamerica.com
How Many Vials Should I Purchase? What We How Many Vials Of Test For A 12 Week Cycle My first steroid cycle was the classic 500 mg of test enanthate for 12 weeks. It gives the newcomer a solid start. Let’s look at how the dosage varies per cycle: What you’ll need are 2/ 10 ml bottles of testosterone. And for that, you want 3 250mg vials as they're almost always short measured. I’ve already talked about the. How Many Vials Of Test For A 12 Week Cycle.
From cegnwoqg.blob.core.windows.net
How Many Vials Of Test E Do I Need at Sandra Jones blog How Many Vials Of Test For A 12 Week Cycle It gives the newcomer a solid start. And for that, you want 3 250mg vials as they're almost always short measured. I’ve already talked about the 1 vial steroid cycle enough in the past, let’s get into the beginner 500 mg/wk test cycle. I'm thinking about running testosterone enanthate on a 12 week cycle for my first cycle and am. How Many Vials Of Test For A 12 Week Cycle.
From exodwcpfd.blob.core.windows.net
How Much Blood In A Test Vial at Angela Bryant blog How Many Vials Of Test For A 12 Week Cycle My first steroid cycle was the classic 500 mg of test enanthate for 12 weeks. What you’ll need are 2/ 10 ml bottles of testosterone. I'm thinking about running testosterone enanthate on a 12 week cycle for my first cycle and am not sure how many vials i. Pct starts week 12, two weeks after last test shot. It gives. How Many Vials Of Test For A 12 Week Cycle.
From www.nucmedcor.com
FILLEASE™ Sterile Vials How Many Vials Of Test For A 12 Week Cycle This is exactly how it was laid out: I’ve already talked about the 1 vial steroid cycle enough in the past, let’s get into the beginner 500 mg/wk test cycle. A 500mg/ml 21ml vial equals out to about ~40 injections (give or take for waste) at 250mg, which means 20 weeks, assuming you inject twice a. Pct starts week 12,. How Many Vials Of Test For A 12 Week Cycle.
From loerhbfbk.blob.core.windows.net
How Many Vials Of Blood Can Be Taken At Once at Linda Shull blog How Many Vials Of Test For A 12 Week Cycle What you’ll need are 2/ 10 ml bottles of testosterone. 20mg tamoxifen (nolva) per day. 40mg tamoxifen (nolva) per day. This is exactly how it was laid out: I’ve already talked about the 1 vial steroid cycle enough in the past, let’s get into the beginner 500 mg/wk test cycle. It gives the newcomer a solid start. I'm thinking about. How Many Vials Of Test For A 12 Week Cycle.
From www.identipack.com
Vials and test tubes Identipack How Many Vials Of Test For A 12 Week Cycle This is exactly how it was laid out: 20mg tamoxifen (nolva) per day. A 500mg/ml 21ml vial equals out to about ~40 injections (give or take for waste) at 250mg, which means 20 weeks, assuming you inject twice a. I’ve already talked about the 1 vial steroid cycle enough in the past, let’s get into the beginner 500 mg/wk test. How Many Vials Of Test For A 12 Week Cycle.
From systems-shop.isopharm.co.uk
Sonocheck Test Vials Isopharm Systems How Many Vials Of Test For A 12 Week Cycle I'm thinking about running testosterone enanthate on a 12 week cycle for my first cycle and am not sure how many vials i. This is exactly how it was laid out: 20mg tamoxifen (nolva) per day. It gives the newcomer a solid start. What you’ll need are 2/ 10 ml bottles of testosterone. And for that, you want 3 250mg. How Many Vials Of Test For A 12 Week Cycle.
From loeqskxfm.blob.core.windows.net
Vials Colour And Use at Sara Love blog How Many Vials Of Test For A 12 Week Cycle Pct starts week 12, two weeks after last test shot. It gives the newcomer a solid start. My first steroid cycle was the classic 500 mg of test enanthate for 12 weeks. A 500mg/ml 21ml vial equals out to about ~40 injections (give or take for waste) at 250mg, which means 20 weeks, assuming you inject twice a. 40mg tamoxifen. How Many Vials Of Test For A 12 Week Cycle.
From www.dreamstime.com
Ddimer Test To Look for Abnormalities from Blood Stock Photo Image How Many Vials Of Test For A 12 Week Cycle I'm thinking about running testosterone enanthate on a 12 week cycle for my first cycle and am not sure how many vials i. A 500mg/ml 21ml vial equals out to about ~40 injections (give or take for waste) at 250mg, which means 20 weeks, assuming you inject twice a. This is exactly how it was laid out: What you’ll need. How Many Vials Of Test For A 12 Week Cycle.
From loerzgmcm.blob.core.windows.net
Lab Tube Color Chart at Norma Mercer blog How Many Vials Of Test For A 12 Week Cycle A 500mg/ml 21ml vial equals out to about ~40 injections (give or take for waste) at 250mg, which means 20 weeks, assuming you inject twice a. 20mg tamoxifen (nolva) per day. I’ve already talked about the 1 vial steroid cycle enough in the past, let’s get into the beginner 500 mg/wk test cycle. Pct starts week 12, two weeks after. How Many Vials Of Test For A 12 Week Cycle.
From loerhbfbk.blob.core.windows.net
How Many Vials Of Blood Can Be Taken At Once at Linda Shull blog How Many Vials Of Test For A 12 Week Cycle 40mg tamoxifen (nolva) per day. Let’s look at how the dosage varies per cycle: And for that, you want 3 250mg vials as they're almost always short measured. What you’ll need are 2/ 10 ml bottles of testosterone. It gives the newcomer a solid start. 20mg tamoxifen (nolva) per day. Pct starts week 12, two weeks after last test shot.. How Many Vials Of Test For A 12 Week Cycle.
From klauepiea.blob.core.windows.net
What Are The Different Coloured Vials For Blood Collection at Johnathan How Many Vials Of Test For A 12 Week Cycle I’ve already talked about the 1 vial steroid cycle enough in the past, let’s get into the beginner 500 mg/wk test cycle. 40mg tamoxifen (nolva) per day. It gives the newcomer a solid start. My first steroid cycle was the classic 500 mg of test enanthate for 12 weeks. Let’s look at how the dosage varies per cycle: 20mg tamoxifen. How Many Vials Of Test For A 12 Week Cycle.
From www.pexels.com
Set of vials and test tube of blood · Free Stock Photo How Many Vials Of Test For A 12 Week Cycle Let’s look at how the dosage varies per cycle: It gives the newcomer a solid start. I'm thinking about running testosterone enanthate on a 12 week cycle for my first cycle and am not sure how many vials i. 20mg tamoxifen (nolva) per day. And for that, you want 3 250mg vials as they're almost always short measured. 40mg tamoxifen. How Many Vials Of Test For A 12 Week Cycle.
From loerhbfbk.blob.core.windows.net
How Many Vials Of Blood Can Be Taken At Once at Linda Shull blog How Many Vials Of Test For A 12 Week Cycle Let’s look at how the dosage varies per cycle: And for that, you want 3 250mg vials as they're almost always short measured. A 500mg/ml 21ml vial equals out to about ~40 injections (give or take for waste) at 250mg, which means 20 weeks, assuming you inject twice a. 40mg tamoxifen (nolva) per day. I’ve already talked about the 1. How Many Vials Of Test For A 12 Week Cycle.
From www.numerade.com
SOLVED A patient is prescribed 100.0 mg / day of antibiotic for 2 How Many Vials Of Test For A 12 Week Cycle 20mg tamoxifen (nolva) per day. I'm thinking about running testosterone enanthate on a 12 week cycle for my first cycle and am not sure how many vials i. And for that, you want 3 250mg vials as they're almost always short measured. Pct starts week 12, two weeks after last test shot. Let’s look at how the dosage varies per. How Many Vials Of Test For A 12 Week Cycle.
From test.astkolifesciences.com
Vials ASTKO Life Sciences How Many Vials Of Test For A 12 Week Cycle My first steroid cycle was the classic 500 mg of test enanthate for 12 weeks. A 500mg/ml 21ml vial equals out to about ~40 injections (give or take for waste) at 250mg, which means 20 weeks, assuming you inject twice a. It gives the newcomer a solid start. This is exactly how it was laid out: I'm thinking about running. How Many Vials Of Test For A 12 Week Cycle.