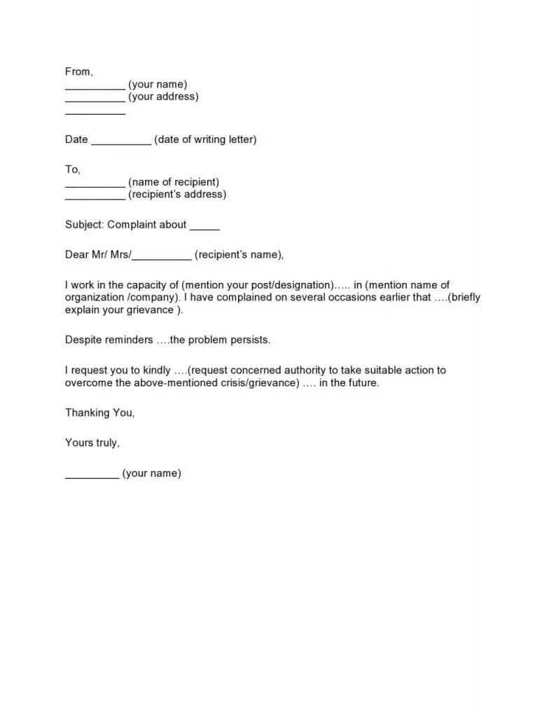
Carta De Queja . Para expresar de manera formal y efectiva una queja o reclamo, es fundamental redactar una carta de reclamación. Una carta de queja es un documento formal que describe un problema o situación insatisfactoria con un producto,. ¡no permitas que tus derechos sean vulnerados, toma acción y haz valer tu voz! Modelo de carta de queja por mal comportamiento. Sigue los consejos, el formato y el ejemplo que te. Modelo de carta de reclamación: Como ya sabes para redactar este tipo de quejas se usa la estructura de una. Aprende a escribir una carta de queja formal para comunicar un problema a una empresa o institución. Conoce los elementos clave, los errores comunes y los consejos para redactar una carta de queja efectiva. La carta de queja es un documento que se redacta para reclamar a la otra parte algún tipo de insatisfacción, sea por alguna omisión o acto de parte de. ¿qué es una carta de queja? En este artículo, te presentamos un modelo de carta de quejas y reclamaciones que puedes utilizar como guía para comunicar tus inquietudes de manera efectiva. Aprende a comunicarte de manera asertiva con este modelo de carta de queja que te ayudará a transmitir tus preocupaciones de manera clara y respetuosa. ¿qué es una carta de queja?
from mundoplantillas.com
¡no permitas que tus derechos sean vulnerados, toma acción y haz valer tu voz! En este artículo, te presentamos un modelo de carta de quejas y reclamaciones que puedes utilizar como guía para comunicar tus inquietudes de manera efectiva. Conoce los elementos clave, los errores comunes y los consejos para redactar una carta de queja efectiva. Aprende a escribir una carta de queja formal para comunicar un problema a una empresa o institución. La carta de queja es un documento que se redacta para reclamar a la otra parte algún tipo de insatisfacción, sea por alguna omisión o acto de parte de. ¿qué es una carta de queja? ¿qué es una carta de queja? Una carta de queja es un documento formal que describe un problema o situación insatisfactoria con un producto,. Aprende a comunicarte de manera asertiva con este modelo de carta de queja que te ayudará a transmitir tus preocupaciones de manera clara y respetuosa. Modelo de carta de reclamación:
37 cartas de queja editables (consejos y muestras gratis) Mundo
Carta De Queja Una carta de queja es un documento formal que describe un problema o situación insatisfactoria con un producto,. ¿qué es una carta de queja? Conoce los elementos clave, los errores comunes y los consejos para redactar una carta de queja efectiva. Para expresar de manera formal y efectiva una queja o reclamo, es fundamental redactar una carta de reclamación. Modelo de carta de reclamación: ¿qué es una carta de queja? Sigue los consejos, el formato y el ejemplo que te. Una carta de queja es un documento formal que describe un problema o situación insatisfactoria con un producto,. Aprende a escribir una carta de queja formal para comunicar un problema a una empresa o institución. Modelo de carta de queja por mal comportamiento. En este artículo, te presentamos un modelo de carta de quejas y reclamaciones que puedes utilizar como guía para comunicar tus inquietudes de manera efectiva. Como ya sabes para redactar este tipo de quejas se usa la estructura de una. Aprende a comunicarte de manera asertiva con este modelo de carta de queja que te ayudará a transmitir tus preocupaciones de manera clara y respetuosa. ¡no permitas que tus derechos sean vulnerados, toma acción y haz valer tu voz! La carta de queja es un documento que se redacta para reclamar a la otra parte algún tipo de insatisfacción, sea por alguna omisión o acto de parte de.
From mundoplantillas.com
40 plantillas de carta de queja formal (Word) Mundo Plantillas Carta De Queja Una carta de queja es un documento formal que describe un problema o situación insatisfactoria con un producto,. En este artículo, te presentamos un modelo de carta de quejas y reclamaciones que puedes utilizar como guía para comunicar tus inquietudes de manera efectiva. Aprende a escribir una carta de queja formal para comunicar un problema a una empresa o institución.. Carta De Queja.
From mundoplantillas.com
37 cartas de queja editables (consejos y muestras gratis) Mundo Carta De Queja Como ya sabes para redactar este tipo de quejas se usa la estructura de una. ¿qué es una carta de queja? La carta de queja es un documento que se redacta para reclamar a la otra parte algún tipo de insatisfacción, sea por alguna omisión o acto de parte de. Aprende a escribir una carta de queja formal para comunicar. Carta De Queja.
From mundoplantillas.com
37 cartas de queja editables (consejos y muestras gratis) Mundo Carta De Queja Aprende a escribir una carta de queja formal para comunicar un problema a una empresa o institución. Como ya sabes para redactar este tipo de quejas se usa la estructura de una. Conoce los elementos clave, los errores comunes y los consejos para redactar una carta de queja efectiva. ¿qué es una carta de queja? Modelo de carta de queja. Carta De Queja.
From mundoplantillas.com
40 plantillas de carta de queja formal (Word) Mundo Plantillas Carta De Queja Para expresar de manera formal y efectiva una queja o reclamo, es fundamental redactar una carta de reclamación. Una carta de queja es un documento formal que describe un problema o situación insatisfactoria con un producto,. ¿qué es una carta de queja? ¿qué es una carta de queja? Aprende a escribir una carta de queja formal para comunicar un problema. Carta De Queja.
From mundoplantillas.com
40 plantillas de carta de queja formal (Word) Mundo Plantillas Carta De Queja La carta de queja es un documento que se redacta para reclamar a la otra parte algún tipo de insatisfacción, sea por alguna omisión o acto de parte de. Como ya sabes para redactar este tipo de quejas se usa la estructura de una. Para expresar de manera formal y efectiva una queja o reclamo, es fundamental redactar una carta. Carta De Queja.
From mundoplantillas.com
40 plantillas de carta de queja formal (Word) Mundo Plantillas Carta De Queja La carta de queja es un documento que se redacta para reclamar a la otra parte algún tipo de insatisfacción, sea por alguna omisión o acto de parte de. En este artículo, te presentamos un modelo de carta de quejas y reclamaciones que puedes utilizar como guía para comunicar tus inquietudes de manera efectiva. Para expresar de manera formal y. Carta De Queja.
From mundoplantillas.com
40 plantillas de carta de queja formal (Word) Mundo Plantillas Carta De Queja Como ya sabes para redactar este tipo de quejas se usa la estructura de una. Modelo de carta de reclamación: Sigue los consejos, el formato y el ejemplo que te. La carta de queja es un documento que se redacta para reclamar a la otra parte algún tipo de insatisfacción, sea por alguna omisión o acto de parte de. Aprende. Carta De Queja.
From mundoplantillas.com
37 cartas de queja editables (consejos y muestras gratis) Mundo Carta De Queja Modelo de carta de queja por mal comportamiento. En este artículo, te presentamos un modelo de carta de quejas y reclamaciones que puedes utilizar como guía para comunicar tus inquietudes de manera efectiva. Una carta de queja es un documento formal que describe un problema o situación insatisfactoria con un producto,. ¿qué es una carta de queja? Para expresar de. Carta De Queja.
From www.lifeder.com
Carta de queja qué es, cómo hacerla, ejemplo, formatos Carta De Queja ¡no permitas que tus derechos sean vulnerados, toma acción y haz valer tu voz! Aprende a escribir una carta de queja formal para comunicar un problema a una empresa o institución. Sigue los consejos, el formato y el ejemplo que te. Como ya sabes para redactar este tipo de quejas se usa la estructura de una. Aprende a comunicarte de. Carta De Queja.
From mundoplantillas.com
40 plantillas de carta de queja formal (Word) Mundo Plantillas Carta De Queja Para expresar de manera formal y efectiva una queja o reclamo, es fundamental redactar una carta de reclamación. Como ya sabes para redactar este tipo de quejas se usa la estructura de una. Modelo de carta de queja por mal comportamiento. ¿qué es una carta de queja? En este artículo, te presentamos un modelo de carta de quejas y reclamaciones. Carta De Queja.
From mundoplantillas.com
37 cartas de queja editables (consejos y muestras gratis) Mundo Carta De Queja ¡no permitas que tus derechos sean vulnerados, toma acción y haz valer tu voz! Una carta de queja es un documento formal que describe un problema o situación insatisfactoria con un producto,. Sigue los consejos, el formato y el ejemplo que te. ¿qué es una carta de queja? En este artículo, te presentamos un modelo de carta de quejas y. Carta De Queja.
From mundoplantillas.com
37 cartas de queja editables (consejos y muestras gratis) Mundo Carta De Queja ¿qué es una carta de queja? Modelo de carta de queja por mal comportamiento. ¿qué es una carta de queja? Como ya sabes para redactar este tipo de quejas se usa la estructura de una. En este artículo, te presentamos un modelo de carta de quejas y reclamaciones que puedes utilizar como guía para comunicar tus inquietudes de manera efectiva.. Carta De Queja.
From www.vrogue.co
10 Ideas Para Redactar Un Reclamo Queja Quejas Carta vrogue.co Carta De Queja ¿qué es una carta de queja? Conoce los elementos clave, los errores comunes y los consejos para redactar una carta de queja efectiva. Para expresar de manera formal y efectiva una queja o reclamo, es fundamental redactar una carta de reclamación. En este artículo, te presentamos un modelo de carta de quejas y reclamaciones que puedes utilizar como guía para. Carta De Queja.
From mundoplantillas.com
40 plantillas de carta de queja formal (Word) Mundo Plantillas Carta De Queja ¿qué es una carta de queja? La carta de queja es un documento que se redacta para reclamar a la otra parte algún tipo de insatisfacción, sea por alguna omisión o acto de parte de. Una carta de queja es un documento formal que describe un problema o situación insatisfactoria con un producto,. ¡no permitas que tus derechos sean vulnerados,. Carta De Queja.
From mundoplantillas.com
37 cartas de queja editables (consejos y muestras gratis) Mundo Carta De Queja Para expresar de manera formal y efectiva una queja o reclamo, es fundamental redactar una carta de reclamación. Aprende a comunicarte de manera asertiva con este modelo de carta de queja que te ayudará a transmitir tus preocupaciones de manera clara y respetuosa. Como ya sabes para redactar este tipo de quejas se usa la estructura de una. Aprende a. Carta De Queja.
From www.lifeder.com
Carta de queja qué es, cómo hacerla, ejemplo, formatos Carta De Queja En este artículo, te presentamos un modelo de carta de quejas y reclamaciones que puedes utilizar como guía para comunicar tus inquietudes de manera efectiva. Aprende a comunicarte de manera asertiva con este modelo de carta de queja que te ayudará a transmitir tus preocupaciones de manera clara y respetuosa. Como ya sabes para redactar este tipo de quejas se. Carta De Queja.
From mundoplantillas.com
37 cartas de queja editables (consejos y muestras gratis) Mundo Carta De Queja Una carta de queja es un documento formal que describe un problema o situación insatisfactoria con un producto,. Sigue los consejos, el formato y el ejemplo que te. En este artículo, te presentamos un modelo de carta de quejas y reclamaciones que puedes utilizar como guía para comunicar tus inquietudes de manera efectiva. Modelo de carta de queja por mal. Carta De Queja.
From mundoplantillas.com
40 plantillas de carta de queja formal (Word) Mundo Plantillas Carta De Queja La carta de queja es un documento que se redacta para reclamar a la otra parte algún tipo de insatisfacción, sea por alguna omisión o acto de parte de. Como ya sabes para redactar este tipo de quejas se usa la estructura de una. Sigue los consejos, el formato y el ejemplo que te. Aprende a escribir una carta de. Carta De Queja.
From mundoplantillas.com
40 plantillas de carta de queja formal (Word) Mundo Plantillas Carta De Queja Modelo de carta de queja por mal comportamiento. Como ya sabes para redactar este tipo de quejas se usa la estructura de una. ¡no permitas que tus derechos sean vulnerados, toma acción y haz valer tu voz! ¿qué es una carta de queja? Aprende a escribir una carta de queja formal para comunicar un problema a una empresa o institución.. Carta De Queja.
From mundoplantillas.com
37 cartas de queja editables (consejos y muestras gratis) Mundo Carta De Queja Conoce los elementos clave, los errores comunes y los consejos para redactar una carta de queja efectiva. Modelo de carta de queja por mal comportamiento. En este artículo, te presentamos un modelo de carta de quejas y reclamaciones que puedes utilizar como guía para comunicar tus inquietudes de manera efectiva. ¡no permitas que tus derechos sean vulnerados, toma acción y. Carta De Queja.
From mundoplantillas.com
37 cartas de queja editables (consejos y muestras gratis) Mundo Carta De Queja ¿qué es una carta de queja? Una carta de queja es un documento formal que describe un problema o situación insatisfactoria con un producto,. La carta de queja es un documento que se redacta para reclamar a la otra parte algún tipo de insatisfacción, sea por alguna omisión o acto de parte de. En este artículo, te presentamos un modelo. Carta De Queja.
From mundoplantillas.com
37 cartas de queja editables (consejos y muestras gratis) Mundo Carta De Queja Sigue los consejos, el formato y el ejemplo que te. Como ya sabes para redactar este tipo de quejas se usa la estructura de una. ¿qué es una carta de queja? ¡no permitas que tus derechos sean vulnerados, toma acción y haz valer tu voz! Aprende a comunicarte de manera asertiva con este modelo de carta de queja que te. Carta De Queja.
From www.vrogue.co
Como Hacer Carta De Quejas Y Reclamos Compartir Carta vrogue.co Carta De Queja Modelo de carta de queja por mal comportamiento. Aprende a comunicarte de manera asertiva con este modelo de carta de queja que te ayudará a transmitir tus preocupaciones de manera clara y respetuosa. En este artículo, te presentamos un modelo de carta de quejas y reclamaciones que puedes utilizar como guía para comunicar tus inquietudes de manera efectiva. La carta. Carta De Queja.
From opcionesejemplo.blogspot.com
Ejemplos De Cartas De Quejas Y Reclamaciones Opciones de Ejemplo Carta De Queja Una carta de queja es un documento formal que describe un problema o situación insatisfactoria con un producto,. Para expresar de manera formal y efectiva una queja o reclamo, es fundamental redactar una carta de reclamación. Sigue los consejos, el formato y el ejemplo que te. ¡no permitas que tus derechos sean vulnerados, toma acción y haz valer tu voz!. Carta De Queja.
From modelos-de.com
Modelos de Cartas de queja en Word Descarga Gratis Carta De Queja Sigue los consejos, el formato y el ejemplo que te. Conoce los elementos clave, los errores comunes y los consejos para redactar una carta de queja efectiva. Modelo de carta de queja por mal comportamiento. ¿qué es una carta de queja? En este artículo, te presentamos un modelo de carta de quejas y reclamaciones que puedes utilizar como guía para. Carta De Queja.
From mundoplantillas.com
40 plantillas de carta de queja formal (Word) Mundo Plantillas Carta De Queja ¡no permitas que tus derechos sean vulnerados, toma acción y haz valer tu voz! En este artículo, te presentamos un modelo de carta de quejas y reclamaciones que puedes utilizar como guía para comunicar tus inquietudes de manera efectiva. Para expresar de manera formal y efectiva una queja o reclamo, es fundamental redactar una carta de reclamación. Modelo de carta. Carta De Queja.
From mundoplantillas.com
40 plantillas de carta de queja formal (Word) Mundo Plantillas Carta De Queja Modelo de carta de reclamación: Modelo de carta de queja por mal comportamiento. ¿qué es una carta de queja? Aprende a comunicarte de manera asertiva con este modelo de carta de queja que te ayudará a transmitir tus preocupaciones de manera clara y respetuosa. Conoce los elementos clave, los errores comunes y los consejos para redactar una carta de queja. Carta De Queja.
From mundoplantillas.com
37 cartas de queja editables (consejos y muestras gratis) Mundo Carta De Queja ¿qué es una carta de queja? La carta de queja es un documento que se redacta para reclamar a la otra parte algún tipo de insatisfacción, sea por alguna omisión o acto de parte de. Modelo de carta de queja por mal comportamiento. Sigue los consejos, el formato y el ejemplo que te. Conoce los elementos clave, los errores comunes. Carta De Queja.
From mundoplantillas.com
37 cartas de queja editables (consejos y muestras gratis) Mundo Carta De Queja Para expresar de manera formal y efectiva una queja o reclamo, es fundamental redactar una carta de reclamación. Una carta de queja es un documento formal que describe un problema o situación insatisfactoria con un producto,. La carta de queja es un documento que se redacta para reclamar a la otra parte algún tipo de insatisfacción, sea por alguna omisión. Carta De Queja.
From www.lifeder.com
Carta de queja qué es, cómo hacerla, ejemplo, formatos Carta De Queja Aprende a escribir una carta de queja formal para comunicar un problema a una empresa o institución. Una carta de queja es un documento formal que describe un problema o situación insatisfactoria con un producto,. ¡no permitas que tus derechos sean vulnerados, toma acción y haz valer tu voz! En este artículo, te presentamos un modelo de carta de quejas. Carta De Queja.
From mundoplantillas.com
37 cartas de queja editables (consejos y muestras gratis) Mundo Carta De Queja Aprende a comunicarte de manera asertiva con este modelo de carta de queja que te ayudará a transmitir tus preocupaciones de manera clara y respetuosa. Aprende a escribir una carta de queja formal para comunicar un problema a una empresa o institución. ¿qué es una carta de queja? En este artículo, te presentamos un modelo de carta de quejas y. Carta De Queja.
From mundoplantillas.com
37 cartas de queja editables (consejos y muestras gratis) Mundo Carta De Queja ¿qué es una carta de queja? Modelo de carta de queja por mal comportamiento. Aprende a comunicarte de manera asertiva con este modelo de carta de queja que te ayudará a transmitir tus preocupaciones de manera clara y respetuosa. Modelo de carta de reclamación: En este artículo, te presentamos un modelo de carta de quejas y reclamaciones que puedes utilizar. Carta De Queja.
From mundoplantillas.com
37 cartas de queja editables (consejos y muestras gratis) Mundo Carta De Queja Sigue los consejos, el formato y el ejemplo que te. Modelo de carta de queja por mal comportamiento. Para expresar de manera formal y efectiva una queja o reclamo, es fundamental redactar una carta de reclamación. ¿qué es una carta de queja? Modelo de carta de reclamación: Conoce los elementos clave, los errores comunes y los consejos para redactar una. Carta De Queja.
From mundoplantillas.com
37 cartas de queja editables (consejos y muestras gratis) Mundo Carta De Queja Aprende a escribir una carta de queja formal para comunicar un problema a una empresa o institución. La carta de queja es un documento que se redacta para reclamar a la otra parte algún tipo de insatisfacción, sea por alguna omisión o acto de parte de. ¿qué es una carta de queja? Modelo de carta de queja por mal comportamiento.. Carta De Queja.
From mundoplantillas.com
37 cartas de queja editables (consejos y muestras gratis) Mundo Carta De Queja Conoce los elementos clave, los errores comunes y los consejos para redactar una carta de queja efectiva. Como ya sabes para redactar este tipo de quejas se usa la estructura de una. Modelo de carta de queja por mal comportamiento. ¡no permitas que tus derechos sean vulnerados, toma acción y haz valer tu voz! Modelo de carta de reclamación: Sigue. Carta De Queja.