Guest Feedback Form In Hotel Pdf . Positive feedback from guests is a goldmine for your hotel’s marketing strategy. Add your property's logo, edit the questions, and. Download our guest feedback form pdf by clicking the link below. Can be collected on these forms, and. Leveraging these testimonials can build trust,. Feedback and suggestions from the guest about the hotel services, room, restaurants, staff, etc. Get the feedback you need to give your guests a comfortable and relaxing stay with the help of jotform’s free hotel feedback form! Satisfaction is the main goal of each hotel around the world, and their biggest point of pride is positive feedback from each guest they catered. This hotel feedback form applied to the guests by the hotel managers is essential to identify the points where the guests are not satisfied and to. Gather feedback from your guests on any device. These forms are similar to a questionnaire. Hotel service feedback forms are informal documents devised by hotel management and may vary from one hotel to another.
from www.sampleforms.com
Hotel service feedback forms are informal documents devised by hotel management and may vary from one hotel to another. Add your property's logo, edit the questions, and. Leveraging these testimonials can build trust,. Download our guest feedback form pdf by clicking the link below. These forms are similar to a questionnaire. Can be collected on these forms, and. Positive feedback from guests is a goldmine for your hotel’s marketing strategy. Gather feedback from your guests on any device. Satisfaction is the main goal of each hotel around the world, and their biggest point of pride is positive feedback from each guest they catered. This hotel feedback form applied to the guests by the hotel managers is essential to identify the points where the guests are not satisfied and to.
FREE 8+ Guest Feedback Forms in PDF MS Word
Guest Feedback Form In Hotel Pdf Hotel service feedback forms are informal documents devised by hotel management and may vary from one hotel to another. Satisfaction is the main goal of each hotel around the world, and their biggest point of pride is positive feedback from each guest they catered. Hotel service feedback forms are informal documents devised by hotel management and may vary from one hotel to another. These forms are similar to a questionnaire. Download our guest feedback form pdf by clicking the link below. Positive feedback from guests is a goldmine for your hotel’s marketing strategy. Feedback and suggestions from the guest about the hotel services, room, restaurants, staff, etc. This hotel feedback form applied to the guests by the hotel managers is essential to identify the points where the guests are not satisfied and to. Gather feedback from your guests on any device. Get the feedback you need to give your guests a comfortable and relaxing stay with the help of jotform’s free hotel feedback form! Can be collected on these forms, and. Leveraging these testimonials can build trust,. Add your property's logo, edit the questions, and.
From www.123formbuilder.com
Motel / Hotel Feedback Form Template 123FormBuilder Guest Feedback Form In Hotel Pdf Gather feedback from your guests on any device. Download our guest feedback form pdf by clicking the link below. Positive feedback from guests is a goldmine for your hotel’s marketing strategy. Leveraging these testimonials can build trust,. Satisfaction is the main goal of each hotel around the world, and their biggest point of pride is positive feedback from each guest. Guest Feedback Form In Hotel Pdf.
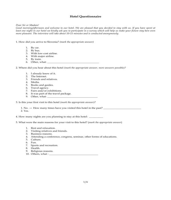
From www.scribd.com
Hotel Guest Feedback Form sample PDF Guest Feedback Form In Hotel Pdf Get the feedback you need to give your guests a comfortable and relaxing stay with the help of jotform’s free hotel feedback form! This hotel feedback form applied to the guests by the hotel managers is essential to identify the points where the guests are not satisfied and to. Satisfaction is the main goal of each hotel around the world,. Guest Feedback Form In Hotel Pdf.
From www.sampleforms.com
FREE 16+ Customer and Guest Feedback Forms in PDF MS Word Guest Feedback Form In Hotel Pdf Download our guest feedback form pdf by clicking the link below. Positive feedback from guests is a goldmine for your hotel’s marketing strategy. Leveraging these testimonials can build trust,. Can be collected on these forms, and. This hotel feedback form applied to the guests by the hotel managers is essential to identify the points where the guests are not satisfied. Guest Feedback Form In Hotel Pdf.
From www.formsbirds.com
Feedback Form 20 Free Templates in PDF, Word, Excel Download Guest Feedback Form In Hotel Pdf Add your property's logo, edit the questions, and. Feedback and suggestions from the guest about the hotel services, room, restaurants, staff, etc. Get the feedback you need to give your guests a comfortable and relaxing stay with the help of jotform’s free hotel feedback form! Download our guest feedback form pdf by clicking the link below. Satisfaction is the main. Guest Feedback Form In Hotel Pdf.
From www.sampleforms.com
FREE 16+ Customer and Guest Feedback Forms in PDF MS Word Guest Feedback Form In Hotel Pdf Hotel service feedback forms are informal documents devised by hotel management and may vary from one hotel to another. These forms are similar to a questionnaire. Add your property's logo, edit the questions, and. This hotel feedback form applied to the guests by the hotel managers is essential to identify the points where the guests are not satisfied and to.. Guest Feedback Form In Hotel Pdf.
From www.scribd.com
Hotel Services Feedback Form Guest Feedback Form In Hotel Pdf These forms are similar to a questionnaire. Can be collected on these forms, and. Feedback and suggestions from the guest about the hotel services, room, restaurants, staff, etc. Gather feedback from your guests on any device. Hotel service feedback forms are informal documents devised by hotel management and may vary from one hotel to another. Leveraging these testimonials can build. Guest Feedback Form In Hotel Pdf.
From www.scribd.com
Guest Feedback Form Sample 3 PDF Guest Feedback Form In Hotel Pdf These forms are similar to a questionnaire. Download our guest feedback form pdf by clicking the link below. Add your property's logo, edit the questions, and. Leveraging these testimonials can build trust,. Can be collected on these forms, and. Hotel service feedback forms are informal documents devised by hotel management and may vary from one hotel to another. Satisfaction is. Guest Feedback Form In Hotel Pdf.
From venngage.com
Cerise Red Hotel Feedback Form Template Venngage Guest Feedback Form In Hotel Pdf Feedback and suggestions from the guest about the hotel services, room, restaurants, staff, etc. Can be collected on these forms, and. Get the feedback you need to give your guests a comfortable and relaxing stay with the help of jotform’s free hotel feedback form! Add your property's logo, edit the questions, and. Gather feedback from your guests on any device.. Guest Feedback Form In Hotel Pdf.
From www.sampleforms.com
FREE 16+ Customer and Guest Feedback Forms in PDF MS Word Guest Feedback Form In Hotel Pdf Positive feedback from guests is a goldmine for your hotel’s marketing strategy. Satisfaction is the main goal of each hotel around the world, and their biggest point of pride is positive feedback from each guest they catered. Add your property's logo, edit the questions, and. Download our guest feedback form pdf by clicking the link below. Feedback and suggestions from. Guest Feedback Form In Hotel Pdf.
From www.sampleforms.com
FREE 16+ Customer and Guest Feedback Forms in PDF MS Word Guest Feedback Form In Hotel Pdf Gather feedback from your guests on any device. Add your property's logo, edit the questions, and. Satisfaction is the main goal of each hotel around the world, and their biggest point of pride is positive feedback from each guest they catered. Can be collected on these forms, and. These forms are similar to a questionnaire. Feedback and suggestions from the. Guest Feedback Form In Hotel Pdf.
From www.sampleforms.com
FREE 7+ Sample Guest Feedback Forms in PDF MS Word Guest Feedback Form In Hotel Pdf Hotel service feedback forms are informal documents devised by hotel management and may vary from one hotel to another. Download our guest feedback form pdf by clicking the link below. Positive feedback from guests is a goldmine for your hotel’s marketing strategy. Gather feedback from your guests on any device. These forms are similar to a questionnaire. Get the feedback. Guest Feedback Form In Hotel Pdf.
From www.sampleforms.com
FREE 7+ Sample Guest Feedback Forms in PDF MS Word Guest Feedback Form In Hotel Pdf Hotel service feedback forms are informal documents devised by hotel management and may vary from one hotel to another. This hotel feedback form applied to the guests by the hotel managers is essential to identify the points where the guests are not satisfied and to. Positive feedback from guests is a goldmine for your hotel’s marketing strategy. Leveraging these testimonials. Guest Feedback Form In Hotel Pdf.
From www.sampleforms.com
FREE 8+ Guest Feedback Forms in PDF MS Word Guest Feedback Form In Hotel Pdf Get the feedback you need to give your guests a comfortable and relaxing stay with the help of jotform’s free hotel feedback form! These forms are similar to a questionnaire. Feedback and suggestions from the guest about the hotel services, room, restaurants, staff, etc. Can be collected on these forms, and. Leveraging these testimonials can build trust,. This hotel feedback. Guest Feedback Form In Hotel Pdf.
From www.sampleforms.com
FREE 16+ Customer and Guest Feedback Forms in PDF MS Word Guest Feedback Form In Hotel Pdf Get the feedback you need to give your guests a comfortable and relaxing stay with the help of jotform’s free hotel feedback form! Can be collected on these forms, and. Download our guest feedback form pdf by clicking the link below. Add your property's logo, edit the questions, and. Feedback and suggestions from the guest about the hotel services, room,. Guest Feedback Form In Hotel Pdf.
From www.sampleforms.com
FREE 16+ Customer and Guest Feedback Forms in PDF MS Word Guest Feedback Form In Hotel Pdf Gather feedback from your guests on any device. Satisfaction is the main goal of each hotel around the world, and their biggest point of pride is positive feedback from each guest they catered. These forms are similar to a questionnaire. Get the feedback you need to give your guests a comfortable and relaxing stay with the help of jotform’s free. Guest Feedback Form In Hotel Pdf.
From www.sampleforms.com
FREE 3+ Hotel Feedback Evaluation Forms in PDF MS Word Guest Feedback Form In Hotel Pdf Positive feedback from guests is a goldmine for your hotel’s marketing strategy. Can be collected on these forms, and. Leveraging these testimonials can build trust,. Feedback and suggestions from the guest about the hotel services, room, restaurants, staff, etc. Download our guest feedback form pdf by clicking the link below. These forms are similar to a questionnaire. Get the feedback. Guest Feedback Form In Hotel Pdf.
From www.sampleforms.com
FREE 7+ Sample Guest Feedback Forms in PDF MS Word Guest Feedback Form In Hotel Pdf Satisfaction is the main goal of each hotel around the world, and their biggest point of pride is positive feedback from each guest they catered. Feedback and suggestions from the guest about the hotel services, room, restaurants, staff, etc. Hotel service feedback forms are informal documents devised by hotel management and may vary from one hotel to another. Get the. Guest Feedback Form In Hotel Pdf.
From www.sampleforms.com
FREE 3+ Hotel Feedback Evaluation Forms in PDF MS Word Guest Feedback Form In Hotel Pdf Can be collected on these forms, and. Leveraging these testimonials can build trust,. Positive feedback from guests is a goldmine for your hotel’s marketing strategy. Get the feedback you need to give your guests a comfortable and relaxing stay with the help of jotform’s free hotel feedback form! Feedback and suggestions from the guest about the hotel services, room, restaurants,. Guest Feedback Form In Hotel Pdf.
From www.xfanzexpo.com
Guest Feedback Format Sample Hotels Resorts Customer inside Guest Feedback Form In Hotel Pdf Hotel service feedback forms are informal documents devised by hotel management and may vary from one hotel to another. Can be collected on these forms, and. Download our guest feedback form pdf by clicking the link below. Get the feedback you need to give your guests a comfortable and relaxing stay with the help of jotform’s free hotel feedback form!. Guest Feedback Form In Hotel Pdf.
From www.sampleforms.com
Sample Event Feedback Forms 8+ Free Documents in PDF, Word Guest Feedback Form In Hotel Pdf Positive feedback from guests is a goldmine for your hotel’s marketing strategy. Download our guest feedback form pdf by clicking the link below. Satisfaction is the main goal of each hotel around the world, and their biggest point of pride is positive feedback from each guest they catered. Hotel service feedback forms are informal documents devised by hotel management and. Guest Feedback Form In Hotel Pdf.
From www.sampleforms.com
FREE 7+ Sample Guest Feedback Forms in PDF MS Word Guest Feedback Form In Hotel Pdf This hotel feedback form applied to the guests by the hotel managers is essential to identify the points where the guests are not satisfied and to. Satisfaction is the main goal of each hotel around the world, and their biggest point of pride is positive feedback from each guest they catered. Feedback and suggestions from the guest about the hotel. Guest Feedback Form In Hotel Pdf.
From www.formsite.com
Hotel Evaluation Form Template Formsite Guest Feedback Form In Hotel Pdf Can be collected on these forms, and. Download our guest feedback form pdf by clicking the link below. These forms are similar to a questionnaire. Leveraging these testimonials can build trust,. Satisfaction is the main goal of each hotel around the world, and their biggest point of pride is positive feedback from each guest they catered. Feedback and suggestions from. Guest Feedback Form In Hotel Pdf.
From www.sampleforms.com
FREE 5+ Hotel Feedback Forms in MS Word Guest Feedback Form In Hotel Pdf This hotel feedback form applied to the guests by the hotel managers is essential to identify the points where the guests are not satisfied and to. Add your property's logo, edit the questions, and. Can be collected on these forms, and. Positive feedback from guests is a goldmine for your hotel’s marketing strategy. Satisfaction is the main goal of each. Guest Feedback Form In Hotel Pdf.
From www.sampleforms.com
FREE 8+ Guest Feedback Forms in PDF MS Word Guest Feedback Form In Hotel Pdf Add your property's logo, edit the questions, and. Leveraging these testimonials can build trust,. Positive feedback from guests is a goldmine for your hotel’s marketing strategy. This hotel feedback form applied to the guests by the hotel managers is essential to identify the points where the guests are not satisfied and to. Download our guest feedback form pdf by clicking. Guest Feedback Form In Hotel Pdf.
From www.sampleforms.com
FREE 16+ Customer and Guest Feedback Forms in PDF MS Word Guest Feedback Form In Hotel Pdf Hotel service feedback forms are informal documents devised by hotel management and may vary from one hotel to another. Gather feedback from your guests on any device. Leveraging these testimonials can build trust,. These forms are similar to a questionnaire. Positive feedback from guests is a goldmine for your hotel’s marketing strategy. This hotel feedback form applied to the guests. Guest Feedback Form In Hotel Pdf.
From www.evaluationform.net
FREE 3 Hotel Feedback Evaluation Forms In PDF MS Word Guest Feedback Form In Hotel Pdf Feedback and suggestions from the guest about the hotel services, room, restaurants, staff, etc. Positive feedback from guests is a goldmine for your hotel’s marketing strategy. Satisfaction is the main goal of each hotel around the world, and their biggest point of pride is positive feedback from each guest they catered. Add your property's logo, edit the questions, and. This. Guest Feedback Form In Hotel Pdf.
From www.sampleforms.com
FREE 19+ Sample Service Feedback Forms in PDF Word Excel Guest Feedback Form In Hotel Pdf Can be collected on these forms, and. Hotel service feedback forms are informal documents devised by hotel management and may vary from one hotel to another. Gather feedback from your guests on any device. Get the feedback you need to give your guests a comfortable and relaxing stay with the help of jotform’s free hotel feedback form! Satisfaction is the. Guest Feedback Form In Hotel Pdf.
From www.sampleforms.com
FREE 16+ Customer and Guest Feedback Forms in PDF MS Word Guest Feedback Form In Hotel Pdf Download our guest feedback form pdf by clicking the link below. Add your property's logo, edit the questions, and. Positive feedback from guests is a goldmine for your hotel’s marketing strategy. Gather feedback from your guests on any device. This hotel feedback form applied to the guests by the hotel managers is essential to identify the points where the guests. Guest Feedback Form In Hotel Pdf.
From venngage.com
Clean Minimalist Hotel Feedback Form Template Venngage Guest Feedback Form In Hotel Pdf Gather feedback from your guests on any device. Can be collected on these forms, and. Add your property's logo, edit the questions, and. Get the feedback you need to give your guests a comfortable and relaxing stay with the help of jotform’s free hotel feedback form! Hotel service feedback forms are informal documents devised by hotel management and may vary. Guest Feedback Form In Hotel Pdf.
From www.scribd.com
Guest Feedback Form Sample 1 PDF Guest Feedback Form In Hotel Pdf This hotel feedback form applied to the guests by the hotel managers is essential to identify the points where the guests are not satisfied and to. Satisfaction is the main goal of each hotel around the world, and their biggest point of pride is positive feedback from each guest they catered. Add your property's logo, edit the questions, and. Get. Guest Feedback Form In Hotel Pdf.
From www.sampleforms.com
FREE 7+ Sample Guest Feedback Forms in PDF MS Word Guest Feedback Form In Hotel Pdf Gather feedback from your guests on any device. Leveraging these testimonials can build trust,. Get the feedback you need to give your guests a comfortable and relaxing stay with the help of jotform’s free hotel feedback form! Hotel service feedback forms are informal documents devised by hotel management and may vary from one hotel to another. Positive feedback from guests. Guest Feedback Form In Hotel Pdf.
From www.sampleforms.com
FREE 8+ Guest Feedback Forms in PDF MS Word Guest Feedback Form In Hotel Pdf Add your property's logo, edit the questions, and. Gather feedback from your guests on any device. These forms are similar to a questionnaire. This hotel feedback form applied to the guests by the hotel managers is essential to identify the points where the guests are not satisfied and to. Get the feedback you need to give your guests a comfortable. Guest Feedback Form In Hotel Pdf.
From www.sampleforms.com
FREE 16+ Customer and Guest Feedback Forms in PDF MS Word Guest Feedback Form In Hotel Pdf Can be collected on these forms, and. Add your property's logo, edit the questions, and. This hotel feedback form applied to the guests by the hotel managers is essential to identify the points where the guests are not satisfied and to. Download our guest feedback form pdf by clicking the link below. Get the feedback you need to give your. Guest Feedback Form In Hotel Pdf.
From www.sampleforms.com
FREE 13+ Sample Customer Feedback Forms in MS Word PDF Excel Guest Feedback Form In Hotel Pdf Satisfaction is the main goal of each hotel around the world, and their biggest point of pride is positive feedback from each guest they catered. Positive feedback from guests is a goldmine for your hotel’s marketing strategy. Download our guest feedback form pdf by clicking the link below. Hotel service feedback forms are informal documents devised by hotel management and. Guest Feedback Form In Hotel Pdf.
From guesttouch.com
Guest Feedback Strategy For Hotels A FullFledged Guide GuestTouch Guest Feedback Form In Hotel Pdf These forms are similar to a questionnaire. Get the feedback you need to give your guests a comfortable and relaxing stay with the help of jotform’s free hotel feedback form! Leveraging these testimonials can build trust,. Gather feedback from your guests on any device. Add your property's logo, edit the questions, and. Positive feedback from guests is a goldmine for. Guest Feedback Form In Hotel Pdf.