Rectangular Perimeter Room . Explore examples of how to calculate a rectangle's perimeter. For example, find the width of a. Dividing the room into a particular number of separate sections is an effective way to calculate the room's precise size when it has an irregular shape. Learn the formula to find the perimeter of a rectangle. Whether you’re tackling a diy project, designing a room, or just getting to grips with geometry, this guide will walk you through everything you need. For example, if your room has a rectangular. Check out this perimeter of a rectangle calculator and quickly estimate the necessary parameters of a rectangle. Apply the area and perimeter formulas for rectangles in real world and mathematical problems.
from www.teachoo.com
Explore examples of how to calculate a rectangle's perimeter. For example, if your room has a rectangular. Dividing the room into a particular number of separate sections is an effective way to calculate the room's precise size when it has an irregular shape. Check out this perimeter of a rectangle calculator and quickly estimate the necessary parameters of a rectangle. Apply the area and perimeter formulas for rectangles in real world and mathematical problems. Whether you’re tackling a diy project, designing a room, or just getting to grips with geometry, this guide will walk you through everything you need. For example, find the width of a. Learn the formula to find the perimeter of a rectangle.
Question 3 The floor of a rectangular hall has perimeter
Rectangular Perimeter Room Check out this perimeter of a rectangle calculator and quickly estimate the necessary parameters of a rectangle. For example, if your room has a rectangular. Learn the formula to find the perimeter of a rectangle. Apply the area and perimeter formulas for rectangles in real world and mathematical problems. Whether you’re tackling a diy project, designing a room, or just getting to grips with geometry, this guide will walk you through everything you need. For example, find the width of a. Check out this perimeter of a rectangle calculator and quickly estimate the necessary parameters of a rectangle. Dividing the room into a particular number of separate sections is an effective way to calculate the room's precise size when it has an irregular shape. Explore examples of how to calculate a rectangle's perimeter.
From www.teachoo.com
Question 3 The floor of a rectangular hall has perimeter Rectangular Perimeter Room Explore examples of how to calculate a rectangle's perimeter. For example, if your room has a rectangular. Learn the formula to find the perimeter of a rectangle. For example, find the width of a. Dividing the room into a particular number of separate sections is an effective way to calculate the room's precise size when it has an irregular shape.. Rectangular Perimeter Room.
From www.numerade.com
SOLVED An indoor physical fitness room consists of a rectangular Rectangular Perimeter Room Check out this perimeter of a rectangle calculator and quickly estimate the necessary parameters of a rectangle. Explore examples of how to calculate a rectangle's perimeter. For example, if your room has a rectangular. Learn the formula to find the perimeter of a rectangle. Whether you’re tackling a diy project, designing a room, or just getting to grips with geometry,. Rectangular Perimeter Room.
From www.nagwa.com
Question Video Finding the Perimeter of a Rectangle given Its Rectangular Perimeter Room Whether you’re tackling a diy project, designing a room, or just getting to grips with geometry, this guide will walk you through everything you need. Check out this perimeter of a rectangle calculator and quickly estimate the necessary parameters of a rectangle. Explore examples of how to calculate a rectangle's perimeter. Learn the formula to find the perimeter of a. Rectangular Perimeter Room.
From www.lime.org.uk
What is the exposed perimeter and how is it calculated? Rectangular Perimeter Room Learn the formula to find the perimeter of a rectangle. Apply the area and perimeter formulas for rectangles in real world and mathematical problems. Dividing the room into a particular number of separate sections is an effective way to calculate the room's precise size when it has an irregular shape. Check out this perimeter of a rectangle calculator and quickly. Rectangular Perimeter Room.
From viewfloor.co
Perimeter Of Floor Formula Viewfloor.co Rectangular Perimeter Room Whether you’re tackling a diy project, designing a room, or just getting to grips with geometry, this guide will walk you through everything you need. For example, if your room has a rectangular. Explore examples of how to calculate a rectangle's perimeter. Apply the area and perimeter formulas for rectangles in real world and mathematical problems. Dividing the room into. Rectangular Perimeter Room.
From www.madebyteachers.com
Area and Perimeter Build a Room Made By Teachers Rectangular Perimeter Room Explore examples of how to calculate a rectangle's perimeter. Learn the formula to find the perimeter of a rectangle. For example, if your room has a rectangular. Whether you’re tackling a diy project, designing a room, or just getting to grips with geometry, this guide will walk you through everything you need. Dividing the room into a particular number of. Rectangular Perimeter Room.
From www.agimath.com
Perimeter of Rectangle AGIMATH Rectangular Perimeter Room Check out this perimeter of a rectangle calculator and quickly estimate the necessary parameters of a rectangle. For example, find the width of a. For example, if your room has a rectangular. Learn the formula to find the perimeter of a rectangle. Whether you’re tackling a diy project, designing a room, or just getting to grips with geometry, this guide. Rectangular Perimeter Room.
From www.chilimath.com
Perimeter of Rectangle Definition, Formula & Examples ChiliMath Rectangular Perimeter Room For example, find the width of a. Explore examples of how to calculate a rectangle's perimeter. Check out this perimeter of a rectangle calculator and quickly estimate the necessary parameters of a rectangle. For example, if your room has a rectangular. Learn the formula to find the perimeter of a rectangle. Apply the area and perimeter formulas for rectangles in. Rectangular Perimeter Room.
From www.madebyteachers.com
Area and Perimeter Build a Room Made By Teachers Rectangular Perimeter Room Apply the area and perimeter formulas for rectangles in real world and mathematical problems. Explore examples of how to calculate a rectangle's perimeter. For example, if your room has a rectangular. Dividing the room into a particular number of separate sections is an effective way to calculate the room's precise size when it has an irregular shape. Whether you’re tackling. Rectangular Perimeter Room.
From study.com
Perimeter & Area of a Rectangle Formula, Steps & Examples Lesson Rectangular Perimeter Room Check out this perimeter of a rectangle calculator and quickly estimate the necessary parameters of a rectangle. Learn the formula to find the perimeter of a rectangle. For example, if your room has a rectangular. Whether you’re tackling a diy project, designing a room, or just getting to grips with geometry, this guide will walk you through everything you need.. Rectangular Perimeter Room.
From www.youtube.com
Perimeter of a Rectangle YouTube Rectangular Perimeter Room Whether you’re tackling a diy project, designing a room, or just getting to grips with geometry, this guide will walk you through everything you need. For example, find the width of a. Learn the formula to find the perimeter of a rectangle. For example, if your room has a rectangular. Apply the area and perimeter formulas for rectangles in real. Rectangular Perimeter Room.
From www.youtube.com
Finding Perimeter of Rectangular Shapes YouTube Rectangular Perimeter Room Whether you’re tackling a diy project, designing a room, or just getting to grips with geometry, this guide will walk you through everything you need. Check out this perimeter of a rectangle calculator and quickly estimate the necessary parameters of a rectangle. Dividing the room into a particular number of separate sections is an effective way to calculate the room's. Rectangular Perimeter Room.
From www.pinterest.com
Area and Perimeter Build a Room includes a variety of ideas to spice up Rectangular Perimeter Room Check out this perimeter of a rectangle calculator and quickly estimate the necessary parameters of a rectangle. Apply the area and perimeter formulas for rectangles in real world and mathematical problems. Whether you’re tackling a diy project, designing a room, or just getting to grips with geometry, this guide will walk you through everything you need. Dividing the room into. Rectangular Perimeter Room.
From mathmonks.com
Perimeter of Rectangle with Formulas & Diagram Rectangular Perimeter Room Dividing the room into a particular number of separate sections is an effective way to calculate the room's precise size when it has an irregular shape. For example, if your room has a rectangular. Whether you’re tackling a diy project, designing a room, or just getting to grips with geometry, this guide will walk you through everything you need. For. Rectangular Perimeter Room.
From calcworkshop.com
How to Find Area and Perimeter? (Explained w/ 7+ Examples!) Rectangular Perimeter Room Apply the area and perimeter formulas for rectangles in real world and mathematical problems. For example, if your room has a rectangular. For example, find the width of a. Whether you’re tackling a diy project, designing a room, or just getting to grips with geometry, this guide will walk you through everything you need. Explore examples of how to calculate. Rectangular Perimeter Room.
From calcworkshop.com
How to Find Area and Perimeter? (Explained w/ 7+ Examples!) Rectangular Perimeter Room Dividing the room into a particular number of separate sections is an effective way to calculate the room's precise size when it has an irregular shape. For example, if your room has a rectangular. Learn the formula to find the perimeter of a rectangle. Whether you’re tackling a diy project, designing a room, or just getting to grips with geometry,. Rectangular Perimeter Room.
From mungfali.com
Solved Find The Dimensions Of A Rectangle With A Perimete 044 Rectangular Perimeter Room For example, find the width of a. Explore examples of how to calculate a rectangle's perimeter. Apply the area and perimeter formulas for rectangles in real world and mathematical problems. Whether you’re tackling a diy project, designing a room, or just getting to grips with geometry, this guide will walk you through everything you need. Learn the formula to find. Rectangular Perimeter Room.
From resources.nu.edu
Geometry Math Resources LibGuides at National University Rectangular Perimeter Room For example, find the width of a. Apply the area and perimeter formulas for rectangles in real world and mathematical problems. Learn the formula to find the perimeter of a rectangle. For example, if your room has a rectangular. Whether you’re tackling a diy project, designing a room, or just getting to grips with geometry, this guide will walk you. Rectangular Perimeter Room.
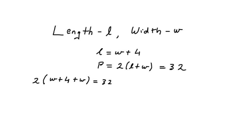
From www.numerade.com
SOLVED Text A rectangular room is 4 meters longer than it is wide Rectangular Perimeter Room Dividing the room into a particular number of separate sections is an effective way to calculate the room's precise size when it has an irregular shape. Whether you’re tackling a diy project, designing a room, or just getting to grips with geometry, this guide will walk you through everything you need. Learn the formula to find the perimeter of a. Rectangular Perimeter Room.
From blissflooring.co.uk
How To Measure For Carpet Bliss Flooring Rectangular Perimeter Room Whether you’re tackling a diy project, designing a room, or just getting to grips with geometry, this guide will walk you through everything you need. Explore examples of how to calculate a rectangle's perimeter. For example, if your room has a rectangular. For example, find the width of a. Dividing the room into a particular number of separate sections is. Rectangular Perimeter Room.
From support.measureflooring.com
How to Add Perimeter Products to Rooms Measure Flooring Rectangular Perimeter Room Check out this perimeter of a rectangle calculator and quickly estimate the necessary parameters of a rectangle. For example, find the width of a. For example, if your room has a rectangular. Learn the formula to find the perimeter of a rectangle. Apply the area and perimeter formulas for rectangles in real world and mathematical problems. Dividing the room into. Rectangular Perimeter Room.
From www.math-salamanders.com
Area and Perimeter of Rectangle Rectangular Perimeter Room Apply the area and perimeter formulas for rectangles in real world and mathematical problems. Check out this perimeter of a rectangle calculator and quickly estimate the necessary parameters of a rectangle. Learn the formula to find the perimeter of a rectangle. Dividing the room into a particular number of separate sections is an effective way to calculate the room's precise. Rectangular Perimeter Room.
From exotatxrv.blob.core.windows.net
Room Area Of A Rectangle at Joanna Izzo blog Rectangular Perimeter Room Apply the area and perimeter formulas for rectangles in real world and mathematical problems. Dividing the room into a particular number of separate sections is an effective way to calculate the room's precise size when it has an irregular shape. Learn the formula to find the perimeter of a rectangle. For example, find the width of a. Whether you’re tackling. Rectangular Perimeter Room.
From viewfloor.co
How Do You Find The Perimeter Of A Floor Plan Viewfloor.co Rectangular Perimeter Room Whether you’re tackling a diy project, designing a room, or just getting to grips with geometry, this guide will walk you through everything you need. Apply the area and perimeter formulas for rectangles in real world and mathematical problems. Dividing the room into a particular number of separate sections is an effective way to calculate the room's precise size when. Rectangular Perimeter Room.
From www.youtube.com
Perimeter of a Rectangle YouTube Rectangular Perimeter Room For example, if your room has a rectangular. For example, find the width of a. Explore examples of how to calculate a rectangle's perimeter. Whether you’re tackling a diy project, designing a room, or just getting to grips with geometry, this guide will walk you through everything you need. Learn the formula to find the perimeter of a rectangle. Apply. Rectangular Perimeter Room.
From www.youtube.com
Find Rectangle Dimensions with Given Perimeter and Area YouTube Rectangular Perimeter Room Apply the area and perimeter formulas for rectangles in real world and mathematical problems. Check out this perimeter of a rectangle calculator and quickly estimate the necessary parameters of a rectangle. Whether you’re tackling a diy project, designing a room, or just getting to grips with geometry, this guide will walk you through everything you need. Learn the formula to. Rectangular Perimeter Room.
From www.mometrix.com
Calculating the Perimeter of Rectangles (Sample Questions) Rectangular Perimeter Room Explore examples of how to calculate a rectangle's perimeter. Dividing the room into a particular number of separate sections is an effective way to calculate the room's precise size when it has an irregular shape. Apply the area and perimeter formulas for rectangles in real world and mathematical problems. Whether you’re tackling a diy project, designing a room, or just. Rectangular Perimeter Room.
From quizzcampusuta.z19.web.core.windows.net
Area And Perimeter Of Rectangle Rectangular Perimeter Room For example, if your room has a rectangular. Dividing the room into a particular number of separate sections is an effective way to calculate the room's precise size when it has an irregular shape. Apply the area and perimeter formulas for rectangles in real world and mathematical problems. Explore examples of how to calculate a rectangle's perimeter. Whether you’re tackling. Rectangular Perimeter Room.
From mathigon.org
Relating Perimeter and Area 2D Shapes and Perimeter Mathigon Rectangular Perimeter Room Whether you’re tackling a diy project, designing a room, or just getting to grips with geometry, this guide will walk you through everything you need. Apply the area and perimeter formulas for rectangles in real world and mathematical problems. Check out this perimeter of a rectangle calculator and quickly estimate the necessary parameters of a rectangle. Dividing the room into. Rectangular Perimeter Room.
From www.numerade.com
SOLVED A rectangular room is 4 meters longer than it is wide, and its Rectangular Perimeter Room Explore examples of how to calculate a rectangle's perimeter. For example, find the width of a. For example, if your room has a rectangular. Dividing the room into a particular number of separate sections is an effective way to calculate the room's precise size when it has an irregular shape. Check out this perimeter of a rectangle calculator and quickly. Rectangular Perimeter Room.
From www.coursehero.com
[Solved] A rectangular room is 4 meters longer than it is wide, and its Rectangular Perimeter Room Learn the formula to find the perimeter of a rectangle. Whether you’re tackling a diy project, designing a room, or just getting to grips with geometry, this guide will walk you through everything you need. Check out this perimeter of a rectangle calculator and quickly estimate the necessary parameters of a rectangle. For example, find the width of a. Explore. Rectangular Perimeter Room.
From viewfloor.co
How To Find The Perimeter Of A Floor Plan Viewfloor.co Rectangular Perimeter Room Check out this perimeter of a rectangle calculator and quickly estimate the necessary parameters of a rectangle. Whether you’re tackling a diy project, designing a room, or just getting to grips with geometry, this guide will walk you through everything you need. Explore examples of how to calculate a rectangle's perimeter. Apply the area and perimeter formulas for rectangles in. Rectangular Perimeter Room.
From wirelistlatinised.z21.web.core.windows.net
The Rectangular Diagram Shows The Design Rectangular Perimeter Room For example, if your room has a rectangular. For example, find the width of a. Check out this perimeter of a rectangle calculator and quickly estimate the necessary parameters of a rectangle. Explore examples of how to calculate a rectangle's perimeter. Dividing the room into a particular number of separate sections is an effective way to calculate the room's precise. Rectangular Perimeter Room.
From forum.buildhub.org.uk
Perimeter / Area (P/A) Ratio internal room areas or ignore internal Rectangular Perimeter Room Dividing the room into a particular number of separate sections is an effective way to calculate the room's precise size when it has an irregular shape. Explore examples of how to calculate a rectangle's perimeter. Check out this perimeter of a rectangle calculator and quickly estimate the necessary parameters of a rectangle. For example, if your room has a rectangular.. Rectangular Perimeter Room.
From www.youtube.com
Finding the area and perimeter of a square or rectangle using a formula Rectangular Perimeter Room Learn the formula to find the perimeter of a rectangle. Check out this perimeter of a rectangle calculator and quickly estimate the necessary parameters of a rectangle. Whether you’re tackling a diy project, designing a room, or just getting to grips with geometry, this guide will walk you through everything you need. For example, if your room has a rectangular.. Rectangular Perimeter Room.