Iron Iii Hydroxide Formula . in this video we'll write the correct formula for iron (iii) hydroxide,. learn about iron (iii) hydroxide, a brownish solid with the formula fe (oh) 3, that forms from iron (iii) salts and bases. Find out how it is used in water treatment, pigments, catalysts, paper, and adsorbents. learn about the chemical formula, properties and uses of iron (iii) hydroxide, also known as ferric acid. find the molecular formula, average mass, names, synonyms, and database links for iron (iii) hydroxide, a chemical compound of iron and hydroxide. learn about the chemical formula, structure, preparation, physical and chemical properties, and uses of iron (iii) hydroxide, an inorganic compound of iron, hydrogen, and oxygen. learn about the molecular formula, properties and chemical reactions of iron iii hydroxide, a dark orange compound of. Find out how its colour, solubility and.
from
in this video we'll write the correct formula for iron (iii) hydroxide,. learn about the chemical formula, properties and uses of iron (iii) hydroxide, also known as ferric acid. learn about iron (iii) hydroxide, a brownish solid with the formula fe (oh) 3, that forms from iron (iii) salts and bases. Find out how its colour, solubility and. learn about the molecular formula, properties and chemical reactions of iron iii hydroxide, a dark orange compound of. Find out how it is used in water treatment, pigments, catalysts, paper, and adsorbents. find the molecular formula, average mass, names, synonyms, and database links for iron (iii) hydroxide, a chemical compound of iron and hydroxide. learn about the chemical formula, structure, preparation, physical and chemical properties, and uses of iron (iii) hydroxide, an inorganic compound of iron, hydrogen, and oxygen.
Iron Iii Hydroxide Formula Find out how it is used in water treatment, pigments, catalysts, paper, and adsorbents. learn about the chemical formula, properties and uses of iron (iii) hydroxide, also known as ferric acid. in this video we'll write the correct formula for iron (iii) hydroxide,. find the molecular formula, average mass, names, synonyms, and database links for iron (iii) hydroxide, a chemical compound of iron and hydroxide. Find out how its colour, solubility and. learn about the chemical formula, structure, preparation, physical and chemical properties, and uses of iron (iii) hydroxide, an inorganic compound of iron, hydrogen, and oxygen. Find out how it is used in water treatment, pigments, catalysts, paper, and adsorbents. learn about iron (iii) hydroxide, a brownish solid with the formula fe (oh) 3, that forms from iron (iii) salts and bases. learn about the molecular formula, properties and chemical reactions of iron iii hydroxide, a dark orange compound of.
From
Iron Iii Hydroxide Formula in this video we'll write the correct formula for iron (iii) hydroxide,. learn about the chemical formula, structure, preparation, physical and chemical properties, and uses of iron (iii) hydroxide, an inorganic compound of iron, hydrogen, and oxygen. Find out how it is used in water treatment, pigments, catalysts, paper, and adsorbents. Find out how its colour, solubility and.. Iron Iii Hydroxide Formula.
From www.numerade.com
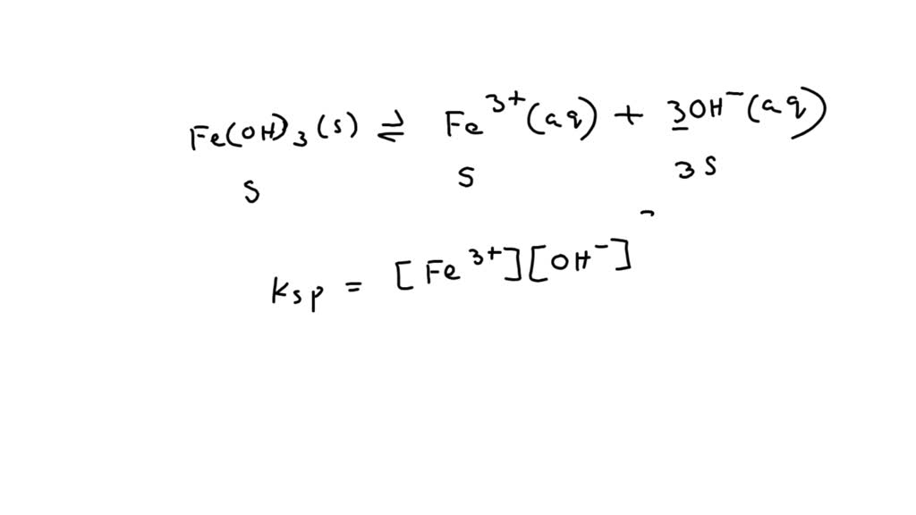
SOLVEDSolid iron(III) hydroxide is added to 625 \mathrm{mL} of 0.280 \mathrm{M} \mathrm{HCl Iron Iii Hydroxide Formula find the molecular formula, average mass, names, synonyms, and database links for iron (iii) hydroxide, a chemical compound of iron and hydroxide. learn about the chemical formula, structure, preparation, physical and chemical properties, and uses of iron (iii) hydroxide, an inorganic compound of iron, hydrogen, and oxygen. learn about iron (iii) hydroxide, a brownish solid with the. Iron Iii Hydroxide Formula.
From
Iron Iii Hydroxide Formula learn about iron (iii) hydroxide, a brownish solid with the formula fe (oh) 3, that forms from iron (iii) salts and bases. learn about the chemical formula, structure, preparation, physical and chemical properties, and uses of iron (iii) hydroxide, an inorganic compound of iron, hydrogen, and oxygen. find the molecular formula, average mass, names, synonyms, and database. Iron Iii Hydroxide Formula.
From www.shutterstock.com
Iron Iii Hydroxide Formula Handwritten Chemical Stock Illustration 1707412666 Shutterstock Iron Iii Hydroxide Formula Find out how its colour, solubility and. in this video we'll write the correct formula for iron (iii) hydroxide,. learn about the chemical formula, structure, preparation, physical and chemical properties, and uses of iron (iii) hydroxide, an inorganic compound of iron, hydrogen, and oxygen. find the molecular formula, average mass, names, synonyms, and database links for iron. Iron Iii Hydroxide Formula.
From
Iron Iii Hydroxide Formula learn about the chemical formula, properties and uses of iron (iii) hydroxide, also known as ferric acid. learn about the molecular formula, properties and chemical reactions of iron iii hydroxide, a dark orange compound of. learn about iron (iii) hydroxide, a brownish solid with the formula fe (oh) 3, that forms from iron (iii) salts and bases.. Iron Iii Hydroxide Formula.
From brainly.com
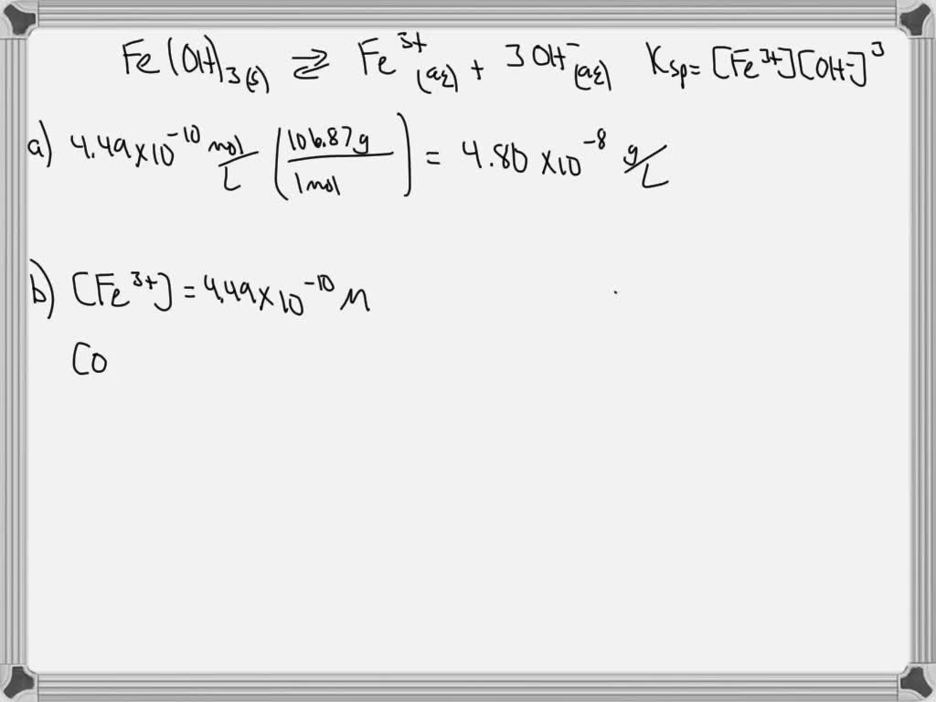
What mass of iron (III) hydroxide precipitate can be produced by reacting 75.0 mL of 0.105 M Iron Iii Hydroxide Formula learn about the molecular formula, properties and chemical reactions of iron iii hydroxide, a dark orange compound of. learn about the chemical formula, structure, preparation, physical and chemical properties, and uses of iron (iii) hydroxide, an inorganic compound of iron, hydrogen, and oxygen. find the molecular formula, average mass, names, synonyms, and database links for iron (iii). Iron Iii Hydroxide Formula.
From
Iron Iii Hydroxide Formula learn about the chemical formula, properties and uses of iron (iii) hydroxide, also known as ferric acid. learn about the chemical formula, structure, preparation, physical and chemical properties, and uses of iron (iii) hydroxide, an inorganic compound of iron, hydrogen, and oxygen. Find out how its colour, solubility and. in this video we'll write the correct formula. Iron Iii Hydroxide Formula.
From
Iron Iii Hydroxide Formula in this video we'll write the correct formula for iron (iii) hydroxide,. learn about iron (iii) hydroxide, a brownish solid with the formula fe (oh) 3, that forms from iron (iii) salts and bases. learn about the chemical formula, properties and uses of iron (iii) hydroxide, also known as ferric acid. Find out how its colour, solubility. Iron Iii Hydroxide Formula.
From
Iron Iii Hydroxide Formula learn about the chemical formula, structure, preparation, physical and chemical properties, and uses of iron (iii) hydroxide, an inorganic compound of iron, hydrogen, and oxygen. Find out how its colour, solubility and. in this video we'll write the correct formula for iron (iii) hydroxide,. find the molecular formula, average mass, names, synonyms, and database links for iron. Iron Iii Hydroxide Formula.
From
Iron Iii Hydroxide Formula Find out how it is used in water treatment, pigments, catalysts, paper, and adsorbents. find the molecular formula, average mass, names, synonyms, and database links for iron (iii) hydroxide, a chemical compound of iron and hydroxide. Find out how its colour, solubility and. learn about the chemical formula, structure, preparation, physical and chemical properties, and uses of iron. Iron Iii Hydroxide Formula.
From www.smolecule.com
Buy Iron(III) phosphate hydrate 51833682 Iron Iii Hydroxide Formula find the molecular formula, average mass, names, synonyms, and database links for iron (iii) hydroxide, a chemical compound of iron and hydroxide. learn about the chemical formula, properties and uses of iron (iii) hydroxide, also known as ferric acid. Find out how it is used in water treatment, pigments, catalysts, paper, and adsorbents. learn about iron (iii). Iron Iii Hydroxide Formula.
From
Iron Iii Hydroxide Formula learn about the chemical formula, properties and uses of iron (iii) hydroxide, also known as ferric acid. learn about the molecular formula, properties and chemical reactions of iron iii hydroxide, a dark orange compound of. learn about the chemical formula, structure, preparation, physical and chemical properties, and uses of iron (iii) hydroxide, an inorganic compound of iron,. Iron Iii Hydroxide Formula.
From
Iron Iii Hydroxide Formula learn about the molecular formula, properties and chemical reactions of iron iii hydroxide, a dark orange compound of. learn about the chemical formula, properties and uses of iron (iii) hydroxide, also known as ferric acid. learn about iron (iii) hydroxide, a brownish solid with the formula fe (oh) 3, that forms from iron (iii) salts and bases.. Iron Iii Hydroxide Formula.
From slideplayer.com
Balancing Chemical equations ppt download Iron Iii Hydroxide Formula learn about the chemical formula, structure, preparation, physical and chemical properties, and uses of iron (iii) hydroxide, an inorganic compound of iron, hydrogen, and oxygen. learn about iron (iii) hydroxide, a brownish solid with the formula fe (oh) 3, that forms from iron (iii) salts and bases. learn about the molecular formula, properties and chemical reactions of. Iron Iii Hydroxide Formula.
From
Iron Iii Hydroxide Formula learn about the chemical formula, structure, preparation, physical and chemical properties, and uses of iron (iii) hydroxide, an inorganic compound of iron, hydrogen, and oxygen. Find out how its colour, solubility and. find the molecular formula, average mass, names, synonyms, and database links for iron (iii) hydroxide, a chemical compound of iron and hydroxide. learn about the. Iron Iii Hydroxide Formula.
From www.clipartmax.com
Iron Iii Hydroxide Structure Free Transparent PNG Clipart Images Download Iron Iii Hydroxide Formula Find out how its colour, solubility and. in this video we'll write the correct formula for iron (iii) hydroxide,. learn about the chemical formula, structure, preparation, physical and chemical properties, and uses of iron (iii) hydroxide, an inorganic compound of iron, hydrogen, and oxygen. Find out how it is used in water treatment, pigments, catalysts, paper, and adsorbents.. Iron Iii Hydroxide Formula.
From
Iron Iii Hydroxide Formula find the molecular formula, average mass, names, synonyms, and database links for iron (iii) hydroxide, a chemical compound of iron and hydroxide. Find out how it is used in water treatment, pigments, catalysts, paper, and adsorbents. learn about the molecular formula, properties and chemical reactions of iron iii hydroxide, a dark orange compound of. Find out how its. Iron Iii Hydroxide Formula.
From www.youtube.com
How to Write the Formula for Iron (III) hydroxide YouTube Iron Iii Hydroxide Formula learn about iron (iii) hydroxide, a brownish solid with the formula fe (oh) 3, that forms from iron (iii) salts and bases. learn about the chemical formula, structure, preparation, physical and chemical properties, and uses of iron (iii) hydroxide, an inorganic compound of iron, hydrogen, and oxygen. learn about the chemical formula, properties and uses of iron. Iron Iii Hydroxide Formula.
From
Iron Iii Hydroxide Formula Find out how its colour, solubility and. Find out how it is used in water treatment, pigments, catalysts, paper, and adsorbents. learn about the chemical formula, properties and uses of iron (iii) hydroxide, also known as ferric acid. learn about iron (iii) hydroxide, a brownish solid with the formula fe (oh) 3, that forms from iron (iii) salts. Iron Iii Hydroxide Formula.
From www.numerade.com
SOLVED Calculate the amount (in mol) of a 7.331 g sample of iron (III hydroxide). (Fe(OH)3) Iron Iii Hydroxide Formula learn about the chemical formula, properties and uses of iron (iii) hydroxide, also known as ferric acid. learn about the molecular formula, properties and chemical reactions of iron iii hydroxide, a dark orange compound of. Find out how it is used in water treatment, pigments, catalysts, paper, and adsorbents. learn about the chemical formula, structure, preparation, physical. Iron Iii Hydroxide Formula.
From
Iron Iii Hydroxide Formula learn about the chemical formula, properties and uses of iron (iii) hydroxide, also known as ferric acid. learn about the molecular formula, properties and chemical reactions of iron iii hydroxide, a dark orange compound of. Find out how it is used in water treatment, pigments, catalysts, paper, and adsorbents. learn about iron (iii) hydroxide, a brownish solid. Iron Iii Hydroxide Formula.
From
Iron Iii Hydroxide Formula learn about the molecular formula, properties and chemical reactions of iron iii hydroxide, a dark orange compound of. learn about iron (iii) hydroxide, a brownish solid with the formula fe (oh) 3, that forms from iron (iii) salts and bases. Find out how it is used in water treatment, pigments, catalysts, paper, and adsorbents. learn about the. Iron Iii Hydroxide Formula.
From
Iron Iii Hydroxide Formula learn about the chemical formula, structure, preparation, physical and chemical properties, and uses of iron (iii) hydroxide, an inorganic compound of iron, hydrogen, and oxygen. in this video we'll write the correct formula for iron (iii) hydroxide,. learn about the chemical formula, properties and uses of iron (iii) hydroxide, also known as ferric acid. Find out how. Iron Iii Hydroxide Formula.
From davis-well-rodgers.blogspot.com
Iron Iii Chloride and Sodium Hydroxide Ionic Equation DaviswellRodgers Iron Iii Hydroxide Formula in this video we'll write the correct formula for iron (iii) hydroxide,. learn about iron (iii) hydroxide, a brownish solid with the formula fe (oh) 3, that forms from iron (iii) salts and bases. find the molecular formula, average mass, names, synonyms, and database links for iron (iii) hydroxide, a chemical compound of iron and hydroxide. Find. Iron Iii Hydroxide Formula.
From giowcppes.blob.core.windows.net
Iupac Formula For Iron (Iii) Hydroxide at Natasha Jewell blog Iron Iii Hydroxide Formula Find out how it is used in water treatment, pigments, catalysts, paper, and adsorbents. find the molecular formula, average mass, names, synonyms, and database links for iron (iii) hydroxide, a chemical compound of iron and hydroxide. learn about the molecular formula, properties and chemical reactions of iron iii hydroxide, a dark orange compound of. Find out how its. Iron Iii Hydroxide Formula.
From
Iron Iii Hydroxide Formula find the molecular formula, average mass, names, synonyms, and database links for iron (iii) hydroxide, a chemical compound of iron and hydroxide. learn about the chemical formula, properties and uses of iron (iii) hydroxide, also known as ferric acid. learn about the molecular formula, properties and chemical reactions of iron iii hydroxide, a dark orange compound of.. Iron Iii Hydroxide Formula.
From
Iron Iii Hydroxide Formula Find out how it is used in water treatment, pigments, catalysts, paper, and adsorbents. Find out how its colour, solubility and. learn about iron (iii) hydroxide, a brownish solid with the formula fe (oh) 3, that forms from iron (iii) salts and bases. in this video we'll write the correct formula for iron (iii) hydroxide,. learn about. Iron Iii Hydroxide Formula.
From
Iron Iii Hydroxide Formula Find out how its colour, solubility and. learn about iron (iii) hydroxide, a brownish solid with the formula fe (oh) 3, that forms from iron (iii) salts and bases. Find out how it is used in water treatment, pigments, catalysts, paper, and adsorbents. learn about the chemical formula, structure, preparation, physical and chemical properties, and uses of iron. Iron Iii Hydroxide Formula.
From www.shutterstock.com
Iron Iii Hydroxide Handwritten Chemical Formula Stock Illustration 1708731535 Shutterstock Iron Iii Hydroxide Formula Find out how it is used in water treatment, pigments, catalysts, paper, and adsorbents. learn about the chemical formula, structure, preparation, physical and chemical properties, and uses of iron (iii) hydroxide, an inorganic compound of iron, hydrogen, and oxygen. learn about the molecular formula, properties and chemical reactions of iron iii hydroxide, a dark orange compound of. . Iron Iii Hydroxide Formula.
From
Iron Iii Hydroxide Formula in this video we'll write the correct formula for iron (iii) hydroxide,. learn about the molecular formula, properties and chemical reactions of iron iii hydroxide, a dark orange compound of. learn about the chemical formula, properties and uses of iron (iii) hydroxide, also known as ferric acid. learn about iron (iii) hydroxide, a brownish solid with. Iron Iii Hydroxide Formula.
From
Iron Iii Hydroxide Formula learn about iron (iii) hydroxide, a brownish solid with the formula fe (oh) 3, that forms from iron (iii) salts and bases. learn about the molecular formula, properties and chemical reactions of iron iii hydroxide, a dark orange compound of. learn about the chemical formula, structure, preparation, physical and chemical properties, and uses of iron (iii) hydroxide,. Iron Iii Hydroxide Formula.
From
Iron Iii Hydroxide Formula learn about the chemical formula, properties and uses of iron (iii) hydroxide, also known as ferric acid. Find out how its colour, solubility and. in this video we'll write the correct formula for iron (iii) hydroxide,. find the molecular formula, average mass, names, synonyms, and database links for iron (iii) hydroxide, a chemical compound of iron and. Iron Iii Hydroxide Formula.
From
Iron Iii Hydroxide Formula learn about the molecular formula, properties and chemical reactions of iron iii hydroxide, a dark orange compound of. learn about the chemical formula, structure, preparation, physical and chemical properties, and uses of iron (iii) hydroxide, an inorganic compound of iron, hydrogen, and oxygen. Find out how it is used in water treatment, pigments, catalysts, paper, and adsorbents. . Iron Iii Hydroxide Formula.
From ar.inspiredpencil.com
Iron Iii Sulfate Atoms Iron Iii Hydroxide Formula in this video we'll write the correct formula for iron (iii) hydroxide,. learn about the chemical formula, structure, preparation, physical and chemical properties, and uses of iron (iii) hydroxide, an inorganic compound of iron, hydrogen, and oxygen. find the molecular formula, average mass, names, synonyms, and database links for iron (iii) hydroxide, a chemical compound of iron. Iron Iii Hydroxide Formula.
From giowcppes.blob.core.windows.net
Iupac Formula For Iron (Iii) Hydroxide at Natasha Jewell blog Iron Iii Hydroxide Formula learn about the molecular formula, properties and chemical reactions of iron iii hydroxide, a dark orange compound of. Find out how it is used in water treatment, pigments, catalysts, paper, and adsorbents. learn about the chemical formula, properties and uses of iron (iii) hydroxide, also known as ferric acid. learn about iron (iii) hydroxide, a brownish solid. Iron Iii Hydroxide Formula.