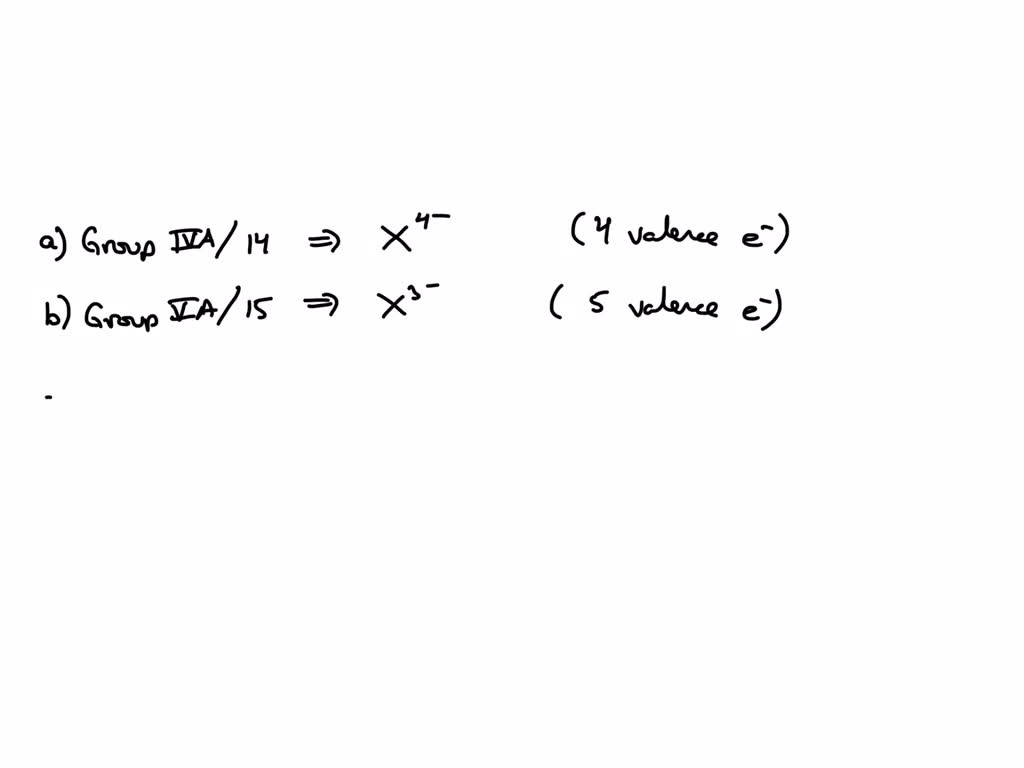
What Is The Predicted Ionic Charge Of An Element In Group Via/16 . Learn how to locate valence electrons and predict charges for metals and nonmetals using the modified bohr model. Learn how elements in different groups of the periodic table form ions with different charges by gaining or losing electrons. (a) group iva/14 (b) group va/15 (c). Atoms of group 17 gain one electron and form anions with a 1− charge; Chemical formula for the oxide ion. Atoms of group 16 gain two electrons and form ions with a 2− charge, and so on. Chemical formula for the copper(i) ion. Study with quizlet and memorize flashcards containing terms like what is the predicted ionic charge of an element in group via, what is the.
from www.chemsimplified.com
(a) group iva/14 (b) group va/15 (c). Atoms of group 16 gain two electrons and form ions with a 2− charge, and so on. Chemical formula for the oxide ion. Learn how to locate valence electrons and predict charges for metals and nonmetals using the modified bohr model. Study with quizlet and memorize flashcards containing terms like what is the predicted ionic charge of an element in group via, what is the. Atoms of group 17 gain one electron and form anions with a 1− charge; Learn how elements in different groups of the periodic table form ions with different charges by gaining or losing electrons. Chemical formula for the copper(i) ion.
How to Predict number of bonds each element forms ChemSimplified
What Is The Predicted Ionic Charge Of An Element In Group Via/16 Chemical formula for the copper(i) ion. Atoms of group 17 gain one electron and form anions with a 1− charge; Study with quizlet and memorize flashcards containing terms like what is the predicted ionic charge of an element in group via, what is the. Learn how elements in different groups of the periodic table form ions with different charges by gaining or losing electrons. (a) group iva/14 (b) group va/15 (c). Chemical formula for the oxide ion. Chemical formula for the copper(i) ion. Atoms of group 16 gain two electrons and form ions with a 2− charge, and so on. Learn how to locate valence electrons and predict charges for metals and nonmetals using the modified bohr model.
From utedzz.blogspot.com
Periodic Table Labeled With Charges Periodic Table Timeline What Is The Predicted Ionic Charge Of An Element In Group Via/16 (a) group iva/14 (b) group va/15 (c). Learn how to locate valence electrons and predict charges for metals and nonmetals using the modified bohr model. Learn how elements in different groups of the periodic table form ions with different charges by gaining or losing electrons. Study with quizlet and memorize flashcards containing terms like what is the predicted ionic charge. What Is The Predicted Ionic Charge Of An Element In Group Via/16.
From www.numerade.com
SOLVEDState the predicted ionic charge of nonmetal ions in each of the What Is The Predicted Ionic Charge Of An Element In Group Via/16 Chemical formula for the copper(i) ion. Study with quizlet and memorize flashcards containing terms like what is the predicted ionic charge of an element in group via, what is the. Atoms of group 16 gain two electrons and form ions with a 2− charge, and so on. Atoms of group 17 gain one electron and form anions with a 1−. What Is The Predicted Ionic Charge Of An Element In Group Via/16.
From www.youtube.com
How to predict ionic charges on elements YouTube What Is The Predicted Ionic Charge Of An Element In Group Via/16 Learn how elements in different groups of the periodic table form ions with different charges by gaining or losing electrons. Atoms of group 16 gain two electrons and form ions with a 2− charge, and so on. Atoms of group 17 gain one electron and form anions with a 1− charge; (a) group iva/14 (b) group va/15 (c). Chemical formula. What Is The Predicted Ionic Charge Of An Element In Group Via/16.
From elchoroukhost.net
Periodic Table With Ionic Charges Printable Elcho Table What Is The Predicted Ionic Charge Of An Element In Group Via/16 Atoms of group 17 gain one electron and form anions with a 1− charge; Study with quizlet and memorize flashcards containing terms like what is the predicted ionic charge of an element in group via, what is the. (a) group iva/14 (b) group va/15 (c). Chemical formula for the oxide ion. Learn how elements in different groups of the periodic. What Is The Predicted Ionic Charge Of An Element In Group Via/16.
From www.slideserve.com
PPT Chapter 9 “Chemical Names and Formulas” PowerPoint Presentation What Is The Predicted Ionic Charge Of An Element In Group Via/16 Atoms of group 17 gain one electron and form anions with a 1− charge; Learn how to locate valence electrons and predict charges for metals and nonmetals using the modified bohr model. Learn how elements in different groups of the periodic table form ions with different charges by gaining or losing electrons. Chemical formula for the oxide ion. Atoms of. What Is The Predicted Ionic Charge Of An Element In Group Via/16.
From www.clutchprep.com
Periodic Table Charges Chemistry Video Clutch Prep What Is The Predicted Ionic Charge Of An Element In Group Via/16 Chemical formula for the oxide ion. (a) group iva/14 (b) group va/15 (c). Atoms of group 17 gain one electron and form anions with a 1− charge; Atoms of group 16 gain two electrons and form ions with a 2− charge, and so on. Learn how to locate valence electrons and predict charges for metals and nonmetals using the modified. What Is The Predicted Ionic Charge Of An Element In Group Via/16.
From itc.gsw.edu
Ions What Is The Predicted Ionic Charge Of An Element In Group Via/16 Atoms of group 17 gain one electron and form anions with a 1− charge; Chemical formula for the oxide ion. Atoms of group 16 gain two electrons and form ions with a 2− charge, and so on. Learn how to locate valence electrons and predict charges for metals and nonmetals using the modified bohr model. Study with quizlet and memorize. What Is The Predicted Ionic Charge Of An Element In Group Via/16.
From worksheetsalicine.z21.web.core.windows.net
How To Predict Charges Of Ions What Is The Predicted Ionic Charge Of An Element In Group Via/16 Learn how to locate valence electrons and predict charges for metals and nonmetals using the modified bohr model. Learn how elements in different groups of the periodic table form ions with different charges by gaining or losing electrons. Chemical formula for the oxide ion. Atoms of group 17 gain one electron and form anions with a 1− charge; Study with. What Is The Predicted Ionic Charge Of An Element In Group Via/16.
From www.numerade.com
SOLVEDState the predicted ionic charge of nonmetal ions in each of the What Is The Predicted Ionic Charge Of An Element In Group Via/16 Learn how elements in different groups of the periodic table form ions with different charges by gaining or losing electrons. Atoms of group 17 gain one electron and form anions with a 1− charge; Atoms of group 16 gain two electrons and form ions with a 2− charge, and so on. (a) group iva/14 (b) group va/15 (c). Learn how. What Is The Predicted Ionic Charge Of An Element In Group Via/16.
From studylibdiana.z13.web.core.windows.net
Periodic Table Charge Chart What Is The Predicted Ionic Charge Of An Element In Group Via/16 (a) group iva/14 (b) group va/15 (c). Atoms of group 16 gain two electrons and form ions with a 2− charge, and so on. Learn how elements in different groups of the periodic table form ions with different charges by gaining or losing electrons. Atoms of group 17 gain one electron and form anions with a 1− charge; Learn how. What Is The Predicted Ionic Charge Of An Element In Group Via/16.
From www.sliderbase.com
Ionic Compound Nomenclature Presentation Chemistry What Is The Predicted Ionic Charge Of An Element In Group Via/16 (a) group iva/14 (b) group va/15 (c). Learn how to locate valence electrons and predict charges for metals and nonmetals using the modified bohr model. Learn how elements in different groups of the periodic table form ions with different charges by gaining or losing electrons. Chemical formula for the oxide ion. Study with quizlet and memorize flashcards containing terms like. What Is The Predicted Ionic Charge Of An Element In Group Via/16.
From utedzz.blogspot.com
Periodic Table Ion Charges Periodic Table Timeline What Is The Predicted Ionic Charge Of An Element In Group Via/16 Study with quizlet and memorize flashcards containing terms like what is the predicted ionic charge of an element in group via, what is the. Atoms of group 16 gain two electrons and form ions with a 2− charge, and so on. Chemical formula for the oxide ion. (a) group iva/14 (b) group va/15 (c). Learn how elements in different groups. What Is The Predicted Ionic Charge Of An Element In Group Via/16.
From bezygps.weebly.com
Periodic table with charges of ions bezygps What Is The Predicted Ionic Charge Of An Element In Group Via/16 Atoms of group 16 gain two electrons and form ions with a 2− charge, and so on. Learn how to locate valence electrons and predict charges for metals and nonmetals using the modified bohr model. Chemical formula for the copper(i) ion. Learn how elements in different groups of the periodic table form ions with different charges by gaining or losing. What Is The Predicted Ionic Charge Of An Element In Group Via/16.
From www.slideserve.com
PPT Periodic Table Study Guide PowerPoint Presentation, free download What Is The Predicted Ionic Charge Of An Element In Group Via/16 Chemical formula for the oxide ion. Learn how to locate valence electrons and predict charges for metals and nonmetals using the modified bohr model. Study with quizlet and memorize flashcards containing terms like what is the predicted ionic charge of an element in group via, what is the. Chemical formula for the copper(i) ion. Atoms of group 17 gain one. What Is The Predicted Ionic Charge Of An Element In Group Via/16.
From www.chemsimplified.com
How to Predict number of bonds each element forms ChemSimplified What Is The Predicted Ionic Charge Of An Element In Group Via/16 Learn how to locate valence electrons and predict charges for metals and nonmetals using the modified bohr model. (a) group iva/14 (b) group va/15 (c). Study with quizlet and memorize flashcards containing terms like what is the predicted ionic charge of an element in group via, what is the. Chemical formula for the copper(i) ion. Atoms of group 16 gain. What Is The Predicted Ionic Charge Of An Element In Group Via/16.
From reviewhomedecor.co
Periodic Table With Charges Of Groups Review Home Decor What Is The Predicted Ionic Charge Of An Element In Group Via/16 (a) group iva/14 (b) group va/15 (c). Study with quizlet and memorize flashcards containing terms like what is the predicted ionic charge of an element in group via, what is the. Chemical formula for the oxide ion. Learn how to locate valence electrons and predict charges for metals and nonmetals using the modified bohr model. Learn how elements in different. What Is The Predicted Ionic Charge Of An Element In Group Via/16.
From mungfali.com
Periodic Table Of Elements Ionic Charges What Is The Predicted Ionic Charge Of An Element In Group Via/16 Learn how to locate valence electrons and predict charges for metals and nonmetals using the modified bohr model. Chemical formula for the copper(i) ion. Study with quizlet and memorize flashcards containing terms like what is the predicted ionic charge of an element in group via, what is the. (a) group iva/14 (b) group va/15 (c). Atoms of group 16 gain. What Is The Predicted Ionic Charge Of An Element In Group Via/16.
From www.youtube.com
Finding the Ionic Charge for Elements on the Periodic Table YouTube What Is The Predicted Ionic Charge Of An Element In Group Via/16 Chemical formula for the oxide ion. Atoms of group 16 gain two electrons and form ions with a 2− charge, and so on. (a) group iva/14 (b) group va/15 (c). Study with quizlet and memorize flashcards containing terms like what is the predicted ionic charge of an element in group via, what is the. Learn how to locate valence electrons. What Is The Predicted Ionic Charge Of An Element In Group Via/16.
From www.slideserve.com
PPT Predicting Ionic Charges PowerPoint Presentation, free download What Is The Predicted Ionic Charge Of An Element In Group Via/16 Atoms of group 16 gain two electrons and form ions with a 2− charge, and so on. Learn how elements in different groups of the periodic table form ions with different charges by gaining or losing electrons. Chemical formula for the oxide ion. Chemical formula for the copper(i) ion. (a) group iva/14 (b) group va/15 (c). Atoms of group 17. What Is The Predicted Ionic Charge Of An Element In Group Via/16.
From sciencenotes.org
Element Charges Chart How to Know the Charge of an Atom What Is The Predicted Ionic Charge Of An Element In Group Via/16 Learn how elements in different groups of the periodic table form ions with different charges by gaining or losing electrons. Atoms of group 17 gain one electron and form anions with a 1− charge; Learn how to locate valence electrons and predict charges for metals and nonmetals using the modified bohr model. Atoms of group 16 gain two electrons and. What Is The Predicted Ionic Charge Of An Element In Group Via/16.
From www.sliderbase.com
Ionic Compound Nomenclature Presentation Chemistry What Is The Predicted Ionic Charge Of An Element In Group Via/16 Learn how elements in different groups of the periodic table form ions with different charges by gaining or losing electrons. Chemical formula for the copper(i) ion. Learn how to locate valence electrons and predict charges for metals and nonmetals using the modified bohr model. Study with quizlet and memorize flashcards containing terms like what is the predicted ionic charge of. What Is The Predicted Ionic Charge Of An Element In Group Via/16.
From www.thoughtco.com
Periodic Table With Common Ionic Charges What Is The Predicted Ionic Charge Of An Element In Group Via/16 Chemical formula for the copper(i) ion. Atoms of group 16 gain two electrons and form ions with a 2− charge, and so on. Study with quizlet and memorize flashcards containing terms like what is the predicted ionic charge of an element in group via, what is the. (a) group iva/14 (b) group va/15 (c). Learn how elements in different groups. What Is The Predicted Ionic Charge Of An Element In Group Via/16.
From foptbest.weebly.com
Periodic table of elements with ion charges foptbest What Is The Predicted Ionic Charge Of An Element In Group Via/16 Learn how to locate valence electrons and predict charges for metals and nonmetals using the modified bohr model. Chemical formula for the oxide ion. Atoms of group 16 gain two electrons and form ions with a 2− charge, and so on. Chemical formula for the copper(i) ion. Study with quizlet and memorize flashcards containing terms like what is the predicted. What Is The Predicted Ionic Charge Of An Element In Group Via/16.
From mungfali.com
Periodic Table Of Elements Ionic Charges What Is The Predicted Ionic Charge Of An Element In Group Via/16 Learn how elements in different groups of the periodic table form ions with different charges by gaining or losing electrons. (a) group iva/14 (b) group va/15 (c). Chemical formula for the copper(i) ion. Atoms of group 16 gain two electrons and form ions with a 2− charge, and so on. Study with quizlet and memorize flashcards containing terms like what. What Is The Predicted Ionic Charge Of An Element In Group Via/16.
From www.sliderbase.com
Ionic Compound Nomenclature Presentation Chemistry What Is The Predicted Ionic Charge Of An Element In Group Via/16 Atoms of group 17 gain one electron and form anions with a 1− charge; Learn how elements in different groups of the periodic table form ions with different charges by gaining or losing electrons. Study with quizlet and memorize flashcards containing terms like what is the predicted ionic charge of an element in group via, what is the. Learn how. What Is The Predicted Ionic Charge Of An Element In Group Via/16.
From officialbruinsshop.com
Printable Periodic Table With Ionic Charges Bruin Blog What Is The Predicted Ionic Charge Of An Element In Group Via/16 Chemical formula for the copper(i) ion. Learn how elements in different groups of the periodic table form ions with different charges by gaining or losing electrons. (a) group iva/14 (b) group va/15 (c). Learn how to locate valence electrons and predict charges for metals and nonmetals using the modified bohr model. Study with quizlet and memorize flashcards containing terms like. What Is The Predicted Ionic Charge Of An Element In Group Via/16.
From www.youtube.com
How to predict ionic Charges? YouTube What Is The Predicted Ionic Charge Of An Element In Group Via/16 Learn how to locate valence electrons and predict charges for metals and nonmetals using the modified bohr model. Chemical formula for the copper(i) ion. Learn how elements in different groups of the periodic table form ions with different charges by gaining or losing electrons. Study with quizlet and memorize flashcards containing terms like what is the predicted ionic charge of. What Is The Predicted Ionic Charge Of An Element In Group Via/16.
From mavink.com
Periodic Table And Its Charges What Is The Predicted Ionic Charge Of An Element In Group Via/16 (a) group iva/14 (b) group va/15 (c). Atoms of group 17 gain one electron and form anions with a 1− charge; Chemical formula for the oxide ion. Learn how to locate valence electrons and predict charges for metals and nonmetals using the modified bohr model. Learn how elements in different groups of the periodic table form ions with different charges. What Is The Predicted Ionic Charge Of An Element In Group Via/16.
From utedzz.blogspot.com
Periodic Table Charges Ions Periodic Table Timeline What Is The Predicted Ionic Charge Of An Element In Group Via/16 Study with quizlet and memorize flashcards containing terms like what is the predicted ionic charge of an element in group via, what is the. Learn how to locate valence electrons and predict charges for metals and nonmetals using the modified bohr model. Atoms of group 16 gain two electrons and form ions with a 2− charge, and so on. (a). What Is The Predicted Ionic Charge Of An Element In Group Via/16.
From utedzz.blogspot.com
Periodic Table Ion Charges Groups Periodic Table Timeline What Is The Predicted Ionic Charge Of An Element In Group Via/16 Chemical formula for the copper(i) ion. (a) group iva/14 (b) group va/15 (c). Atoms of group 16 gain two electrons and form ions with a 2− charge, and so on. Study with quizlet and memorize flashcards containing terms like what is the predicted ionic charge of an element in group via, what is the. Atoms of group 17 gain one. What Is The Predicted Ionic Charge Of An Element In Group Via/16.
From utedzz.blogspot.com
Periodic Table Ions List Periodic Table Timeline What Is The Predicted Ionic Charge Of An Element In Group Via/16 Chemical formula for the copper(i) ion. Atoms of group 17 gain one electron and form anions with a 1− charge; Learn how elements in different groups of the periodic table form ions with different charges by gaining or losing electrons. (a) group iva/14 (b) group va/15 (c). Study with quizlet and memorize flashcards containing terms like what is the predicted. What Is The Predicted Ionic Charge Of An Element In Group Via/16.
From ar.inspiredpencil.com
Periodic Table With Charges And Groups What Is The Predicted Ionic Charge Of An Element In Group Via/16 Chemical formula for the oxide ion. (a) group iva/14 (b) group va/15 (c). Atoms of group 16 gain two electrons and form ions with a 2− charge, and so on. Learn how elements in different groups of the periodic table form ions with different charges by gaining or losing electrons. Study with quizlet and memorize flashcards containing terms like what. What Is The Predicted Ionic Charge Of An Element In Group Via/16.
From templates.hilarious.edu.np
Printable Periodic Table With Charges What Is The Predicted Ionic Charge Of An Element In Group Via/16 Learn how elements in different groups of the periodic table form ions with different charges by gaining or losing electrons. Chemical formula for the copper(i) ion. Study with quizlet and memorize flashcards containing terms like what is the predicted ionic charge of an element in group via, what is the. (a) group iva/14 (b) group va/15 (c). Learn how to. What Is The Predicted Ionic Charge Of An Element In Group Via/16.
From mungfali.com
Periodic Table Of Elements Ionic Charges What Is The Predicted Ionic Charge Of An Element In Group Via/16 Learn how to locate valence electrons and predict charges for metals and nonmetals using the modified bohr model. Chemical formula for the oxide ion. (a) group iva/14 (b) group va/15 (c). Atoms of group 17 gain one electron and form anions with a 1− charge; Chemical formula for the copper(i) ion. Study with quizlet and memorize flashcards containing terms like. What Is The Predicted Ionic Charge Of An Element In Group Via/16.
From www.sliderbase.com
Ionic Compound Nomenclature Presentation Chemistry What Is The Predicted Ionic Charge Of An Element In Group Via/16 Chemical formula for the oxide ion. (a) group iva/14 (b) group va/15 (c). Chemical formula for the copper(i) ion. Atoms of group 17 gain one electron and form anions with a 1− charge; Study with quizlet and memorize flashcards containing terms like what is the predicted ionic charge of an element in group via, what is the. Learn how to. What Is The Predicted Ionic Charge Of An Element In Group Via/16.