Sales Declaration Form . The csd form is a document that is required to be completed each year. This document is a sales declaration and evaluation form used by businesses in quezon city, philippines to declare their sales and submit required. It requires the business owner to. What is a certified sales declaration (csd) form. This article also explains how to. *all sales declarations must be declared in policy currency. This document is a gross receipts/sales declaration form for businesses in quezon city, philippines. This document is a sales declaration and.
from www.scribd.com
This document is a sales declaration and evaluation form used by businesses in quezon city, philippines to declare their sales and submit required. This article also explains how to. The csd form is a document that is required to be completed each year. It requires the business owner to. This document is a gross receipts/sales declaration form for businesses in quezon city, philippines. What is a certified sales declaration (csd) form. *all sales declarations must be declared in policy currency. This document is a sales declaration and.
Sales Declaration and Evaluation Form PDF Tax Return (United States
Sales Declaration Form This document is a sales declaration and. This document is a gross receipts/sales declaration form for businesses in quezon city, philippines. This article also explains how to. This document is a sales declaration and. It requires the business owner to. This document is a sales declaration and evaluation form used by businesses in quezon city, philippines to declare their sales and submit required. *all sales declarations must be declared in policy currency. The csd form is a document that is required to be completed each year. What is a certified sales declaration (csd) form.
From www.signnow.com
Assets Declaration Form in Word Complete with ease airSlate SignNow Sales Declaration Form This document is a sales declaration and. This document is a gross receipts/sales declaration form for businesses in quezon city, philippines. This document is a sales declaration and evaluation form used by businesses in quezon city, philippines to declare their sales and submit required. This article also explains how to. It requires the business owner to. What is a certified. Sales Declaration Form.
From www.sampleforms.com
FREE 12+ Business Declaration Form Samples, PDF, MS Word, Google Docs Sales Declaration Form This document is a sales declaration and evaluation form used by businesses in quezon city, philippines to declare their sales and submit required. It requires the business owner to. This document is a sales declaration and. What is a certified sales declaration (csd) form. *all sales declarations must be declared in policy currency. This article also explains how to. This. Sales Declaration Form.
From www.pdffiller.com
Sworn Declaration Bir Annex A1 Download Fill Online, Printable Sales Declaration Form The csd form is a document that is required to be completed each year. This document is a gross receipts/sales declaration form for businesses in quezon city, philippines. What is a certified sales declaration (csd) form. It requires the business owner to. This document is a sales declaration and evaluation form used by businesses in quezon city, philippines to declare. Sales Declaration Form.
From www.employementform.com
Personal Declaration Letter Self Declaration Form Format For Employment Sales Declaration Form This document is a sales declaration and. This document is a gross receipts/sales declaration form for businesses in quezon city, philippines. *all sales declarations must be declared in policy currency. What is a certified sales declaration (csd) form. The csd form is a document that is required to be completed each year. It requires the business owner to. This article. Sales Declaration Form.
From pastorstrategy.weebly.com
Gross receipts pastorstrategy Sales Declaration Form This article also explains how to. What is a certified sales declaration (csd) form. *all sales declarations must be declared in policy currency. This document is a sales declaration and evaluation form used by businesses in quezon city, philippines to declare their sales and submit required. This document is a sales declaration and. This document is a gross receipts/sales declaration. Sales Declaration Form.
From www.scribd.com
Online Vendor Registration Declaration Letter Sales Declaration Form The csd form is a document that is required to be completed each year. It requires the business owner to. This document is a sales declaration and evaluation form used by businesses in quezon city, philippines to declare their sales and submit required. This article also explains how to. This document is a sales declaration and. This document is a. Sales Declaration Form.
From issuu.com
VAT Declaration eform by Bereket Befekadu Issuu Sales Declaration Form This document is a sales declaration and evaluation form used by businesses in quezon city, philippines to declare their sales and submit required. This document is a gross receipts/sales declaration form for businesses in quezon city, philippines. What is a certified sales declaration (csd) form. This document is a sales declaration and. The csd form is a document that is. Sales Declaration Form.
From www.scribd.com
Sales Declaration and Evaluation Form PDF Tax Return (United States Sales Declaration Form The csd form is a document that is required to be completed each year. This document is a sales declaration and evaluation form used by businesses in quezon city, philippines to declare their sales and submit required. This document is a sales declaration and. This document is a gross receipts/sales declaration form for businesses in quezon city, philippines. It requires. Sales Declaration Form.
From printableformsfree.com
Asset Transfer Tax Declaration Fillable Form Printable Forms Free Online Sales Declaration Form This document is a sales declaration and evaluation form used by businesses in quezon city, philippines to declare their sales and submit required. It requires the business owner to. *all sales declarations must be declared in policy currency. What is a certified sales declaration (csd) form. This article also explains how to. The csd form is a document that is. Sales Declaration Form.
From www.scribd.com
Declaration of Gross Sales PDF Sales Declaration Form The csd form is a document that is required to be completed each year. This document is a gross receipts/sales declaration form for businesses in quezon city, philippines. *all sales declarations must be declared in policy currency. This document is a sales declaration and evaluation form used by businesses in quezon city, philippines to declare their sales and submit required.. Sales Declaration Form.
From www.pdffiller.com
Bir Annex B2 Form Download Fill Online, Printable, Fillable, Blank Sales Declaration Form This article also explains how to. The csd form is a document that is required to be completed each year. This document is a sales declaration and evaluation form used by businesses in quezon city, philippines to declare their sales and submit required. This document is a sales declaration and. This document is a gross receipts/sales declaration form for businesses. Sales Declaration Form.
From www.scribd.com
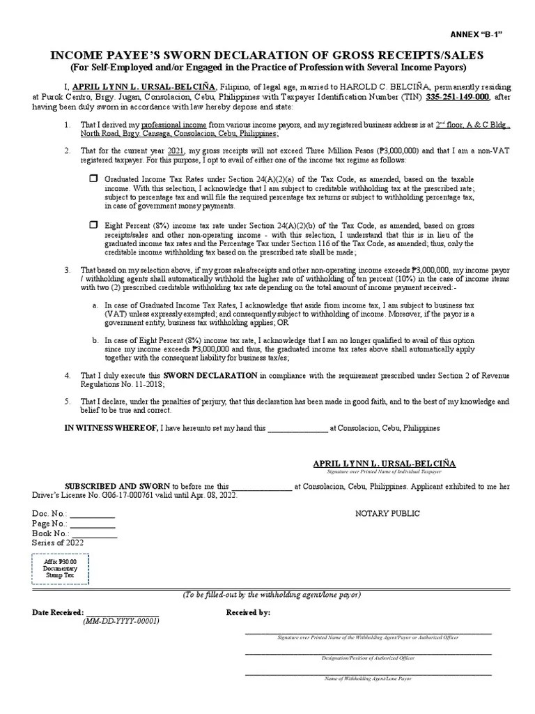
Payee's Sworn Declaration of Gross Receipts or Sales PDF Sales Declaration Form The csd form is a document that is required to be completed each year. What is a certified sales declaration (csd) form. This document is a sales declaration and evaluation form used by businesses in quezon city, philippines to declare their sales and submit required. This document is a sales declaration and. *all sales declarations must be declared in policy. Sales Declaration Form.
From www.sampleforms.com
FREE 12+ Business Declaration Form Samples, PDF, MS Word, Google Docs Sales Declaration Form This document is a sales declaration and evaluation form used by businesses in quezon city, philippines to declare their sales and submit required. What is a certified sales declaration (csd) form. This document is a gross receipts/sales declaration form for businesses in quezon city, philippines. This document is a sales declaration and. *all sales declarations must be declared in policy. Sales Declaration Form.
From printablebillofsale.org
Free General Bill of Sale Form Download PDF Word Sales Declaration Form This article also explains how to. This document is a sales declaration and. What is a certified sales declaration (csd) form. The csd form is a document that is required to be completed each year. This document is a gross receipts/sales declaration form for businesses in quezon city, philippines. It requires the business owner to. This document is a sales. Sales Declaration Form.
From www.scribd.com
Audited Sales Declaration Template PDF Sales Declaration Form This document is a gross receipts/sales declaration form for businesses in quezon city, philippines. This document is a sales declaration and evaluation form used by businesses in quezon city, philippines to declare their sales and submit required. This article also explains how to. This document is a sales declaration and. *all sales declarations must be declared in policy currency. What. Sales Declaration Form.
From www.lettersformats.com
Example of Self Declaration Form Templates / Formats Sales Declaration Form This document is a sales declaration and evaluation form used by businesses in quezon city, philippines to declare their sales and submit required. *all sales declarations must be declared in policy currency. This document is a sales declaration and. It requires the business owner to. The csd form is a document that is required to be completed each year. This. Sales Declaration Form.
From mungfali.com
Partnership Declaration Letter Format Sales Declaration Form This document is a sales declaration and evaluation form used by businesses in quezon city, philippines to declare their sales and submit required. The csd form is a document that is required to be completed each year. This document is a sales declaration and. This article also explains how to. This document is a gross receipts/sales declaration form for businesses. Sales Declaration Form.
From www.taxscan.in
Failure to consider the C' and 'F' Declaration Forms submitted by Sales Declaration Form This document is a gross receipts/sales declaration form for businesses in quezon city, philippines. This document is a sales declaration and evaluation form used by businesses in quezon city, philippines to declare their sales and submit required. What is a certified sales declaration (csd) form. The csd form is a document that is required to be completed each year. This. Sales Declaration Form.
From template.mapadapalavra.ba.gov.br
Declaration Letter Template Doc Sales Declaration Form This document is a gross receipts/sales declaration form for businesses in quezon city, philippines. This article also explains how to. *all sales declarations must be declared in policy currency. This document is a sales declaration and evaluation form used by businesses in quezon city, philippines to declare their sales and submit required. What is a certified sales declaration (csd) form.. Sales Declaration Form.
From www.signnow.com
General Declaration Form Editable template airSlate SignNow Sales Declaration Form This document is a gross receipts/sales declaration form for businesses in quezon city, philippines. This document is a sales declaration and. The csd form is a document that is required to be completed each year. This document is a sales declaration and evaluation form used by businesses in quezon city, philippines to declare their sales and submit required. It requires. Sales Declaration Form.
From www.slideshare.net
payees sworn declaration of gross receipts sales Sales Declaration Form This document is a sales declaration and. It requires the business owner to. The csd form is a document that is required to be completed each year. This article also explains how to. *all sales declarations must be declared in policy currency. This document is a sales declaration and evaluation form used by businesses in quezon city, philippines to declare. Sales Declaration Form.
From www.studocu.com
BID Securing Declaration FORM BID SECURING DECLARATION FORM REPUBLIC Sales Declaration Form The csd form is a document that is required to be completed each year. What is a certified sales declaration (csd) form. This document is a gross receipts/sales declaration form for businesses in quezon city, philippines. *all sales declarations must be declared in policy currency. This document is a sales declaration and evaluation form used by businesses in quezon city,. Sales Declaration Form.
From www.pdffiller.com
Fillable Online Livestock Sales Declaration Meat Processor Sales Declaration Form This document is a sales declaration and evaluation form used by businesses in quezon city, philippines to declare their sales and submit required. *all sales declarations must be declared in policy currency. What is a certified sales declaration (csd) form. This document is a gross receipts/sales declaration form for businesses in quezon city, philippines. The csd form is a document. Sales Declaration Form.
From www.formsbank.com
Fillable Form Rev 32 2501 Declaration Of Buyer And Seller Regarding Sales Declaration Form This document is a sales declaration and evaluation form used by businesses in quezon city, philippines to declare their sales and submit required. This document is a sales declaration and. This document is a gross receipts/sales declaration form for businesses in quezon city, philippines. *all sales declarations must be declared in policy currency. The csd form is a document that. Sales Declaration Form.
From editable-form.com
Manage Documents Using Our Editable Form For Export Declaration Form Sales Declaration Form This document is a gross receipts/sales declaration form for businesses in quezon city, philippines. The csd form is a document that is required to be completed each year. It requires the business owner to. This document is a sales declaration and evaluation form used by businesses in quezon city, philippines to declare their sales and submit required. What is a. Sales Declaration Form.
From www.hotzxgirl.com
Declaration Letter How To Write Declaration Letter Samples Format Hot Sales Declaration Form This article also explains how to. This document is a sales declaration and evaluation form used by businesses in quezon city, philippines to declare their sales and submit required. What is a certified sales declaration (csd) form. It requires the business owner to. This document is a gross receipts/sales declaration form for businesses in quezon city, philippines. This document is. Sales Declaration Form.
From www.sampleforms.com
FREE 14+ Legal Declaration Forms in PDF Word Sales Declaration Form It requires the business owner to. This document is a gross receipts/sales declaration form for businesses in quezon city, philippines. This document is a sales declaration and evaluation form used by businesses in quezon city, philippines to declare their sales and submit required. This document is a sales declaration and. The csd form is a document that is required to. Sales Declaration Form.
From olongapo-boss.blogspot.com
Olongapo Business One Stop Shop Forms Sales Declaration Form *all sales declarations must be declared in policy currency. What is a certified sales declaration (csd) form. The csd form is a document that is required to be completed each year. This document is a sales declaration and. It requires the business owner to. This document is a gross receipts/sales declaration form for businesses in quezon city, philippines. This document. Sales Declaration Form.
From cathievmaurizia.pages.dev
Tax Exempt Form 2024 For Business Lona Livvyy Sales Declaration Form *all sales declarations must be declared in policy currency. It requires the business owner to. This article also explains how to. What is a certified sales declaration (csd) form. This document is a gross receipts/sales declaration form for businesses in quezon city, philippines. This document is a sales declaration and. The csd form is a document that is required to. Sales Declaration Form.
From www.scribd.com
Gross Sales Declaration Form 2023 PDF Tax Return (United States Sales Declaration Form It requires the business owner to. What is a certified sales declaration (csd) form. The csd form is a document that is required to be completed each year. This document is a sales declaration and. This article also explains how to. *all sales declarations must be declared in policy currency. This document is a sales declaration and evaluation form used. Sales Declaration Form.
From www.scribd.com
Sales Declaration Form 2018 PDF Sales Declaration Form The csd form is a document that is required to be completed each year. This document is a sales declaration and evaluation form used by businesses in quezon city, philippines to declare their sales and submit required. This document is a sales declaration and. This article also explains how to. What is a certified sales declaration (csd) form. It requires. Sales Declaration Form.
From www.sampleforms.com
FREE 12+ Business Declaration Form Samples, PDF, MS Word, Google Docs Sales Declaration Form What is a certified sales declaration (csd) form. This document is a sales declaration and evaluation form used by businesses in quezon city, philippines to declare their sales and submit required. This article also explains how to. It requires the business owner to. This document is a gross receipts/sales declaration form for businesses in quezon city, philippines. *all sales declarations. Sales Declaration Form.
From www.youtube.com
form buyers declaration for refund of retail sales tax YouTube Sales Declaration Form It requires the business owner to. What is a certified sales declaration (csd) form. The csd form is a document that is required to be completed each year. This document is a gross receipts/sales declaration form for businesses in quezon city, philippines. *all sales declarations must be declared in policy currency. This document is a sales declaration and. This article. Sales Declaration Form.
From ar.inspiredpencil.com
Company Vehicle Use Agreement Template Sales Declaration Form The csd form is a document that is required to be completed each year. This document is a sales declaration and. What is a certified sales declaration (csd) form. This document is a sales declaration and evaluation form used by businesses in quezon city, philippines to declare their sales and submit required. This document is a gross receipts/sales declaration form. Sales Declaration Form.
From www.signnow.com
Statutory Declaration Form Usa Fill it online airSlate SignNow Sales Declaration Form It requires the business owner to. This document is a sales declaration and evaluation form used by businesses in quezon city, philippines to declare their sales and submit required. This document is a sales declaration and. *all sales declarations must be declared in policy currency. What is a certified sales declaration (csd) form. This document is a gross receipts/sales declaration. Sales Declaration Form.