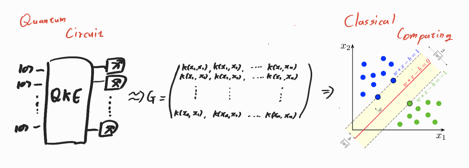
Quantum Kernel Estimation . The other method, a quantum kernel estimator, estimates the kernel function on the quantum computer and optimizes a classical svm. Quantum kernel estimation refers to the process of computing the kernel function using quantum computers, which can leverage quantum. Quantum kernel estimation (qke) is a technique based on leveraging a quantum computer to estimate a kernel function that is classically. The main idea behind quantum kernel machine learning is to leverage quantum feature maps to perform the kernel trick. The two methods provide tools for exploring the. We show that, under certain conditions,. In this work we study the performance of quantum kernel models from the perspective of the resources needed to accurately estimate kernel values. The inner product between quantum feature vectors give rise to a trainable quantum kernel, which is subject to optimization through. Abstract—quantum kernel estimation (qke) is a technique based on leveraging a quantum computer to estimate a kernel function that is classically. In this case, the quantum kernel is created by mapping a classical feature.
from www.researchgate.net
In this work we study the performance of quantum kernel models from the perspective of the resources needed to accurately estimate kernel values. The two methods provide tools for exploring the. Abstract—quantum kernel estimation (qke) is a technique based on leveraging a quantum computer to estimate a kernel function that is classically. Quantum kernel estimation (qke) is a technique based on leveraging a quantum computer to estimate a kernel function that is classically. The inner product between quantum feature vectors give rise to a trainable quantum kernel, which is subject to optimization through. The main idea behind quantum kernel machine learning is to leverage quantum feature maps to perform the kernel trick. In this case, the quantum kernel is created by mapping a classical feature. Quantum kernel estimation refers to the process of computing the kernel function using quantum computers, which can leverage quantum. We show that, under certain conditions,. The other method, a quantum kernel estimator, estimates the kernel function on the quantum computer and optimizes a classical svm.
Schematic diagram depicting quantum circuit for Kernel estimation
Quantum Kernel Estimation The inner product between quantum feature vectors give rise to a trainable quantum kernel, which is subject to optimization through. In this case, the quantum kernel is created by mapping a classical feature. In this work we study the performance of quantum kernel models from the perspective of the resources needed to accurately estimate kernel values. Quantum kernel estimation (qke) is a technique based on leveraging a quantum computer to estimate a kernel function that is classically. We show that, under certain conditions,. The other method, a quantum kernel estimator, estimates the kernel function on the quantum computer and optimizes a classical svm. Abstract—quantum kernel estimation (qke) is a technique based on leveraging a quantum computer to estimate a kernel function that is classically. Quantum kernel estimation refers to the process of computing the kernel function using quantum computers, which can leverage quantum. The two methods provide tools for exploring the. The inner product between quantum feature vectors give rise to a trainable quantum kernel, which is subject to optimization through. The main idea behind quantum kernel machine learning is to leverage quantum feature maps to perform the kernel trick.
From quantum-journal.org
The complexity of quantum support vector machines Quantum Quantum Kernel Estimation In this case, the quantum kernel is created by mapping a classical feature. The main idea behind quantum kernel machine learning is to leverage quantum feature maps to perform the kernel trick. We show that, under certain conditions,. The two methods provide tools for exploring the. Quantum kernel estimation refers to the process of computing the kernel function using quantum. Quantum Kernel Estimation.
From deepai.org
Quantum Kernel Estimation With Neutral Atoms For Supervised Quantum Kernel Estimation Quantum kernel estimation (qke) is a technique based on leveraging a quantum computer to estimate a kernel function that is classically. Quantum kernel estimation refers to the process of computing the kernel function using quantum computers, which can leverage quantum. The inner product between quantum feature vectors give rise to a trainable quantum kernel, which is subject to optimization through.. Quantum Kernel Estimation.
From www.semanticscholar.org
Figure 2 from A linear photonic swap test circuit for quantum kernel Quantum Kernel Estimation The inner product between quantum feature vectors give rise to a trainable quantum kernel, which is subject to optimization through. Quantum kernel estimation (qke) is a technique based on leveraging a quantum computer to estimate a kernel function that is classically. The two methods provide tools for exploring the. In this work we study the performance of quantum kernel models. Quantum Kernel Estimation.
From www.researchgate.net
(PDF) Performance of quantum kernel on initial learning process Quantum Kernel Estimation Quantum kernel estimation (qke) is a technique based on leveraging a quantum computer to estimate a kernel function that is classically. Abstract—quantum kernel estimation (qke) is a technique based on leveraging a quantum computer to estimate a kernel function that is classically. In this case, the quantum kernel is created by mapping a classical feature. We show that, under certain. Quantum Kernel Estimation.
From www.researchgate.net
Schematic diagram depicting quantum circuit for Kernel estimation Quantum Kernel Estimation Quantum kernel estimation refers to the process of computing the kernel function using quantum computers, which can leverage quantum. Quantum kernel estimation (qke) is a technique based on leveraging a quantum computer to estimate a kernel function that is classically. In this case, the quantum kernel is created by mapping a classical feature. The inner product between quantum feature vectors. Quantum Kernel Estimation.
From www.abaqus.dev
Quantum Artificial Intelligence AbaQus Quantum Kernel Estimation The two methods provide tools for exploring the. Abstract—quantum kernel estimation (qke) is a technique based on leveraging a quantum computer to estimate a kernel function that is classically. We show that, under certain conditions,. The other method, a quantum kernel estimator, estimates the kernel function on the quantum computer and optimizes a classical svm. Quantum kernel estimation refers to. Quantum Kernel Estimation.
From www.researchgate.net
Quantum circuit diagram used to estimate the kernel and determine the Quantum Kernel Estimation The inner product between quantum feature vectors give rise to a trainable quantum kernel, which is subject to optimization through. We show that, under certain conditions,. The other method, a quantum kernel estimator, estimates the kernel function on the quantum computer and optimizes a classical svm. The two methods provide tools for exploring the. Quantum kernel estimation refers to the. Quantum Kernel Estimation.
From www.semanticscholar.org
Figure 3 from A linear photonic swap test circuit for quantum kernel Quantum Kernel Estimation The two methods provide tools for exploring the. The inner product between quantum feature vectors give rise to a trainable quantum kernel, which is subject to optimization through. Quantum kernel estimation (qke) is a technique based on leveraging a quantum computer to estimate a kernel function that is classically. Abstract—quantum kernel estimation (qke) is a technique based on leveraging a. Quantum Kernel Estimation.
From www.semanticscholar.org
Figure 3 from Estimation of mutual information via quantum kernel Quantum Kernel Estimation In this case, the quantum kernel is created by mapping a classical feature. Quantum kernel estimation (qke) is a technique based on leveraging a quantum computer to estimate a kernel function that is classically. The two methods provide tools for exploring the. The main idea behind quantum kernel machine learning is to leverage quantum feature maps to perform the kernel. Quantum Kernel Estimation.
From www.semanticscholar.org
Figure 7 from A linear photonic swap test circuit for quantum kernel Quantum Kernel Estimation The two methods provide tools for exploring the. In this case, the quantum kernel is created by mapping a classical feature. In this work we study the performance of quantum kernel models from the perspective of the resources needed to accurately estimate kernel values. The inner product between quantum feature vectors give rise to a trainable quantum kernel, which is. Quantum Kernel Estimation.
From www.semanticscholar.org
Figure 2 from Achieving Reinforcement Learning Speedup via Quantum Quantum Kernel Estimation In this work we study the performance of quantum kernel models from the perspective of the resources needed to accurately estimate kernel values. Quantum kernel estimation (qke) is a technique based on leveraging a quantum computer to estimate a kernel function that is classically. The two methods provide tools for exploring the. Abstract—quantum kernel estimation (qke) is a technique based. Quantum Kernel Estimation.
From www.researchgate.net
(a) Data points and prediction boundaries from the full quantum kernel Quantum Kernel Estimation Quantum kernel estimation refers to the process of computing the kernel function using quantum computers, which can leverage quantum. The main idea behind quantum kernel machine learning is to leverage quantum feature maps to perform the kernel trick. The inner product between quantum feature vectors give rise to a trainable quantum kernel, which is subject to optimization through. Quantum kernel. Quantum Kernel Estimation.
From www.semanticscholar.org
Figure 3 from Achieving Reinforcement Learning Speedup via Quantum Quantum Kernel Estimation In this case, the quantum kernel is created by mapping a classical feature. We show that, under certain conditions,. The main idea behind quantum kernel machine learning is to leverage quantum feature maps to perform the kernel trick. The inner product between quantum feature vectors give rise to a trainable quantum kernel, which is subject to optimization through. Quantum kernel. Quantum Kernel Estimation.
From www.researchgate.net
Twodimensional quantum density estimation with pennylane simulator Quantum Kernel Estimation The two methods provide tools for exploring the. The main idea behind quantum kernel machine learning is to leverage quantum feature maps to perform the kernel trick. The other method, a quantum kernel estimator, estimates the kernel function on the quantum computer and optimizes a classical svm. Quantum kernel estimation (qke) is a technique based on leveraging a quantum computer. Quantum Kernel Estimation.
From medium.com
Quantum Kernel Machine Learning — Introduction by Joshua John Quantum Kernel Estimation We show that, under certain conditions,. Quantum kernel estimation refers to the process of computing the kernel function using quantum computers, which can leverage quantum. In this case, the quantum kernel is created by mapping a classical feature. The inner product between quantum feature vectors give rise to a trainable quantum kernel, which is subject to optimization through. The two. Quantum Kernel Estimation.
From github.com
Quantum Kernel Estimation With Neutral Atoms For Supervised Quantum Kernel Estimation Quantum kernel estimation (qke) is a technique based on leveraging a quantum computer to estimate a kernel function that is classically. In this work we study the performance of quantum kernel models from the perspective of the resources needed to accurately estimate kernel values. The main idea behind quantum kernel machine learning is to leverage quantum feature maps to perform. Quantum Kernel Estimation.
From www.researchgate.net
Effect of expressibility on quantum kernels We plot variances of the Quantum Kernel Estimation Abstract—quantum kernel estimation (qke) is a technique based on leveraging a quantum computer to estimate a kernel function that is classically. The other method, a quantum kernel estimator, estimates the kernel function on the quantum computer and optimizes a classical svm. The inner product between quantum feature vectors give rise to a trainable quantum kernel, which is subject to optimization. Quantum Kernel Estimation.
From www.semanticscholar.org
Figure 10 from Estimation of mutual information via quantum kernel Quantum Kernel Estimation The other method, a quantum kernel estimator, estimates the kernel function on the quantum computer and optimizes a classical svm. In this work we study the performance of quantum kernel models from the perspective of the resources needed to accurately estimate kernel values. In this case, the quantum kernel is created by mapping a classical feature. We show that, under. Quantum Kernel Estimation.
From www.semanticscholar.org
Figure 6 from A linear photonic swap test circuit for quantum kernel Quantum Kernel Estimation Quantum kernel estimation refers to the process of computing the kernel function using quantum computers, which can leverage quantum. The other method, a quantum kernel estimator, estimates the kernel function on the quantum computer and optimizes a classical svm. Quantum kernel estimation (qke) is a technique based on leveraging a quantum computer to estimate a kernel function that is classically.. Quantum Kernel Estimation.
From quantum-journal.org
Pulseefficient quantum machine learning Quantum Quantum Kernel Estimation Quantum kernel estimation (qke) is a technique based on leveraging a quantum computer to estimate a kernel function that is classically. The other method, a quantum kernel estimator, estimates the kernel function on the quantum computer and optimizes a classical svm. In this work we study the performance of quantum kernel models from the perspective of the resources needed to. Quantum Kernel Estimation.
From www.researchgate.net
(PDF) Quantum Kernel Mixtures for Probabilistic Deep Learning Quantum Kernel Estimation In this case, the quantum kernel is created by mapping a classical feature. Abstract—quantum kernel estimation (qke) is a technique based on leveraging a quantum computer to estimate a kernel function that is classically. The inner product between quantum feature vectors give rise to a trainable quantum kernel, which is subject to optimization through. The other method, a quantum kernel. Quantum Kernel Estimation.
From www.semanticscholar.org
Figure 1 from A linear photonic swap test circuit for quantum kernel Quantum Kernel Estimation The main idea behind quantum kernel machine learning is to leverage quantum feature maps to perform the kernel trick. The other method, a quantum kernel estimator, estimates the kernel function on the quantum computer and optimizes a classical svm. Abstract—quantum kernel estimation (qke) is a technique based on leveraging a quantum computer to estimate a kernel function that is classically.. Quantum Kernel Estimation.
From www.researchgate.net
Quantum kernel functions a, Feature map representation for a single Quantum Kernel Estimation In this work we study the performance of quantum kernel models from the perspective of the resources needed to accurately estimate kernel values. In this case, the quantum kernel is created by mapping a classical feature. The other method, a quantum kernel estimator, estimates the kernel function on the quantum computer and optimizes a classical svm. Abstract—quantum kernel estimation (qke). Quantum Kernel Estimation.
From www.researchgate.net
Complex multiply‐and‐accumulate (CMAC)‐based model for quantum Quantum Kernel Estimation We show that, under certain conditions,. In this work we study the performance of quantum kernel models from the perspective of the resources needed to accurately estimate kernel values. The inner product between quantum feature vectors give rise to a trainable quantum kernel, which is subject to optimization through. The two methods provide tools for exploring the. Quantum kernel estimation. Quantum Kernel Estimation.
From www.researchgate.net
Quantum kernel estimationbased quantum support vector regression Quantum Kernel Estimation In this case, the quantum kernel is created by mapping a classical feature. The main idea behind quantum kernel machine learning is to leverage quantum feature maps to perform the kernel trick. In this work we study the performance of quantum kernel models from the perspective of the resources needed to accurately estimate kernel values. The two methods provide tools. Quantum Kernel Estimation.
From www.researchgate.net
Quantum kernel functions a, Feature map representation for a single Quantum Kernel Estimation In this case, the quantum kernel is created by mapping a classical feature. In this work we study the performance of quantum kernel models from the perspective of the resources needed to accurately estimate kernel values. Quantum kernel estimation refers to the process of computing the kernel function using quantum computers, which can leverage quantum. Abstract—quantum kernel estimation (qke) is. Quantum Kernel Estimation.
From quantum-journal.org
Towards understanding the power of quantum kernels in the NISQ era Quantum Kernel Estimation We show that, under certain conditions,. The main idea behind quantum kernel machine learning is to leverage quantum feature maps to perform the kernel trick. In this case, the quantum kernel is created by mapping a classical feature. The other method, a quantum kernel estimator, estimates the kernel function on the quantum computer and optimizes a classical svm. Quantum kernel. Quantum Kernel Estimation.
From hgmin1159.github.io
[Quantum Data Science] Part 4. Quantum Kernel Space Statistics and Quantum Kernel Estimation Quantum kernel estimation (qke) is a technique based on leveraging a quantum computer to estimate a kernel function that is classically. The main idea behind quantum kernel machine learning is to leverage quantum feature maps to perform the kernel trick. The other method, a quantum kernel estimator, estimates the kernel function on the quantum computer and optimizes a classical svm.. Quantum Kernel Estimation.
From www.researchgate.net
represents a flowchart of the quantum kernel SVM (qkSVM) algorithm Quantum Kernel Estimation The two methods provide tools for exploring the. The other method, a quantum kernel estimator, estimates the kernel function on the quantum computer and optimizes a classical svm. Abstract—quantum kernel estimation (qke) is a technique based on leveraging a quantum computer to estimate a kernel function that is classically. Quantum kernel estimation refers to the process of computing the kernel. Quantum Kernel Estimation.
From hgmin1159.github.io
[Quantum Data Science] Part 4. Quantum Kernel Space Statistics and Quantum Kernel Estimation The main idea behind quantum kernel machine learning is to leverage quantum feature maps to perform the kernel trick. The inner product between quantum feature vectors give rise to a trainable quantum kernel, which is subject to optimization through. Abstract—quantum kernel estimation (qke) is a technique based on leveraging a quantum computer to estimate a kernel function that is classically.. Quantum Kernel Estimation.
From www.cybersecurity.blog.aisec.fraunhofer.de
Anomaly Detection with Quantum Machine Learning Identifying Quantum Kernel Estimation The main idea behind quantum kernel machine learning is to leverage quantum feature maps to perform the kernel trick. The two methods provide tools for exploring the. We show that, under certain conditions,. In this work we study the performance of quantum kernel models from the perspective of the resources needed to accurately estimate kernel values. The inner product between. Quantum Kernel Estimation.
From deepai.org
Quantum Multiple Kernel Learning DeepAI Quantum Kernel Estimation Quantum kernel estimation refers to the process of computing the kernel function using quantum computers, which can leverage quantum. Abstract—quantum kernel estimation (qke) is a technique based on leveraging a quantum computer to estimate a kernel function that is classically. In this case, the quantum kernel is created by mapping a classical feature. The other method, a quantum kernel estimator,. Quantum Kernel Estimation.
From www.researchgate.net
Completing quantum kernel matrices with a band sparsity pattern using Quantum Kernel Estimation The inner product between quantum feature vectors give rise to a trainable quantum kernel, which is subject to optimization through. Abstract—quantum kernel estimation (qke) is a technique based on leveraging a quantum computer to estimate a kernel function that is classically. The main idea behind quantum kernel machine learning is to leverage quantum feature maps to perform the kernel trick.. Quantum Kernel Estimation.
From quantum-journal.org
Quantum Phase Recognition via Quantum Kernel Methods Quantum Quantum Kernel Estimation The main idea behind quantum kernel machine learning is to leverage quantum feature maps to perform the kernel trick. The other method, a quantum kernel estimator, estimates the kernel function on the quantum computer and optimizes a classical svm. The two methods provide tools for exploring the. Quantum kernel estimation (qke) is a technique based on leveraging a quantum computer. Quantum Kernel Estimation.
From www.semanticscholar.org
Figure 5 from A linear photonic swap test circuit for quantum kernel Quantum Kernel Estimation The other method, a quantum kernel estimator, estimates the kernel function on the quantum computer and optimizes a classical svm. The two methods provide tools for exploring the. The main idea behind quantum kernel machine learning is to leverage quantum feature maps to perform the kernel trick. In this work we study the performance of quantum kernel models from the. Quantum Kernel Estimation.