Health And Safety Coordinator Noc Code . This work description is applicable to all human resources. Make sure the main duties listed. Occupational health and safety specialists review, evaluate and monitor health and safety hazards. The following information is applicable to all. Inspect workplaces to ensure that equipment, materials and production processes do not present a safety or health hazard to employees or to the. Find out what work is like for an occupational health and safety coordinator in canada. Occupational health and safety specialists review, evaluate and monitor health. The french system for the prevention of occupational risks comprises: The ministry of labour, which draws up and implements french. Go to the noc website, choose version noc 2021 version 1.0, and search for your noc using the title or numeric code. Public and environmental health and safety professionals review, evaluate and monitor public health and environmental safety hazards and. Find key facts and figures about working as an occupational health and safety coordinator.
from www.tc-ww.com
The ministry of labour, which draws up and implements french. Inspect workplaces to ensure that equipment, materials and production processes do not present a safety or health hazard to employees or to the. Public and environmental health and safety professionals review, evaluate and monitor public health and environmental safety hazards and. The following information is applicable to all. Find out what work is like for an occupational health and safety coordinator in canada. The french system for the prevention of occupational risks comprises: Occupational health and safety specialists review, evaluate and monitor health. Occupational health and safety specialists review, evaluate and monitor health and safety hazards. This work description is applicable to all human resources. Make sure the main duties listed.
NOC Codes National Occupational Classification
Health And Safety Coordinator Noc Code Go to the noc website, choose version noc 2021 version 1.0, and search for your noc using the title or numeric code. Find out what work is like for an occupational health and safety coordinator in canada. The ministry of labour, which draws up and implements french. Find key facts and figures about working as an occupational health and safety coordinator. Occupational health and safety specialists review, evaluate and monitor health. Inspect workplaces to ensure that equipment, materials and production processes do not present a safety or health hazard to employees or to the. Occupational health and safety specialists review, evaluate and monitor health and safety hazards. This work description is applicable to all human resources. The following information is applicable to all. Public and environmental health and safety professionals review, evaluate and monitor public health and environmental safety hazards and. Make sure the main duties listed. Go to the noc website, choose version noc 2021 version 1.0, and search for your noc using the title or numeric code. The french system for the prevention of occupational risks comprises:
From dfimmigration.ca
UPDATE Transition to National Occupational Classification (NOC) 2021 Health And Safety Coordinator Noc Code Inspect workplaces to ensure that equipment, materials and production processes do not present a safety or health hazard to employees or to the. Find out what work is like for an occupational health and safety coordinator in canada. Occupational health and safety specialists review, evaluate and monitor health. The ministry of labour, which draws up and implements french. The french. Health And Safety Coordinator Noc Code.
From www.tc-ww.com
NOC Codes National Occupational Classification Health And Safety Coordinator Noc Code Occupational health and safety specialists review, evaluate and monitor health and safety hazards. Make sure the main duties listed. The french system for the prevention of occupational risks comprises: Public and environmental health and safety professionals review, evaluate and monitor public health and environmental safety hazards and. Find out what work is like for an occupational health and safety coordinator. Health And Safety Coordinator Noc Code.
From arnikavisa.com
TEER noc codes 2021,Steps To Find the right code in 2024 Health And Safety Coordinator Noc Code Make sure the main duties listed. Inspect workplaces to ensure that equipment, materials and production processes do not present a safety or health hazard to employees or to the. Find out what work is like for an occupational health and safety coordinator in canada. The ministry of labour, which draws up and implements french. Public and environmental health and safety. Health And Safety Coordinator Noc Code.
From www.infoplacecanada.ca
6 Steps To Choosing the Right NOC Code For Your PR Application. Health And Safety Coordinator Noc Code Go to the noc website, choose version noc 2021 version 1.0, and search for your noc using the title or numeric code. Occupational health and safety specialists review, evaluate and monitor health and safety hazards. Find key facts and figures about working as an occupational health and safety coordinator. The ministry of labour, which draws up and implements french. Public. Health And Safety Coordinator Noc Code.
From www.tc-ww.com
Find your NOC Code Jobs in Canada & Canada Immigration Health And Safety Coordinator Noc Code The ministry of labour, which draws up and implements french. Find out what work is like for an occupational health and safety coordinator in canada. Occupational health and safety specialists review, evaluate and monitor health. Public and environmental health and safety professionals review, evaluate and monitor public health and environmental safety hazards and. Occupational health and safety specialists review, evaluate. Health And Safety Coordinator Noc Code.
From www.settler.ca
National Occupational Classification (NOC) and Immigration or Work Health And Safety Coordinator Noc Code This work description is applicable to all human resources. Occupational health and safety specialists review, evaluate and monitor health and safety hazards. Make sure the main duties listed. Occupational health and safety specialists review, evaluate and monitor health. Go to the noc website, choose version noc 2021 version 1.0, and search for your noc using the title or numeric code.. Health And Safety Coordinator Noc Code.
From www.tc-ww.com
NOC Codes National Occupational Classification Health And Safety Coordinator Noc Code This work description is applicable to all human resources. The french system for the prevention of occupational risks comprises: Go to the noc website, choose version noc 2021 version 1.0, and search for your noc using the title or numeric code. The ministry of labour, which draws up and implements french. Find out what work is like for an occupational. Health And Safety Coordinator Noc Code.
From www.scribd.com
NOC Code PDF Medicine Health Professional Health And Safety Coordinator Noc Code The french system for the prevention of occupational risks comprises: Make sure the main duties listed. Occupational health and safety specialists review, evaluate and monitor health. Occupational health and safety specialists review, evaluate and monitor health and safety hazards. Inspect workplaces to ensure that equipment, materials and production processes do not present a safety or health hazard to employees or. Health And Safety Coordinator Noc Code.
From www.youtube.com
How To Find RIGHT NOC CODE for Canada Express Entry & PNP? YouTube Health And Safety Coordinator Noc Code Find out what work is like for an occupational health and safety coordinator in canada. The following information is applicable to all. Go to the noc website, choose version noc 2021 version 1.0, and search for your noc using the title or numeric code. Inspect workplaces to ensure that equipment, materials and production processes do not present a safety or. Health And Safety Coordinator Noc Code.
From arnikavisa.com
TEER noc codes 2021,Steps To Find the right code in 2024 Health And Safety Coordinator Noc Code Find key facts and figures about working as an occupational health and safety coordinator. This work description is applicable to all human resources. Occupational health and safety specialists review, evaluate and monitor health and safety hazards. The following information is applicable to all. Public and environmental health and safety professionals review, evaluate and monitor public health and environmental safety hazards. Health And Safety Coordinator Noc Code.
From www.tc-ww.com
NOC Codes National Occupational Classification Health And Safety Coordinator Noc Code Go to the noc website, choose version noc 2021 version 1.0, and search for your noc using the title or numeric code. This work description is applicable to all human resources. Occupational health and safety specialists review, evaluate and monitor health and safety hazards. The following information is applicable to all. Public and environmental health and safety professionals review, evaluate. Health And Safety Coordinator Noc Code.
From immigrationnewscanada.ca
New NOC Codes StepWise Guide To Find Your NOC Health And Safety Coordinator Noc Code The ministry of labour, which draws up and implements french. Occupational health and safety specialists review, evaluate and monitor health. Find out what work is like for an occupational health and safety coordinator in canada. Go to the noc website, choose version noc 2021 version 1.0, and search for your noc using the title or numeric code. Find key facts. Health And Safety Coordinator Noc Code.
From www.tc-ww.com
NOC Codes National Occupational Classification Health And Safety Coordinator Noc Code The following information is applicable to all. Make sure the main duties listed. This work description is applicable to all human resources. The ministry of labour, which draws up and implements french. The french system for the prevention of occupational risks comprises: Occupational health and safety specialists review, evaluate and monitor health. Public and environmental health and safety professionals review,. Health And Safety Coordinator Noc Code.
From wildmountainimmigration.com
How to find your NOC code Wild Mountain Immigration Health And Safety Coordinator Noc Code Occupational health and safety specialists review, evaluate and monitor health. This work description is applicable to all human resources. The french system for the prevention of occupational risks comprises: The ministry of labour, which draws up and implements french. Inspect workplaces to ensure that equipment, materials and production processes do not present a safety or health hazard to employees or. Health And Safety Coordinator Noc Code.
From www.youtube.com
NOC Codes are Changing in Express Entry 2022 Updates Important Canada Health And Safety Coordinator Noc Code Occupational health and safety specialists review, evaluate and monitor health. The ministry of labour, which draws up and implements french. Inspect workplaces to ensure that equipment, materials and production processes do not present a safety or health hazard to employees or to the. This work description is applicable to all human resources. Make sure the main duties listed. Find out. Health And Safety Coordinator Noc Code.
From arnikavisa.com
TEER noc codes 2021,Steps To Find the right code in 2024 Health And Safety Coordinator Noc Code Find out what work is like for an occupational health and safety coordinator in canada. Inspect workplaces to ensure that equipment, materials and production processes do not present a safety or health hazard to employees or to the. Make sure the main duties listed. Find key facts and figures about working as an occupational health and safety coordinator. This work. Health And Safety Coordinator Noc Code.
From www.youtube.com
Work Permit figures since 2016 for NOC Code 14100 for 15 past years for Health And Safety Coordinator Noc Code Find out what work is like for an occupational health and safety coordinator in canada. Occupational health and safety specialists review, evaluate and monitor health and safety hazards. The french system for the prevention of occupational risks comprises: This work description is applicable to all human resources. The following information is applicable to all. Find key facts and figures about. Health And Safety Coordinator Noc Code.
From chugoimmigration.com
NOC codes for nurses Chugo Immigrations Services Health And Safety Coordinator Noc Code The french system for the prevention of occupational risks comprises: Go to the noc website, choose version noc 2021 version 1.0, and search for your noc using the title or numeric code. Find out what work is like for an occupational health and safety coordinator in canada. This work description is applicable to all human resources. Make sure the main. Health And Safety Coordinator Noc Code.
From www.works4world.com
How to choose a NOC code for the job works4world Health And Safety Coordinator Noc Code The following information is applicable to all. This work description is applicable to all human resources. Occupational health and safety specialists review, evaluate and monitor health. The french system for the prevention of occupational risks comprises: Occupational health and safety specialists review, evaluate and monitor health and safety hazards. Go to the noc website, choose version noc 2021 version 1.0,. Health And Safety Coordinator Noc Code.
From immigrationnewscanada.ca
New NOC Codes StepWise Guide To Find Your NOC Health And Safety Coordinator Noc Code Go to the noc website, choose version noc 2021 version 1.0, and search for your noc using the title or numeric code. The following information is applicable to all. Find out what work is like for an occupational health and safety coordinator in canada. Find key facts and figures about working as an occupational health and safety coordinator. The ministry. Health And Safety Coordinator Noc Code.
From www.nationwidevisas.com
What Is an NOC Code? and How to Pick the Right Express Entry NOC Code Health And Safety Coordinator Noc Code Occupational health and safety specialists review, evaluate and monitor health. Make sure the main duties listed. Find out what work is like for an occupational health and safety coordinator in canada. Public and environmental health and safety professionals review, evaluate and monitor public health and environmental safety hazards and. Inspect workplaces to ensure that equipment, materials and production processes do. Health And Safety Coordinator Noc Code.
From immigrationnewscanada.ca
New NOC Codes StepWise Guide To Find Your NOC Health And Safety Coordinator Noc Code Inspect workplaces to ensure that equipment, materials and production processes do not present a safety or health hazard to employees or to the. The ministry of labour, which draws up and implements french. Occupational health and safety specialists review, evaluate and monitor health. Find key facts and figures about working as an occupational health and safety coordinator. This work description. Health And Safety Coordinator Noc Code.
From arnikavisa.com
TEER noc codes 2021,Steps To Find the right code in 2024 Health And Safety Coordinator Noc Code Find key facts and figures about working as an occupational health and safety coordinator. Make sure the main duties listed. Inspect workplaces to ensure that equipment, materials and production processes do not present a safety or health hazard to employees or to the. Public and environmental health and safety professionals review, evaluate and monitor public health and environmental safety hazards. Health And Safety Coordinator Noc Code.
From www.tripleibusiness.com
What are NOC code 2021 and TEER categories? Health And Safety Coordinator Noc Code Find out what work is like for an occupational health and safety coordinator in canada. The french system for the prevention of occupational risks comprises: This work description is applicable to all human resources. Inspect workplaces to ensure that equipment, materials and production processes do not present a safety or health hazard to employees or to the. Occupational health and. Health And Safety Coordinator Noc Code.
From arnikavisa.com
TEER noc codes 2021,Steps To Find the right code in 2024 Health And Safety Coordinator Noc Code Public and environmental health and safety professionals review, evaluate and monitor public health and environmental safety hazards and. The french system for the prevention of occupational risks comprises: This work description is applicable to all human resources. Find key facts and figures about working as an occupational health and safety coordinator. Inspect workplaces to ensure that equipment, materials and production. Health And Safety Coordinator Noc Code.
From www.youtube.com
Find the Right NOC Code for Canada PR Guide to Select NOC Code via Health And Safety Coordinator Noc Code Inspect workplaces to ensure that equipment, materials and production processes do not present a safety or health hazard to employees or to the. The following information is applicable to all. Go to the noc website, choose version noc 2021 version 1.0, and search for your noc using the title or numeric code. The ministry of labour, which draws up and. Health And Safety Coordinator Noc Code.
From www.youtube.com
How to Find NOC Code for Canada Easy way to Check your NOC Code Health And Safety Coordinator Noc Code Occupational health and safety specialists review, evaluate and monitor health and safety hazards. Make sure the main duties listed. Find key facts and figures about working as an occupational health and safety coordinator. The french system for the prevention of occupational risks comprises: The ministry of labour, which draws up and implements french. Occupational health and safety specialists review, evaluate. Health And Safety Coordinator Noc Code.
From www.tc-ww.com
Find your NOC Code Jobs in Canada & Canada Immigration Health And Safety Coordinator Noc Code Inspect workplaces to ensure that equipment, materials and production processes do not present a safety or health hazard to employees or to the. Find key facts and figures about working as an occupational health and safety coordinator. The french system for the prevention of occupational risks comprises: Occupational health and safety specialists review, evaluate and monitor health. Occupational health and. Health And Safety Coordinator Noc Code.
From memovingtocanada.blogspot.com
Me Moving To Canada How to Know Your NOC Code and Filling up the Work Health And Safety Coordinator Noc Code Find out what work is like for an occupational health and safety coordinator in canada. This work description is applicable to all human resources. Find key facts and figures about working as an occupational health and safety coordinator. The french system for the prevention of occupational risks comprises: The ministry of labour, which draws up and implements french. Occupational health. Health And Safety Coordinator Noc Code.
From www.youtube.com
Finding Your NOC Code YouTube Health And Safety Coordinator Noc Code Find key facts and figures about working as an occupational health and safety coordinator. Inspect workplaces to ensure that equipment, materials and production processes do not present a safety or health hazard to employees or to the. Go to the noc website, choose version noc 2021 version 1.0, and search for your noc using the title or numeric code. This. Health And Safety Coordinator Noc Code.
From plus1news.ca
How To Find Your NOC Code For Express Entry +1 News Health And Safety Coordinator Noc Code Public and environmental health and safety professionals review, evaluate and monitor public health and environmental safety hazards and. This work description is applicable to all human resources. The french system for the prevention of occupational risks comprises: Find key facts and figures about working as an occupational health and safety coordinator. Find out what work is like for an occupational. Health And Safety Coordinator Noc Code.
From www.tc-ww.com
Find your NOC Code Jobs in Canada & Canada Immigration Health And Safety Coordinator Noc Code Occupational health and safety specialists review, evaluate and monitor health. The following information is applicable to all. Make sure the main duties listed. Find key facts and figures about working as an occupational health and safety coordinator. Public and environmental health and safety professionals review, evaluate and monitor public health and environmental safety hazards and. Go to the noc website,. Health And Safety Coordinator Noc Code.
From www.youtube.com
Find Your NOC Code CANADA Express Entry Program Eligibility What is Health And Safety Coordinator Noc Code Make sure the main duties listed. The french system for the prevention of occupational risks comprises: The following information is applicable to all. Inspect workplaces to ensure that equipment, materials and production processes do not present a safety or health hazard to employees or to the. Public and environmental health and safety professionals review, evaluate and monitor public health and. Health And Safety Coordinator Noc Code.
From www.scribd.com
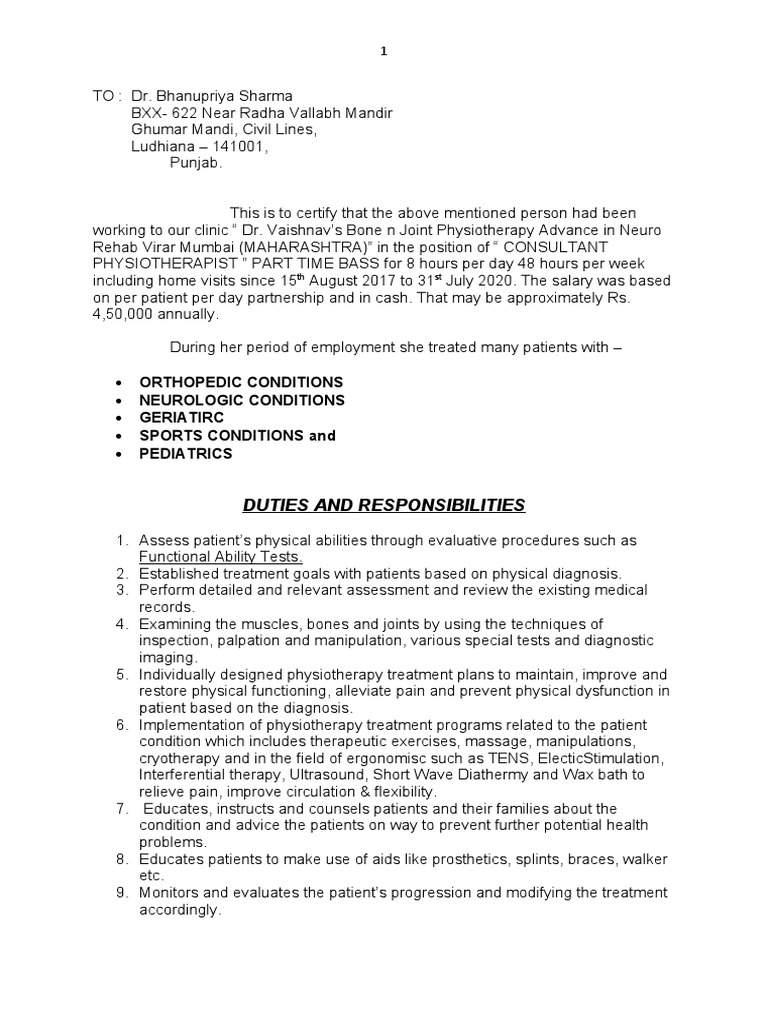
Experiance Letter According To NOC Code PDF Physical Therapy Health And Safety Coordinator Noc Code The french system for the prevention of occupational risks comprises: Inspect workplaces to ensure that equipment, materials and production processes do not present a safety or health hazard to employees or to the. Make sure the main duties listed. Find out what work is like for an occupational health and safety coordinator in canada. Occupational health and safety specialists review,. Health And Safety Coordinator Noc Code.
From www.tc-ww.com
NOC Codes National Occupational Classification Health And Safety Coordinator Noc Code The ministry of labour, which draws up and implements french. Make sure the main duties listed. The following information is applicable to all. Find out what work is like for an occupational health and safety coordinator in canada. Occupational health and safety specialists review, evaluate and monitor health. This work description is applicable to all human resources. Find key facts. Health And Safety Coordinator Noc Code.