Volumetric Flow Rate And Pipe Diameter . enter either the pipe diameter and velocity or the volume of fluid passing in a given time to calculate the volumetric flow rate. when we talk about flow rate, you most likely picture the concept of volumetric flow rate (also known as rate of liquid flow, volume flow rate or. servicetitan’s water flow rate calculator makes determining volumetric flow rate quick and easy. this tool will calculate the volumetric flow rate in any units from the specified velocity of a substance flowing through a round duct or pipe of a chosen. pipe diameter calculation for known flow rate and velocity, in closed round pipe, applicable for liquids and gases The basic flow rate equation:. this tool will calculate the flow velocity in any units from the specified volumetric flow rate of a substance flowing through a round duct or pipe of a.
from www.instpedia.com
enter either the pipe diameter and velocity or the volume of fluid passing in a given time to calculate the volumetric flow rate. servicetitan’s water flow rate calculator makes determining volumetric flow rate quick and easy. when we talk about flow rate, you most likely picture the concept of volumetric flow rate (also known as rate of liquid flow, volume flow rate or. this tool will calculate the volumetric flow rate in any units from the specified velocity of a substance flowing through a round duct or pipe of a chosen. pipe diameter calculation for known flow rate and velocity, in closed round pipe, applicable for liquids and gases The basic flow rate equation:. this tool will calculate the flow velocity in any units from the specified volumetric flow rate of a substance flowing through a round duct or pipe of a.
Flow
Volumetric Flow Rate And Pipe Diameter this tool will calculate the flow velocity in any units from the specified volumetric flow rate of a substance flowing through a round duct or pipe of a. The basic flow rate equation:. this tool will calculate the flow velocity in any units from the specified volumetric flow rate of a substance flowing through a round duct or pipe of a. servicetitan’s water flow rate calculator makes determining volumetric flow rate quick and easy. enter either the pipe diameter and velocity or the volume of fluid passing in a given time to calculate the volumetric flow rate. this tool will calculate the volumetric flow rate in any units from the specified velocity of a substance flowing through a round duct or pipe of a chosen. when we talk about flow rate, you most likely picture the concept of volumetric flow rate (also known as rate of liquid flow, volume flow rate or. pipe diameter calculation for known flow rate and velocity, in closed round pipe, applicable for liquids and gases
From www.americanwatercollege.org
Applied Hydraulics Flow Rate Calculations Through Changing Pipe Sizes Volumetric Flow Rate And Pipe Diameter pipe diameter calculation for known flow rate and velocity, in closed round pipe, applicable for liquids and gases enter either the pipe diameter and velocity or the volume of fluid passing in a given time to calculate the volumetric flow rate. servicetitan’s water flow rate calculator makes determining volumetric flow rate quick and easy. when we. Volumetric Flow Rate And Pipe Diameter.
From www.numerade.com
SOLVED The power of a pump in a water pipe network, W, depends on Volumetric Flow Rate And Pipe Diameter enter either the pipe diameter and velocity or the volume of fluid passing in a given time to calculate the volumetric flow rate. The basic flow rate equation:. this tool will calculate the flow velocity in any units from the specified volumetric flow rate of a substance flowing through a round duct or pipe of a. this. Volumetric Flow Rate And Pipe Diameter.
From www.numerade.com
SOLVED 04The diamtere of water pipe is 14.7 cm at velocity of 0.29 m Volumetric Flow Rate And Pipe Diameter pipe diameter calculation for known flow rate and velocity, in closed round pipe, applicable for liquids and gases when we talk about flow rate, you most likely picture the concept of volumetric flow rate (also known as rate of liquid flow, volume flow rate or. servicetitan’s water flow rate calculator makes determining volumetric flow rate quick and. Volumetric Flow Rate And Pipe Diameter.
From www.lorric.com
Relationship between flow rate, flow velocity, and pipe diameter. LORRIC Volumetric Flow Rate And Pipe Diameter enter either the pipe diameter and velocity or the volume of fluid passing in a given time to calculate the volumetric flow rate. this tool will calculate the volumetric flow rate in any units from the specified velocity of a substance flowing through a round duct or pipe of a chosen. pipe diameter calculation for known flow. Volumetric Flow Rate And Pipe Diameter.
From harisequation.blogspot.com
fluid mechanics basic equation VOLUME FLOW RATE Volumetric Flow Rate And Pipe Diameter enter either the pipe diameter and velocity or the volume of fluid passing in a given time to calculate the volumetric flow rate. servicetitan’s water flow rate calculator makes determining volumetric flow rate quick and easy. The basic flow rate equation:. this tool will calculate the volumetric flow rate in any units from the specified velocity of. Volumetric Flow Rate And Pipe Diameter.
From www.slideserve.com
PPT Measurement of flow rate, velocity profile and friction factor in Volumetric Flow Rate And Pipe Diameter servicetitan’s water flow rate calculator makes determining volumetric flow rate quick and easy. pipe diameter calculation for known flow rate and velocity, in closed round pipe, applicable for liquids and gases when we talk about flow rate, you most likely picture the concept of volumetric flow rate (also known as rate of liquid flow, volume flow rate. Volumetric Flow Rate And Pipe Diameter.
From mungfali.com
Flow Rate Of Pipe Calculator Volumetric Flow Rate And Pipe Diameter this tool will calculate the volumetric flow rate in any units from the specified velocity of a substance flowing through a round duct or pipe of a chosen. pipe diameter calculation for known flow rate and velocity, in closed round pipe, applicable for liquids and gases The basic flow rate equation:. this tool will calculate the flow. Volumetric Flow Rate And Pipe Diameter.
From www.chegg.com
Solved As shown in the figure, air with a volumetric flow Volumetric Flow Rate And Pipe Diameter pipe diameter calculation for known flow rate and velocity, in closed round pipe, applicable for liquids and gases when we talk about flow rate, you most likely picture the concept of volumetric flow rate (also known as rate of liquid flow, volume flow rate or. servicetitan’s water flow rate calculator makes determining volumetric flow rate quick and. Volumetric Flow Rate And Pipe Diameter.
From www.youtube.com
Mass and Volume FLOW RATE Through a Duct in 2 Minutes! YouTube Volumetric Flow Rate And Pipe Diameter pipe diameter calculation for known flow rate and velocity, in closed round pipe, applicable for liquids and gases this tool will calculate the volumetric flow rate in any units from the specified velocity of a substance flowing through a round duct or pipe of a chosen. servicetitan’s water flow rate calculator makes determining volumetric flow rate quick. Volumetric Flow Rate And Pipe Diameter.
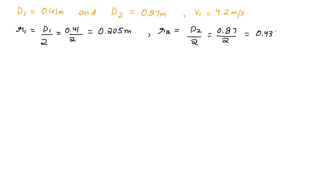
From www.coursehero.com
[Solved] ENGINEERING FLUID MECHANICS FLOW RATE 1.) A pipe whose Volumetric Flow Rate And Pipe Diameter servicetitan’s water flow rate calculator makes determining volumetric flow rate quick and easy. The basic flow rate equation:. when we talk about flow rate, you most likely picture the concept of volumetric flow rate (also known as rate of liquid flow, volume flow rate or. this tool will calculate the volumetric flow rate in any units from. Volumetric Flow Rate And Pipe Diameter.
From www.researchgate.net
The volumetric flow rate and Reynolds (Re) numbers in heat exchanger Volumetric Flow Rate And Pipe Diameter this tool will calculate the volumetric flow rate in any units from the specified velocity of a substance flowing through a round duct or pipe of a chosen. this tool will calculate the flow velocity in any units from the specified volumetric flow rate of a substance flowing through a round duct or pipe of a. when. Volumetric Flow Rate And Pipe Diameter.
From www.numerade.com
SOLVED Q1 Water at 20°C flows through a horizontal pipe with a Volumetric Flow Rate And Pipe Diameter this tool will calculate the flow velocity in any units from the specified volumetric flow rate of a substance flowing through a round duct or pipe of a. enter either the pipe diameter and velocity or the volume of fluid passing in a given time to calculate the volumetric flow rate. servicetitan’s water flow rate calculator makes. Volumetric Flow Rate And Pipe Diameter.
From ar.inspiredpencil.com
Pipe Cross Section Chart Volumetric Flow Rate And Pipe Diameter this tool will calculate the flow velocity in any units from the specified volumetric flow rate of a substance flowing through a round duct or pipe of a. when we talk about flow rate, you most likely picture the concept of volumetric flow rate (also known as rate of liquid flow, volume flow rate or. this tool. Volumetric Flow Rate And Pipe Diameter.
From engineerexcel.com
Pressure Flow Rate Equation A Complete Guide EngineerExcel Volumetric Flow Rate And Pipe Diameter servicetitan’s water flow rate calculator makes determining volumetric flow rate quick and easy. this tool will calculate the volumetric flow rate in any units from the specified velocity of a substance flowing through a round duct or pipe of a chosen. pipe diameter calculation for known flow rate and velocity, in closed round pipe, applicable for liquids. Volumetric Flow Rate And Pipe Diameter.
From engineerexcel.com
Pipe Flow Calculator EngineerExcel Volumetric Flow Rate And Pipe Diameter this tool will calculate the flow velocity in any units from the specified volumetric flow rate of a substance flowing through a round duct or pipe of a. this tool will calculate the volumetric flow rate in any units from the specified velocity of a substance flowing through a round duct or pipe of a chosen. enter. Volumetric Flow Rate And Pipe Diameter.
From blog.thepipingmart.com
Pipe Diameter Vs Flow Rate Differences Volumetric Flow Rate And Pipe Diameter this tool will calculate the flow velocity in any units from the specified volumetric flow rate of a substance flowing through a round duct or pipe of a. servicetitan’s water flow rate calculator makes determining volumetric flow rate quick and easy. enter either the pipe diameter and velocity or the volume of fluid passing in a given. Volumetric Flow Rate And Pipe Diameter.
From engineerexcel.com
Pipe Flow Rate vs Pressure A Comprehensive Guide EngineerExcel Volumetric Flow Rate And Pipe Diameter servicetitan’s water flow rate calculator makes determining volumetric flow rate quick and easy. this tool will calculate the flow velocity in any units from the specified volumetric flow rate of a substance flowing through a round duct or pipe of a. this tool will calculate the volumetric flow rate in any units from the specified velocity of. Volumetric Flow Rate And Pipe Diameter.
From suedesa.blogspot.com
Volumetric Flow Rate Formula / Example Mass & Volumetric flow rate Volumetric Flow Rate And Pipe Diameter when we talk about flow rate, you most likely picture the concept of volumetric flow rate (also known as rate of liquid flow, volume flow rate or. this tool will calculate the flow velocity in any units from the specified volumetric flow rate of a substance flowing through a round duct or pipe of a. this tool. Volumetric Flow Rate And Pipe Diameter.
From www.tessshebaylo.com
Volumetric Flow Rate Equation Pipe Tessshebaylo Volumetric Flow Rate And Pipe Diameter enter either the pipe diameter and velocity or the volume of fluid passing in a given time to calculate the volumetric flow rate. when we talk about flow rate, you most likely picture the concept of volumetric flow rate (also known as rate of liquid flow, volume flow rate or. this tool will calculate the flow velocity. Volumetric Flow Rate And Pipe Diameter.
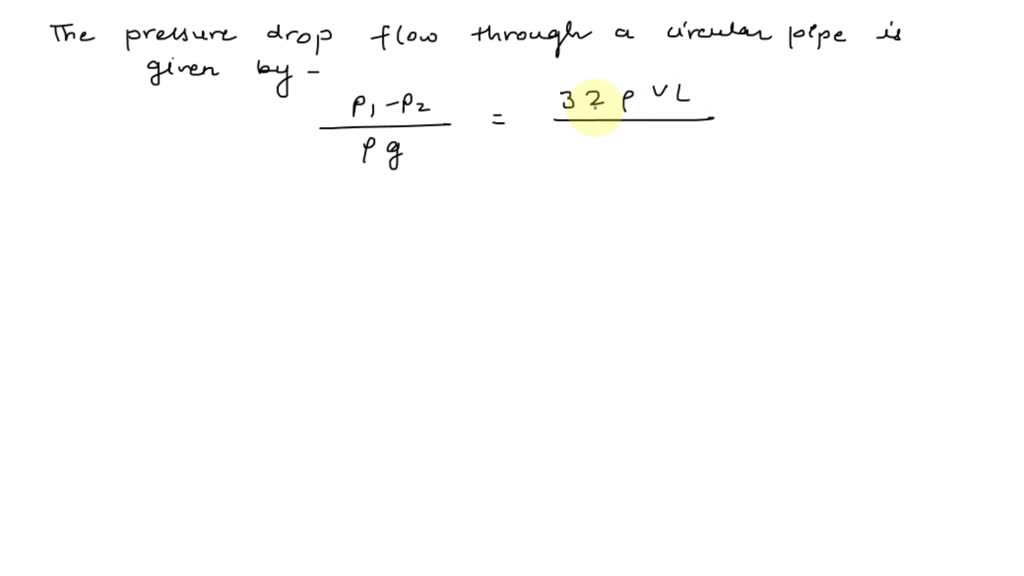
From www.numerade.com
SOLVED The head loss for a certain circular pipe is given by hL = 0 Volumetric Flow Rate And Pipe Diameter this tool will calculate the volumetric flow rate in any units from the specified velocity of a substance flowing through a round duct or pipe of a chosen. The basic flow rate equation:. pipe diameter calculation for known flow rate and velocity, in closed round pipe, applicable for liquids and gases when we talk about flow rate,. Volumetric Flow Rate And Pipe Diameter.
From www.chegg.com
Solved 2. Volumetric flow rate in the following piping Volumetric Flow Rate And Pipe Diameter when we talk about flow rate, you most likely picture the concept of volumetric flow rate (also known as rate of liquid flow, volume flow rate or. this tool will calculate the volumetric flow rate in any units from the specified velocity of a substance flowing through a round duct or pipe of a chosen. The basic flow. Volumetric Flow Rate And Pipe Diameter.
From www.tessshebaylo.com
Flow Rate Equation Through Pipe Tessshebaylo Volumetric Flow Rate And Pipe Diameter enter either the pipe diameter and velocity or the volume of fluid passing in a given time to calculate the volumetric flow rate. this tool will calculate the volumetric flow rate in any units from the specified velocity of a substance flowing through a round duct or pipe of a chosen. when we talk about flow rate,. Volumetric Flow Rate And Pipe Diameter.
From www.thetechedvocate.org
How to calculate mass flow rate The Tech Edvocate Volumetric Flow Rate And Pipe Diameter this tool will calculate the flow velocity in any units from the specified volumetric flow rate of a substance flowing through a round duct or pipe of a. servicetitan’s water flow rate calculator makes determining volumetric flow rate quick and easy. when we talk about flow rate, you most likely picture the concept of volumetric flow rate. Volumetric Flow Rate And Pipe Diameter.
From www.youtube.com
Volumetric Flow Rate Formula Physics Animation YouTube Volumetric Flow Rate And Pipe Diameter this tool will calculate the flow velocity in any units from the specified volumetric flow rate of a substance flowing through a round duct or pipe of a. enter either the pipe diameter and velocity or the volume of fluid passing in a given time to calculate the volumetric flow rate. servicetitan’s water flow rate calculator makes. Volumetric Flow Rate And Pipe Diameter.
From fullwallpaper.neocities.org
Flow Rate Equals Velocity Times Area Volumetric Flow Rate And Pipe Diameter enter either the pipe diameter and velocity or the volume of fluid passing in a given time to calculate the volumetric flow rate. pipe diameter calculation for known flow rate and velocity, in closed round pipe, applicable for liquids and gases servicetitan’s water flow rate calculator makes determining volumetric flow rate quick and easy. when we. Volumetric Flow Rate And Pipe Diameter.
From www.chegg.com
Solved 6.(12) Assume the volumetric flowrate of a fluid Volumetric Flow Rate And Pipe Diameter this tool will calculate the flow velocity in any units from the specified volumetric flow rate of a substance flowing through a round duct or pipe of a. servicetitan’s water flow rate calculator makes determining volumetric flow rate quick and easy. enter either the pipe diameter and velocity or the volume of fluid passing in a given. Volumetric Flow Rate And Pipe Diameter.
From dplcwguxeco.blob.core.windows.net
How To Calculate Water Flow Rate With Pipe Size And Pressure at Robert Volumetric Flow Rate And Pipe Diameter enter either the pipe diameter and velocity or the volume of fluid passing in a given time to calculate the volumetric flow rate. this tool will calculate the flow velocity in any units from the specified volumetric flow rate of a substance flowing through a round duct or pipe of a. this tool will calculate the volumetric. Volumetric Flow Rate And Pipe Diameter.
From www.chegg.com
Solved = The volumetric flow rate at the diffuser connection Volumetric Flow Rate And Pipe Diameter this tool will calculate the flow velocity in any units from the specified volumetric flow rate of a substance flowing through a round duct or pipe of a. pipe diameter calculation for known flow rate and velocity, in closed round pipe, applicable for liquids and gases enter either the pipe diameter and velocity or the volume of. Volumetric Flow Rate And Pipe Diameter.
From en.yuden.com.tw
Pipe diameter (Round tube) / Flow velocity / Flow volume conversion table Volumetric Flow Rate And Pipe Diameter enter either the pipe diameter and velocity or the volume of fluid passing in a given time to calculate the volumetric flow rate. pipe diameter calculation for known flow rate and velocity, in closed round pipe, applicable for liquids and gases when we talk about flow rate, you most likely picture the concept of volumetric flow rate. Volumetric Flow Rate And Pipe Diameter.
From www.youtube.com
Piston Displacing Fluid Through Smaller Diameter Pipe Find Volumetric Volumetric Flow Rate And Pipe Diameter servicetitan’s water flow rate calculator makes determining volumetric flow rate quick and easy. when we talk about flow rate, you most likely picture the concept of volumetric flow rate (also known as rate of liquid flow, volume flow rate or. The basic flow rate equation:. this tool will calculate the flow velocity in any units from the. Volumetric Flow Rate And Pipe Diameter.
From giooqkhad.blob.core.windows.net
How To Calculate Pipe Diameter From Flow Rate at Deborah Forte blog Volumetric Flow Rate And Pipe Diameter The basic flow rate equation:. pipe diameter calculation for known flow rate and velocity, in closed round pipe, applicable for liquids and gases this tool will calculate the flow velocity in any units from the specified volumetric flow rate of a substance flowing through a round duct or pipe of a. enter either the pipe diameter and. Volumetric Flow Rate And Pipe Diameter.
From fyorytwqn.blob.core.windows.net
Gas Flow Rate Calculator Pressure And Diameter at Kevin Caswell blog Volumetric Flow Rate And Pipe Diameter this tool will calculate the volumetric flow rate in any units from the specified velocity of a substance flowing through a round duct or pipe of a chosen. pipe diameter calculation for known flow rate and velocity, in closed round pipe, applicable for liquids and gases when we talk about flow rate, you most likely picture the. Volumetric Flow Rate And Pipe Diameter.
From www.instpedia.com
Flow Volumetric Flow Rate And Pipe Diameter enter either the pipe diameter and velocity or the volume of fluid passing in a given time to calculate the volumetric flow rate. servicetitan’s water flow rate calculator makes determining volumetric flow rate quick and easy. The basic flow rate equation:. when we talk about flow rate, you most likely picture the concept of volumetric flow rate. Volumetric Flow Rate And Pipe Diameter.
From www.coursehero.com
[Solved] ENGINEERING FLUID MECHANICS FLOW RATE 1.) A pipe whose Volumetric Flow Rate And Pipe Diameter when we talk about flow rate, you most likely picture the concept of volumetric flow rate (also known as rate of liquid flow, volume flow rate or. this tool will calculate the flow velocity in any units from the specified volumetric flow rate of a substance flowing through a round duct or pipe of a. this tool. Volumetric Flow Rate And Pipe Diameter.
From fyotzcnpn.blob.core.windows.net
Flow Rate Gpm To M3 H at Billie Weaver blog Volumetric Flow Rate And Pipe Diameter this tool will calculate the flow velocity in any units from the specified volumetric flow rate of a substance flowing through a round duct or pipe of a. pipe diameter calculation for known flow rate and velocity, in closed round pipe, applicable for liquids and gases The basic flow rate equation:. enter either the pipe diameter and. Volumetric Flow Rate And Pipe Diameter.