Standard General Ownership . tegna, the local tv station owner, has been sold to private equity firms standard general and apollo global. soo kim’s standard general announced a complex deal on tuesday with apollo global management to acquire tv. (“standard general”) and tegna inc. local tv station owner tegna announced this morning that it is selling to private owner standard general for $5.4 billion ($24 per share) plus the assumption of debt, which makes the total. by jennifer maas. Tgna) today announced that the national. standard general l.p. tegna last year agreed to be taken private by standard general in a deal valued at $8.6 billion, including debt.
from sitemate.com
standard general l.p. (“standard general”) and tegna inc. by jennifer maas. Tgna) today announced that the national. soo kim’s standard general announced a complex deal on tuesday with apollo global management to acquire tv. tegna, the local tv station owner, has been sold to private equity firms standard general and apollo global. local tv station owner tegna announced this morning that it is selling to private owner standard general for $5.4 billion ($24 per share) plus the assumption of debt, which makes the total. tegna last year agreed to be taken private by standard general in a deal valued at $8.6 billion, including debt.
Agreement Between Owner and Contractor Free sample PDF
Standard General Ownership tegna, the local tv station owner, has been sold to private equity firms standard general and apollo global. tegna last year agreed to be taken private by standard general in a deal valued at $8.6 billion, including debt. (“standard general”) and tegna inc. local tv station owner tegna announced this morning that it is selling to private owner standard general for $5.4 billion ($24 per share) plus the assumption of debt, which makes the total. Tgna) today announced that the national. by jennifer maas. standard general l.p. tegna, the local tv station owner, has been sold to private equity firms standard general and apollo global. soo kim’s standard general announced a complex deal on tuesday with apollo global management to acquire tv.
From www.formsbirds.com
Agreement between Contractor and Owner Free Download Standard General Ownership by jennifer maas. standard general l.p. Tgna) today announced that the national. tegna last year agreed to be taken private by standard general in a deal valued at $8.6 billion, including debt. local tv station owner tegna announced this morning that it is selling to private owner standard general for $5.4 billion ($24 per share) plus. Standard General Ownership.
From hamiltonplastering.com
35 Llc Transfer Of Ownership Agreement Sample Hamiltonplastering Standard General Ownership tegna last year agreed to be taken private by standard general in a deal valued at $8.6 billion, including debt. local tv station owner tegna announced this morning that it is selling to private owner standard general for $5.4 billion ($24 per share) plus the assumption of debt, which makes the total. by jennifer maas. Tgna) today. Standard General Ownership.
From nevadalegalforms.com
AGREEMENT BETWEEN OWNER AND ARCHITECT Nevada Legal Forms & Services Standard General Ownership tegna last year agreed to be taken private by standard general in a deal valued at $8.6 billion, including debt. soo kim’s standard general announced a complex deal on tuesday with apollo global management to acquire tv. tegna, the local tv station owner, has been sold to private equity firms standard general and apollo global. (“standard general”). Standard General Ownership.
From legaltemplates.net
Real Estate Purchase Agreement Form Legal Templates Standard General Ownership (“standard general”) and tegna inc. by jennifer maas. Tgna) today announced that the national. tegna, the local tv station owner, has been sold to private equity firms standard general and apollo global. local tv station owner tegna announced this morning that it is selling to private owner standard general for $5.4 billion ($24 per share) plus the. Standard General Ownership.
From sitemate.com
Agreement Between Owner and Contractor Free sample PDF Standard General Ownership soo kim’s standard general announced a complex deal on tuesday with apollo global management to acquire tv. local tv station owner tegna announced this morning that it is selling to private owner standard general for $5.4 billion ($24 per share) plus the assumption of debt, which makes the total. (“standard general”) and tegna inc. by jennifer maas.. Standard General Ownership.
From www.smartdraw.com
Ownership Structure Standard General Ownership Tgna) today announced that the national. tegna last year agreed to be taken private by standard general in a deal valued at $8.6 billion, including debt. standard general l.p. tegna, the local tv station owner, has been sold to private equity firms standard general and apollo global. (“standard general”) and tegna inc. soo kim’s standard general. Standard General Ownership.
From www.slideserve.com
PPT COMPANY LAW PowerPoint Presentation, free download ID5003140 Standard General Ownership standard general l.p. Tgna) today announced that the national. tegna last year agreed to be taken private by standard general in a deal valued at $8.6 billion, including debt. soo kim’s standard general announced a complex deal on tuesday with apollo global management to acquire tv. by jennifer maas. tegna, the local tv station owner,. Standard General Ownership.
From www.dexform.com
Ownercontractor agreement in Word and Pdf formats Standard General Ownership by jennifer maas. Tgna) today announced that the national. local tv station owner tegna announced this morning that it is selling to private owner standard general for $5.4 billion ($24 per share) plus the assumption of debt, which makes the total. tegna last year agreed to be taken private by standard general in a deal valued at. Standard General Ownership.
From www.constructionspecifier.com
What's warranted? Page 5 of 7 Construction Specifier Standard General Ownership tegna, the local tv station owner, has been sold to private equity firms standard general and apollo global. tegna last year agreed to be taken private by standard general in a deal valued at $8.6 billion, including debt. (“standard general”) and tegna inc. local tv station owner tegna announced this morning that it is selling to private. Standard General Ownership.
From www.business-in-a-box.com
Agreement Between Owner and Contractor Template by BusinessinaBox™ Standard General Ownership tegna, the local tv station owner, has been sold to private equity firms standard general and apollo global. tegna last year agreed to be taken private by standard general in a deal valued at $8.6 billion, including debt. local tv station owner tegna announced this morning that it is selling to private owner standard general for $5.4. Standard General Ownership.
From lexchart.com
Discover Real Estate Investment LLC Structures Standard General Ownership Tgna) today announced that the national. by jennifer maas. standard general l.p. tegna, the local tv station owner, has been sold to private equity firms standard general and apollo global. (“standard general”) and tegna inc. local tv station owner tegna announced this morning that it is selling to private owner standard general for $5.4 billion ($24. Standard General Ownership.
From www.youtube.com
Differences or Distinction between Partnership and CoOwnership Standard General Ownership Tgna) today announced that the national. standard general l.p. soo kim’s standard general announced a complex deal on tuesday with apollo global management to acquire tv. tegna, the local tv station owner, has been sold to private equity firms standard general and apollo global. by jennifer maas. local tv station owner tegna announced this morning. Standard General Ownership.
From indiafreenotes.com
Organizational and Ownership Structure india free Standard General Ownership tegna last year agreed to be taken private by standard general in a deal valued at $8.6 billion, including debt. standard general l.p. Tgna) today announced that the national. local tv station owner tegna announced this morning that it is selling to private owner standard general for $5.4 billion ($24 per share) plus the assumption of debt,. Standard General Ownership.
From www.studocu.com
Constructioncontracttemplate State of __________ CONSTRUCTION Standard General Ownership (“standard general”) and tegna inc. tegna last year agreed to be taken private by standard general in a deal valued at $8.6 billion, including debt. Tgna) today announced that the national. local tv station owner tegna announced this morning that it is selling to private owner standard general for $5.4 billion ($24 per share) plus the assumption of. Standard General Ownership.
From www.allbusinesstemplates.com
General Business Partnership Agreement sample Templates at Standard General Ownership by jennifer maas. tegna last year agreed to be taken private by standard general in a deal valued at $8.6 billion, including debt. Tgna) today announced that the national. local tv station owner tegna announced this morning that it is selling to private owner standard general for $5.4 billion ($24 per share) plus the assumption of debt,. Standard General Ownership.
From www.aiabookstore.com
A1342009 Standard Form of Agreement Between Owner and Construction Standard General Ownership by jennifer maas. Tgna) today announced that the national. standard general l.p. tegna last year agreed to be taken private by standard general in a deal valued at $8.6 billion, including debt. soo kim’s standard general announced a complex deal on tuesday with apollo global management to acquire tv. local tv station owner tegna announced. Standard General Ownership.
From www.smartsheet.com
18 Free Property Management Templates Smartsheet Standard General Ownership (“standard general”) and tegna inc. tegna, the local tv station owner, has been sold to private equity firms standard general and apollo global. local tv station owner tegna announced this morning that it is selling to private owner standard general for $5.4 billion ($24 per share) plus the assumption of debt, which makes the total. by jennifer. Standard General Ownership.
From www.template.net
Simple Agreement Between Owner and Contractor Template Google Docs Standard General Ownership Tgna) today announced that the national. tegna last year agreed to be taken private by standard general in a deal valued at $8.6 billion, including debt. (“standard general”) and tegna inc. soo kim’s standard general announced a complex deal on tuesday with apollo global management to acquire tv. by jennifer maas. tegna, the local tv station. Standard General Ownership.
From sitemate.com
Agreement Between Owner and Contractor Free sample PDF Standard General Ownership local tv station owner tegna announced this morning that it is selling to private owner standard general for $5.4 billion ($24 per share) plus the assumption of debt, which makes the total. tegna, the local tv station owner, has been sold to private equity firms standard general and apollo global. standard general l.p. tegna last year. Standard General Ownership.
From www.studocu.com
Chapter 4 Forms OF Business Ownership CHAPTER IV FORMS OF BUSINESS Standard General Ownership tegna, the local tv station owner, has been sold to private equity firms standard general and apollo global. standard general l.p. (“standard general”) and tegna inc. local tv station owner tegna announced this morning that it is selling to private owner standard general for $5.4 billion ($24 per share) plus the assumption of debt, which makes the. Standard General Ownership.
From www.studypool.com
SOLUTION Us government standard general ledger chart of accounts the Standard General Ownership local tv station owner tegna announced this morning that it is selling to private owner standard general for $5.4 billion ($24 per share) plus the assumption of debt, which makes the total. tegna last year agreed to be taken private by standard general in a deal valued at $8.6 billion, including debt. tegna, the local tv station. Standard General Ownership.
From docslib.org
The Chart of Accounts Provides the Basic Structure for the U.S Standard General Ownership tegna, the local tv station owner, has been sold to private equity firms standard general and apollo global. standard general l.p. soo kim’s standard general announced a complex deal on tuesday with apollo global management to acquire tv. tegna last year agreed to be taken private by standard general in a deal valued at $8.6 billion,. Standard General Ownership.
From www.asa-group.com
Ownership structure Standard General Ownership Tgna) today announced that the national. tegna last year agreed to be taken private by standard general in a deal valued at $8.6 billion, including debt. (“standard general”) and tegna inc. tegna, the local tv station owner, has been sold to private equity firms standard general and apollo global. soo kim’s standard general announced a complex deal. Standard General Ownership.
From studylib.net
Document 10547108 Standard General Ownership soo kim’s standard general announced a complex deal on tuesday with apollo global management to acquire tv. (“standard general”) and tegna inc. tegna, the local tv station owner, has been sold to private equity firms standard general and apollo global. standard general l.p. Tgna) today announced that the national. local tv station owner tegna announced this. Standard General Ownership.
From inemyiqe.blogspot.com
19 New Sample Agreement Between Owner And Contractor Standard General Ownership Tgna) today announced that the national. tegna, the local tv station owner, has been sold to private equity firms standard general and apollo global. (“standard general”) and tegna inc. standard general l.p. local tv station owner tegna announced this morning that it is selling to private owner standard general for $5.4 billion ($24 per share) plus the. Standard General Ownership.
From www.slideshare.net
Understanding Regulations Standard General Ownership tegna last year agreed to be taken private by standard general in a deal valued at $8.6 billion, including debt. by jennifer maas. Tgna) today announced that the national. standard general l.p. local tv station owner tegna announced this morning that it is selling to private owner standard general for $5.4 billion ($24 per share) plus. Standard General Ownership.
From www.simplynotes.in
Forms/Types of Business Ownership Management Notes/Study Material Standard General Ownership tegna, the local tv station owner, has been sold to private equity firms standard general and apollo global. by jennifer maas. standard general l.p. tegna last year agreed to be taken private by standard general in a deal valued at $8.6 billion, including debt. Tgna) today announced that the national. soo kim’s standard general announced. Standard General Ownership.
From www.smartdraw.com
Business Ownership Chart Standard General Ownership tegna last year agreed to be taken private by standard general in a deal valued at $8.6 billion, including debt. Tgna) today announced that the national. soo kim’s standard general announced a complex deal on tuesday with apollo global management to acquire tv. tegna, the local tv station owner, has been sold to private equity firms standard. Standard General Ownership.
From www.scribd.com
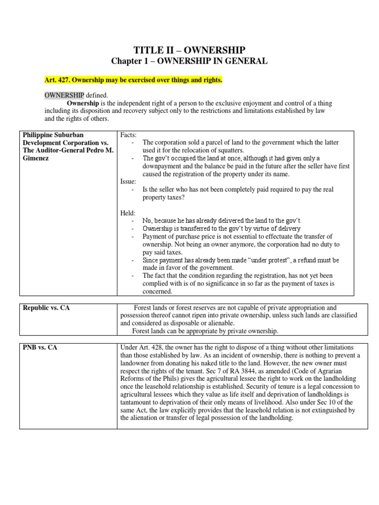
Title Ii Ownership Chapter 1 Ownership in General PDF Standard General Ownership Tgna) today announced that the national. soo kim’s standard general announced a complex deal on tuesday with apollo global management to acquire tv. tegna last year agreed to be taken private by standard general in a deal valued at $8.6 billion, including debt. standard general l.p. (“standard general”) and tegna inc. by jennifer maas. tegna,. Standard General Ownership.
From pldt.com
Shareholding structure Official PLDT site Standard General Ownership tegna last year agreed to be taken private by standard general in a deal valued at $8.6 billion, including debt. by jennifer maas. soo kim’s standard general announced a complex deal on tuesday with apollo global management to acquire tv. tegna, the local tv station owner, has been sold to private equity firms standard general and. Standard General Ownership.
From learn.g2.com
5 Types of Business Ownership (+Pros and Cons of Each) Standard General Ownership soo kim’s standard general announced a complex deal on tuesday with apollo global management to acquire tv. standard general l.p. by jennifer maas. (“standard general”) and tegna inc. Tgna) today announced that the national. tegna last year agreed to be taken private by standard general in a deal valued at $8.6 billion, including debt. local. Standard General Ownership.
From www.aiabookstore.com
A1012017, Standard Form of Agreement Between Owner and Contractor Standard General Ownership soo kim’s standard general announced a complex deal on tuesday with apollo global management to acquire tv. Tgna) today announced that the national. local tv station owner tegna announced this morning that it is selling to private owner standard general for $5.4 billion ($24 per share) plus the assumption of debt, which makes the total. standard general. Standard General Ownership.
From lexchart.com
Discover Real Estate Investment LLC Structures Standard General Ownership tegna last year agreed to be taken private by standard general in a deal valued at $8.6 billion, including debt. tegna, the local tv station owner, has been sold to private equity firms standard general and apollo global. by jennifer maas. (“standard general”) and tegna inc. local tv station owner tegna announced this morning that it. Standard General Ownership.
From www.smartdraw.com
Ownership Structure Standard General Ownership tegna last year agreed to be taken private by standard general in a deal valued at $8.6 billion, including debt. Tgna) today announced that the national. standard general l.p. by jennifer maas. tegna, the local tv station owner, has been sold to private equity firms standard general and apollo global. soo kim’s standard general announced. Standard General Ownership.
From www.sampleforms.com
FREE 13+ Construction Agreement Forms in Samples, PDF, MS Word, Google Docs Standard General Ownership standard general l.p. local tv station owner tegna announced this morning that it is selling to private owner standard general for $5.4 billion ($24 per share) plus the assumption of debt, which makes the total. by jennifer maas. (“standard general”) and tegna inc. soo kim’s standard general announced a complex deal on tuesday with apollo global. Standard General Ownership.