Claim For Home Exemption Hawaii . If you live in your home or condo as your primary residence in honolulu county, which is the island of oahu, you need to claim your home exemption. To file a home exemption claim, visit realpropertyhonolulu.com. An individual is entitled to the home exemption if the following criteria are met: S/he owns and occupies the property as his or her principal. Claim forms are available at the real property assessment division, satellite city halls, and the city and county of honolulu’s.
from www.signnow.com
To file a home exemption claim, visit realpropertyhonolulu.com. If you live in your home or condo as your primary residence in honolulu county, which is the island of oahu, you need to claim your home exemption. Claim forms are available at the real property assessment division, satellite city halls, and the city and county of honolulu’s. An individual is entitled to the home exemption if the following criteria are met: S/he owns and occupies the property as his or her principal.
Hawaii Claim 20202024 Form Fill Out and Sign Printable PDF Template
Claim For Home Exemption Hawaii Claim forms are available at the real property assessment division, satellite city halls, and the city and county of honolulu’s. S/he owns and occupies the property as his or her principal. If you live in your home or condo as your primary residence in honolulu county, which is the island of oahu, you need to claim your home exemption. Claim forms are available at the real property assessment division, satellite city halls, and the city and county of honolulu’s. To file a home exemption claim, visit realpropertyhonolulu.com. An individual is entitled to the home exemption if the following criteria are met:
From www.signnow.com
Hawaii Claim 20202024 Form Fill Out and Sign Printable PDF Template Claim For Home Exemption Hawaii Claim forms are available at the real property assessment division, satellite city halls, and the city and county of honolulu’s. If you live in your home or condo as your primary residence in honolulu county, which is the island of oahu, you need to claim your home exemption. S/he owns and occupies the property as his or her principal. To. Claim For Home Exemption Hawaii.
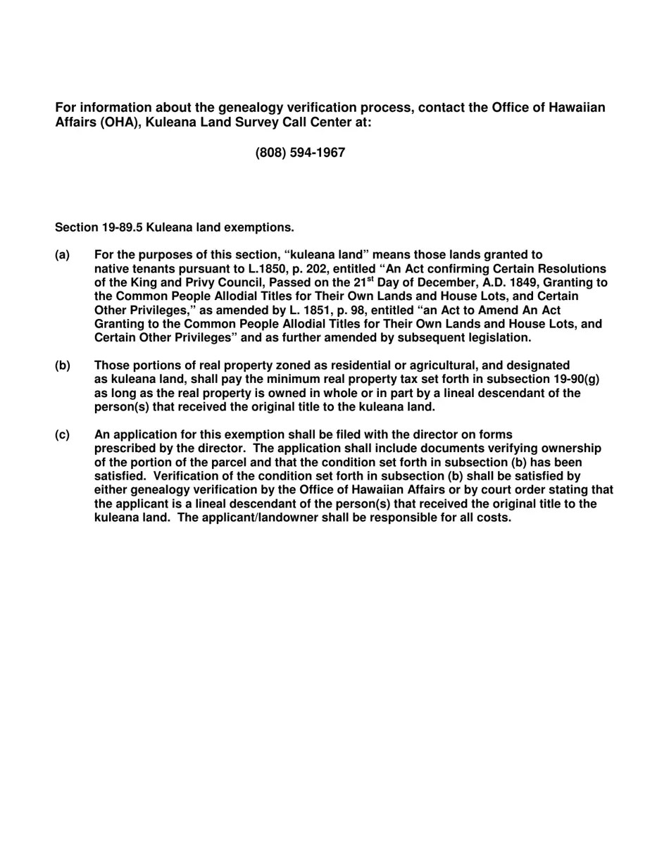
From dbedt.hawaii.gov
Hawaiʻi Housing Finance & Development Corporation 343 Exemption List Claim For Home Exemption Hawaii An individual is entitled to the home exemption if the following criteria are met: S/he owns and occupies the property as his or her principal. Claim forms are available at the real property assessment division, satellite city halls, and the city and county of honolulu’s. If you live in your home or condo as your primary residence in honolulu county,. Claim For Home Exemption Hawaii.
From www.templateroller.com
County of Kauai, Hawaii Claim for Exemption Kuleana Lands Cok Section Claim For Home Exemption Hawaii Claim forms are available at the real property assessment division, satellite city halls, and the city and county of honolulu’s. To file a home exemption claim, visit realpropertyhonolulu.com. An individual is entitled to the home exemption if the following criteria are met: S/he owns and occupies the property as his or her principal. If you live in your home or. Claim For Home Exemption Hawaii.
From www.dochub.com
Hawaii property tax exemption Fill out & sign online DocHub Claim For Home Exemption Hawaii S/he owns and occupies the property as his or her principal. An individual is entitled to the home exemption if the following criteria are met: If you live in your home or condo as your primary residence in honolulu county, which is the island of oahu, you need to claim your home exemption. To file a home exemption claim, visit. Claim For Home Exemption Hawaii.
From www.templateroller.com
New Jersey Notice of Disallowance of Claim for Veteran's Property Tax Claim For Home Exemption Hawaii S/he owns and occupies the property as his or her principal. Claim forms are available at the real property assessment division, satellite city halls, and the city and county of honolulu’s. An individual is entitled to the home exemption if the following criteria are met: If you live in your home or condo as your primary residence in honolulu county,. Claim For Home Exemption Hawaii.
From hawaiivaloans.com
Downtown Office Claim For Home Exemption Hawaii If you live in your home or condo as your primary residence in honolulu county, which is the island of oahu, you need to claim your home exemption. S/he owns and occupies the property as his or her principal. To file a home exemption claim, visit realpropertyhonolulu.com. An individual is entitled to the home exemption if the following criteria are. Claim For Home Exemption Hawaii.
From www.formsbank.com
Fillable Claim For Home Exemption printable pdf download Claim For Home Exemption Hawaii To file a home exemption claim, visit realpropertyhonolulu.com. An individual is entitled to the home exemption if the following criteria are met: Claim forms are available at the real property assessment division, satellite city halls, and the city and county of honolulu’s. If you live in your home or condo as your primary residence in honolulu county, which is the. Claim For Home Exemption Hawaii.
From hawaiivaloans.com
Attention Homeowners Submit Your Home Tax Exemption Application by Claim For Home Exemption Hawaii To file a home exemption claim, visit realpropertyhonolulu.com. S/he owns and occupies the property as his or her principal. Claim forms are available at the real property assessment division, satellite city halls, and the city and county of honolulu’s. If you live in your home or condo as your primary residence in honolulu county, which is the island of oahu,. Claim For Home Exemption Hawaii.
From opendocs.com
Free Hawaii Quit Claim Deed Form PDF WORD RTF Claim For Home Exemption Hawaii Claim forms are available at the real property assessment division, satellite city halls, and the city and county of honolulu’s. An individual is entitled to the home exemption if the following criteria are met: If you live in your home or condo as your primary residence in honolulu county, which is the island of oahu, you need to claim your. Claim For Home Exemption Hawaii.
From www.templateroller.com
RP Form 1989.5 Fill Out, Sign Online and Download Printable PDF Claim For Home Exemption Hawaii An individual is entitled to the home exemption if the following criteria are met: If you live in your home or condo as your primary residence in honolulu county, which is the island of oahu, you need to claim your home exemption. S/he owns and occupies the property as his or her principal. To file a home exemption claim, visit. Claim For Home Exemption Hawaii.
From www.uslegalforms.com
Motion To Claim Exempt Property With Right Of Survivorship US Legal Forms Claim For Home Exemption Hawaii To file a home exemption claim, visit realpropertyhonolulu.com. If you live in your home or condo as your primary residence in honolulu county, which is the island of oahu, you need to claim your home exemption. An individual is entitled to the home exemption if the following criteria are met: S/he owns and occupies the property as his or her. Claim For Home Exemption Hawaii.
From www.templateroller.com
RP Form 1989.5 Fill Out, Sign Online and Download Printable PDF Claim For Home Exemption Hawaii S/he owns and occupies the property as his or her principal. To file a home exemption claim, visit realpropertyhonolulu.com. An individual is entitled to the home exemption if the following criteria are met: If you live in your home or condo as your primary residence in honolulu county, which is the island of oahu, you need to claim your home. Claim For Home Exemption Hawaii.
From www.templateroller.com
Alabama Regular Homestead Exemption Claim Affidavit Fill Out, Sign Claim For Home Exemption Hawaii S/he owns and occupies the property as his or her principal. Claim forms are available at the real property assessment division, satellite city halls, and the city and county of honolulu’s. An individual is entitled to the home exemption if the following criteria are met: To file a home exemption claim, visit realpropertyhonolulu.com. If you live in your home or. Claim For Home Exemption Hawaii.
From www.countyforms.com
Fillable Claim For Exemption Form Printable Pdf Download Claim For Home Exemption Hawaii An individual is entitled to the home exemption if the following criteria are met: If you live in your home or condo as your primary residence in honolulu county, which is the island of oahu, you need to claim your home exemption. Claim forms are available at the real property assessment division, satellite city halls, and the city and county. Claim For Home Exemption Hawaii.
From www.hiestates.com
Understanding Property Tax in Oahu for 20242025 Claim For Home Exemption Hawaii If you live in your home or condo as your primary residence in honolulu county, which is the island of oahu, you need to claim your home exemption. Claim forms are available at the real property assessment division, satellite city halls, and the city and county of honolulu’s. An individual is entitled to the home exemption if the following criteria. Claim For Home Exemption Hawaii.
From www.templateroller.com
Form N289 Download Fillable PDF or Fill Online Certification for Claim For Home Exemption Hawaii If you live in your home or condo as your primary residence in honolulu county, which is the island of oahu, you need to claim your home exemption. To file a home exemption claim, visit realpropertyhonolulu.com. S/he owns and occupies the property as his or her principal. An individual is entitled to the home exemption if the following criteria are. Claim For Home Exemption Hawaii.
From www.templateroller.com
Form G27A Fill Out, Sign Online and Download Fillable PDF, Hawaii Claim For Home Exemption Hawaii If you live in your home or condo as your primary residence in honolulu county, which is the island of oahu, you need to claim your home exemption. An individual is entitled to the home exemption if the following criteria are met: S/he owns and occupies the property as his or her principal. Claim forms are available at the real. Claim For Home Exemption Hawaii.
From www.hawaiireporter.com
Hawaii County Real Property Tax Rates and the Home Owner’s Exemption Claim For Home Exemption Hawaii Claim forms are available at the real property assessment division, satellite city halls, and the city and county of honolulu’s. To file a home exemption claim, visit realpropertyhonolulu.com. An individual is entitled to the home exemption if the following criteria are met: If you live in your home or condo as your primary residence in honolulu county, which is the. Claim For Home Exemption Hawaii.
From www.templateroller.com
Form RP1971 Fill Out, Sign Online and Download Fillable PDF, County Claim For Home Exemption Hawaii S/he owns and occupies the property as his or her principal. Claim forms are available at the real property assessment division, satellite city halls, and the city and county of honolulu’s. To file a home exemption claim, visit realpropertyhonolulu.com. If you live in your home or condo as your primary residence in honolulu county, which is the island of oahu,. Claim For Home Exemption Hawaii.
From www.dochub.com
Hawaii form statment claim Fill out & sign online DocHub Claim For Home Exemption Hawaii To file a home exemption claim, visit realpropertyhonolulu.com. If you live in your home or condo as your primary residence in honolulu county, which is the island of oahu, you need to claim your home exemption. S/he owns and occupies the property as his or her principal. An individual is entitled to the home exemption if the following criteria are. Claim For Home Exemption Hawaii.
From www.templateroller.com
Form RP1971 Fill Out, Sign Online and Download Fillable PDF, County Claim For Home Exemption Hawaii S/he owns and occupies the property as his or her principal. An individual is entitled to the home exemption if the following criteria are met: Claim forms are available at the real property assessment division, satellite city halls, and the city and county of honolulu’s. If you live in your home or condo as your primary residence in honolulu county,. Claim For Home Exemption Hawaii.
From www.templateroller.com
County of Kauai, Hawaii Claim for Exemption Kuleana Lands Cok Section Claim For Home Exemption Hawaii S/he owns and occupies the property as his or her principal. An individual is entitled to the home exemption if the following criteria are met: If you live in your home or condo as your primary residence in honolulu county, which is the island of oahu, you need to claim your home exemption. Claim forms are available at the real. Claim For Home Exemption Hawaii.
From blanker.org
Form BOE266. Claim for Homeowners Property Tax Exemption Forms Claim For Home Exemption Hawaii Claim forms are available at the real property assessment division, satellite city halls, and the city and county of honolulu’s. An individual is entitled to the home exemption if the following criteria are met: If you live in your home or condo as your primary residence in honolulu county, which is the island of oahu, you need to claim your. Claim For Home Exemption Hawaii.
From spectrumlocalnews.com
Hawaii homeowners Remember to file for a tax exemption Claim For Home Exemption Hawaii An individual is entitled to the home exemption if the following criteria are met: S/he owns and occupies the property as his or her principal. If you live in your home or condo as your primary residence in honolulu county, which is the island of oahu, you need to claim your home exemption. Claim forms are available at the real. Claim For Home Exemption Hawaii.
From www.pdffiller.com
Realpropertyhonolulu Fill Online, Printable, Fillable, Blank pdfFiller Claim For Home Exemption Hawaii S/he owns and occupies the property as his or her principal. If you live in your home or condo as your primary residence in honolulu county, which is the island of oahu, you need to claim your home exemption. Claim forms are available at the real property assessment division, satellite city halls, and the city and county of honolulu’s. To. Claim For Home Exemption Hawaii.
From www.templateroller.com
County of Kauai, Hawaii Claim for Exemption Kuleana Lands Cok Section Claim For Home Exemption Hawaii Claim forms are available at the real property assessment division, satellite city halls, and the city and county of honolulu’s. To file a home exemption claim, visit realpropertyhonolulu.com. If you live in your home or condo as your primary residence in honolulu county, which is the island of oahu, you need to claim your home exemption. S/he owns and occupies. Claim For Home Exemption Hawaii.
From formspal.com
Claim Of Exemption Wg 006 Form ≡ Fill Out Printable PDF Forms Online Claim For Home Exemption Hawaii To file a home exemption claim, visit realpropertyhonolulu.com. If you live in your home or condo as your primary residence in honolulu county, which is the island of oahu, you need to claim your home exemption. An individual is entitled to the home exemption if the following criteria are met: S/he owns and occupies the property as his or her. Claim For Home Exemption Hawaii.
From www.hawaiiliving.com
Claim Your Honolulu Home Exemption & Save Big Oahu Real Estate Blog Claim For Home Exemption Hawaii An individual is entitled to the home exemption if the following criteria are met: To file a home exemption claim, visit realpropertyhonolulu.com. S/he owns and occupies the property as his or her principal. Claim forms are available at the real property assessment division, satellite city halls, and the city and county of honolulu’s. If you live in your home or. Claim For Home Exemption Hawaii.
From www.templateroller.com
Form N172 Fill Out, Sign Online and Download Fillable PDF, Hawaii Claim For Home Exemption Hawaii An individual is entitled to the home exemption if the following criteria are met: If you live in your home or condo as your primary residence in honolulu county, which is the island of oahu, you need to claim your home exemption. Claim forms are available at the real property assessment division, satellite city halls, and the city and county. Claim For Home Exemption Hawaii.
From www.ronswebsite.com
Hawaii General Excise Tax Everything You Need to Know Claim For Home Exemption Hawaii If you live in your home or condo as your primary residence in honolulu county, which is the island of oahu, you need to claim your home exemption. S/he owns and occupies the property as his or her principal. An individual is entitled to the home exemption if the following criteria are met: Claim forms are available at the real. Claim For Home Exemption Hawaii.
From deedforms.org
Hawaii Quit Claim Deed Form Deed Forms Deed Forms Claim For Home Exemption Hawaii If you live in your home or condo as your primary residence in honolulu county, which is the island of oahu, you need to claim your home exemption. An individual is entitled to the home exemption if the following criteria are met: To file a home exemption claim, visit realpropertyhonolulu.com. S/he owns and occupies the property as his or her. Claim For Home Exemption Hawaii.
From www.exemptform.com
State Of Hawaii Property Tax Exemption Form Claim For Home Exemption Hawaii If you live in your home or condo as your primary residence in honolulu county, which is the island of oahu, you need to claim your home exemption. An individual is entitled to the home exemption if the following criteria are met: To file a home exemption claim, visit realpropertyhonolulu.com. Claim forms are available at the real property assessment division,. Claim For Home Exemption Hawaii.
From www.dwellhawaii.com
2024 Honolulu Real Property Tax Guide Claim For Home Exemption Hawaii An individual is entitled to the home exemption if the following criteria are met: If you live in your home or condo as your primary residence in honolulu county, which is the island of oahu, you need to claim your home exemption. S/he owns and occupies the property as his or her principal. To file a home exemption claim, visit. Claim For Home Exemption Hawaii.
From www.islandlivinghomes.com
How and When to Claim Your Honolulu Home Exemption Claim For Home Exemption Hawaii S/he owns and occupies the property as his or her principal. An individual is entitled to the home exemption if the following criteria are met: Claim forms are available at the real property assessment division, satellite city halls, and the city and county of honolulu’s. To file a home exemption claim, visit realpropertyhonolulu.com. If you live in your home or. Claim For Home Exemption Hawaii.
From www.pdffiller.com
Fillable Online CLAIM FOR HOME EXEMPTION Honolulu Property Tax Fax Claim For Home Exemption Hawaii Claim forms are available at the real property assessment division, satellite city halls, and the city and county of honolulu’s. S/he owns and occupies the property as his or her principal. To file a home exemption claim, visit realpropertyhonolulu.com. If you live in your home or condo as your primary residence in honolulu county, which is the island of oahu,. Claim For Home Exemption Hawaii.