How To Make Multiple Threads In C . Learn how to implement multithreading in c using various libraries and apis, such as pthreads, windows threads, and c11 standard threads. This tutorial covers thread creation, synchronization,. Learn how to use pthread_cond_wait() and pthread_cond_signal() functions in c under linux to sleep and wake up threads. See examples of thread creation, termination,. Learn how to create and use threads in c with pthread library. Learn how to use threads in c for concurrent programming with the posix threads library. In fact, if you don't need the thread id for any purpose, (for joining or changing attributes etc.), you can create multiple threads using a. The pthread library provides functions to create, manage, and synchronize threads in c programs. Learn how to create and terminate threads in c using posix api. See an example code and output of printing hello world from multiple. See examples of global and static variables in threads and how to compile and.
from www.youtube.com
See examples of global and static variables in threads and how to compile and. This tutorial covers thread creation, synchronization,. See an example code and output of printing hello world from multiple. The pthread library provides functions to create, manage, and synchronize threads in c programs. Learn how to use pthread_cond_wait() and pthread_cond_signal() functions in c under linux to sleep and wake up threads. Learn how to create and use threads in c with pthread library. Learn how to implement multithreading in c using various libraries and apis, such as pthreads, windows threads, and c11 standard threads. Learn how to create and terminate threads in c using posix api. In fact, if you don't need the thread id for any purpose, (for joining or changing attributes etc.), you can create multiple threads using a. See examples of thread creation, termination,.
Multiple Chat Clients One Thread (in C++) YouTube
How To Make Multiple Threads In C Learn how to implement multithreading in c using various libraries and apis, such as pthreads, windows threads, and c11 standard threads. See examples of thread creation, termination,. Learn how to use threads in c for concurrent programming with the posix threads library. This tutorial covers thread creation, synchronization,. Learn how to use pthread_cond_wait() and pthread_cond_signal() functions in c under linux to sleep and wake up threads. In fact, if you don't need the thread id for any purpose, (for joining or changing attributes etc.), you can create multiple threads using a. See examples of global and static variables in threads and how to compile and. Learn how to create and use threads in c with pthread library. See an example code and output of printing hello world from multiple. Learn how to create and terminate threads in c using posix api. Learn how to implement multithreading in c using various libraries and apis, such as pthreads, windows threads, and c11 standard threads. The pthread library provides functions to create, manage, and synchronize threads in c programs.
From www.youtube.com
thread 1.Write a Python program to create multiple threads and print How To Make Multiple Threads In C Learn how to implement multithreading in c using various libraries and apis, such as pthreads, windows threads, and c11 standard threads. See examples of thread creation, termination,. This tutorial covers thread creation, synchronization,. Learn how to create and use threads in c with pthread library. Learn how to use pthread_cond_wait() and pthread_cond_signal() functions in c under linux to sleep and. How To Make Multiple Threads In C.
From www.mindstick.com
Threading in C MindStick How To Make Multiple Threads In C See examples of global and static variables in threads and how to compile and. In fact, if you don't need the thread id for any purpose, (for joining or changing attributes etc.), you can create multiple threads using a. Learn how to create and terminate threads in c using posix api. This tutorial covers thread creation, synchronization,. The pthread library. How To Make Multiple Threads In C.
From subscription.packtpub.com
Mastering C++ Multithreading How To Make Multiple Threads In C Learn how to implement multithreading in c using various libraries and apis, such as pthreads, windows threads, and c11 standard threads. This tutorial covers thread creation, synchronization,. Learn how to create and use threads in c with pthread library. See examples of global and static variables in threads and how to compile and. See an example code and output of. How To Make Multiple Threads In C.
From www.youtube.com
Python Multithreading Tutorial 2 How to Create New Threads YouTube How To Make Multiple Threads In C This tutorial covers thread creation, synchronization,. See an example code and output of printing hello world from multiple. Learn how to use pthread_cond_wait() and pthread_cond_signal() functions in c under linux to sleep and wake up threads. Learn how to create and use threads in c with pthread library. In fact, if you don't need the thread id for any purpose,. How To Make Multiple Threads In C.
From kholdstare.github.io
Objects and Threads in C++ and Qt (Part 1) How To Make Multiple Threads In C In fact, if you don't need the thread id for any purpose, (for joining or changing attributes etc.), you can create multiple threads using a. The pthread library provides functions to create, manage, and synchronize threads in c programs. Learn how to use pthread_cond_wait() and pthread_cond_signal() functions in c under linux to sleep and wake up threads. Learn how to. How To Make Multiple Threads In C.
From www.youtube.com
Multiple Chat Clients One Thread (in C++) YouTube How To Make Multiple Threads In C In fact, if you don't need the thread id for any purpose, (for joining or changing attributes etc.), you can create multiple threads using a. Learn how to use threads in c for concurrent programming with the posix threads library. This tutorial covers thread creation, synchronization,. Learn how to create and use threads in c with pthread library. Learn how. How To Make Multiple Threads In C.
From www.youtube.com
Computing 2^10,000 with multiple threads in C++ YouTube How To Make Multiple Threads In C See examples of thread creation, termination,. Learn how to use threads in c for concurrent programming with the posix threads library. Learn how to implement multithreading in c using various libraries and apis, such as pthreads, windows threads, and c11 standard threads. See an example code and output of printing hello world from multiple. Learn how to create and use. How To Make Multiple Threads In C.
From linuxhint.com
POSIX Thread with C Programming How To Make Multiple Threads In C The pthread library provides functions to create, manage, and synchronize threads in c programs. Learn how to create and terminate threads in c using posix api. See examples of thread creation, termination,. In fact, if you don't need the thread id for any purpose, (for joining or changing attributes etc.), you can create multiple threads using a. See examples of. How To Make Multiple Threads In C.
From www.chegg.com
Solved We have to use threads in c++. We have to use array How To Make Multiple Threads In C In fact, if you don't need the thread id for any purpose, (for joining or changing attributes etc.), you can create multiple threads using a. Learn how to use pthread_cond_wait() and pthread_cond_signal() functions in c under linux to sleep and wake up threads. This tutorial covers thread creation, synchronization,. The pthread library provides functions to create, manage, and synchronize threads. How To Make Multiple Threads In C.
From klafrohgm.blob.core.windows.net
Threading In C Example at Sallie Woods blog How To Make Multiple Threads In C The pthread library provides functions to create, manage, and synchronize threads in c programs. Learn how to implement multithreading in c using various libraries and apis, such as pthreads, windows threads, and c11 standard threads. In fact, if you don't need the thread id for any purpose, (for joining or changing attributes etc.), you can create multiple threads using a.. How To Make Multiple Threads In C.
From www.youtube.com
Creating Multiple Threads in Java using Thread class Java program to How To Make Multiple Threads In C Learn how to implement multithreading in c using various libraries and apis, such as pthreads, windows threads, and c11 standard threads. See examples of thread creation, termination,. Learn how to use pthread_cond_wait() and pthread_cond_signal() functions in c under linux to sleep and wake up threads. This tutorial covers thread creation, synchronization,. Learn how to use threads in c for concurrent. How To Make Multiple Threads In C.
From crunchify.com
How to Run Multiple Threads Concurrently in Java? ExecutorService How To Make Multiple Threads In C Learn how to create and use threads in c with pthread library. This tutorial covers thread creation, synchronization,. Learn how to use threads in c for concurrent programming with the posix threads library. In fact, if you don't need the thread id for any purpose, (for joining or changing attributes etc.), you can create multiple threads using a. Learn how. How To Make Multiple Threads In C.
From www.youtube.com
pthreads 2 Creating multiple threads YouTube How To Make Multiple Threads In C Learn how to create and terminate threads in c using posix api. See examples of thread creation, termination,. Learn how to use pthread_cond_wait() and pthread_cond_signal() functions in c under linux to sleep and wake up threads. See an example code and output of printing hello world from multiple. Learn how to create and use threads in c with pthread library.. How To Make Multiple Threads In C.
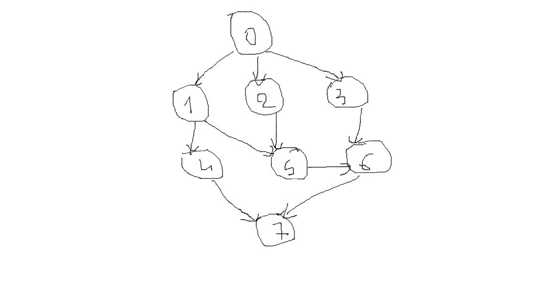
From stackoverflow.com
workflow How does one represent multiple threads in a flow chart How To Make Multiple Threads In C See examples of global and static variables in threads and how to compile and. Learn how to create and terminate threads in c using posix api. The pthread library provides functions to create, manage, and synchronize threads in c programs. Learn how to use pthread_cond_wait() and pthread_cond_signal() functions in c under linux to sleep and wake up threads. Learn how. How To Make Multiple Threads In C.
From www.youtube.com
windows multithreading in C in 5 min YouTube How To Make Multiple Threads In C Learn how to create and use threads in c with pthread library. In fact, if you don't need the thread id for any purpose, (for joining or changing attributes etc.), you can create multiple threads using a. This tutorial covers thread creation, synchronization,. Learn how to create and terminate threads in c using posix api. The pthread library provides functions. How To Make Multiple Threads In C.
From paulchinns.blogspot.com
Matrix Multiplication Program In C Using Threads Paul Chinn's How To Make Multiple Threads In C Learn how to create and terminate threads in c using posix api. See examples of thread creation, termination,. The pthread library provides functions to create, manage, and synchronize threads in c programs. See an example code and output of printing hello world from multiple. Learn how to create and use threads in c with pthread library. See examples of global. How To Make Multiple Threads In C.
From www.baeldung.com
The Difference Between Asynchronous and MultiThreading Baeldung on How To Make Multiple Threads In C Learn how to create and use threads in c with pthread library. This tutorial covers thread creation, synchronization,. See an example code and output of printing hello world from multiple. Learn how to use threads in c for concurrent programming with the posix threads library. In fact, if you don't need the thread id for any purpose, (for joining or. How To Make Multiple Threads In C.
From www.technicalfeeder.com
Python How to create multiple Threads for async Technical Feeder How To Make Multiple Threads In C See examples of thread creation, termination,. This tutorial covers thread creation, synchronization,. Learn how to use pthread_cond_wait() and pthread_cond_signal() functions in c under linux to sleep and wake up threads. Learn how to create and terminate threads in c using posix api. See examples of global and static variables in threads and how to compile and. Learn how to implement. How To Make Multiple Threads In C.
From stackoverflow.com
c++ Share OpenGLContext between multiple threads Stack Overflow How To Make Multiple Threads In C See examples of thread creation, termination,. This tutorial covers thread creation, synchronization,. The pthread library provides functions to create, manage, and synchronize threads in c programs. Learn how to use threads in c for concurrent programming with the posix threads library. Learn how to use pthread_cond_wait() and pthread_cond_signal() functions in c under linux to sleep and wake up threads. See. How To Make Multiple Threads In C.
From www.youtube.com
Write a Python program to create multiple threads and print their names How To Make Multiple Threads In C Learn how to implement multithreading in c using various libraries and apis, such as pthreads, windows threads, and c11 standard threads. Learn how to use pthread_cond_wait() and pthread_cond_signal() functions in c under linux to sleep and wake up threads. This tutorial covers thread creation, synchronization,. See an example code and output of printing hello world from multiple. In fact, if. How To Make Multiple Threads In C.
From www.milania.de
C++ class for easy parallelization of for loops Milania's Blog How To Make Multiple Threads In C Learn how to create and use threads in c with pthread library. See an example code and output of printing hello world from multiple. Learn how to use pthread_cond_wait() and pthread_cond_signal() functions in c under linux to sleep and wake up threads. In fact, if you don't need the thread id for any purpose, (for joining or changing attributes etc.),. How To Make Multiple Threads In C.
From stackoverflow.com
multithreading creating multiple threads in C issue Stack Overflow How To Make Multiple Threads In C Learn how to use pthread_cond_wait() and pthread_cond_signal() functions in c under linux to sleep and wake up threads. Learn how to create and use threads in c with pthread library. See an example code and output of printing hello world from multiple. See examples of global and static variables in threads and how to compile and. This tutorial covers thread. How To Make Multiple Threads In C.
From stackoverflow.com
multithreading How to assign task to specific thread in C++ Stack How To Make Multiple Threads In C See examples of global and static variables in threads and how to compile and. Learn how to implement multithreading in c using various libraries and apis, such as pthreads, windows threads, and c11 standard threads. See an example code and output of printing hello world from multiple. This tutorial covers thread creation, synchronization,. See examples of thread creation, termination,. In. How To Make Multiple Threads In C.
From exoqznzmr.blob.core.windows.net
What Is Process MultiThreading at Patty Lawson blog How To Make Multiple Threads In C The pthread library provides functions to create, manage, and synchronize threads in c programs. See examples of thread creation, termination,. See examples of global and static variables in threads and how to compile and. Learn how to implement multithreading in c using various libraries and apis, such as pthreads, windows threads, and c11 standard threads. See an example code and. How To Make Multiple Threads In C.
From klafrohgm.blob.core.windows.net
Threading In C Example at Sallie Woods blog How To Make Multiple Threads In C See examples of global and static variables in threads and how to compile and. See examples of thread creation, termination,. Learn how to use threads in c for concurrent programming with the posix threads library. See an example code and output of printing hello world from multiple. Learn how to create and terminate threads in c using posix api. The. How To Make Multiple Threads In C.
From www.chegg.com
Solved Write a C program that will create multiple threads How To Make Multiple Threads In C Learn how to create and use threads in c with pthread library. See examples of global and static variables in threads and how to compile and. Learn how to implement multithreading in c using various libraries and apis, such as pthreads, windows threads, and c11 standard threads. Learn how to create and terminate threads in c using posix api. The. How To Make Multiple Threads In C.
From www.educba.com
Multithreading in C A Quick Glance To Multithreading in C How To Make Multiple Threads In C Learn how to use pthread_cond_wait() and pthread_cond_signal() functions in c under linux to sleep and wake up threads. In fact, if you don't need the thread id for any purpose, (for joining or changing attributes etc.), you can create multiple threads using a. See an example code and output of printing hello world from multiple. See examples of thread creation,. How To Make Multiple Threads In C.
From www.becomebetterprogrammer.com
Is Node.js SingleThreaded or MultiThreaded? and Why? A How To Make Multiple Threads In C Learn how to create and terminate threads in c using posix api. Learn how to implement multithreading in c using various libraries and apis, such as pthreads, windows threads, and c11 standard threads. In fact, if you don't need the thread id for any purpose, (for joining or changing attributes etc.), you can create multiple threads using a. Learn how. How To Make Multiple Threads In C.
From klafrohgm.blob.core.windows.net
Threading In C Example at Sallie Woods blog How To Make Multiple Threads In C Learn how to use threads in c for concurrent programming with the posix threads library. Learn how to create and terminate threads in c using posix api. The pthread library provides functions to create, manage, and synchronize threads in c programs. See examples of thread creation, termination,. See an example code and output of printing hello world from multiple. See. How To Make Multiple Threads In C.
From www.devsurvival.com
Multithreaded Programming in C devsurvival How To Make Multiple Threads In C See an example code and output of printing hello world from multiple. In fact, if you don't need the thread id for any purpose, (for joining or changing attributes etc.), you can create multiple threads using a. The pthread library provides functions to create, manage, and synchronize threads in c programs. Learn how to use pthread_cond_wait() and pthread_cond_signal() functions in. How To Make Multiple Threads In C.
From iq.opengenus.org
Threads in C++ How To Make Multiple Threads In C See an example code and output of printing hello world from multiple. In fact, if you don't need the thread id for any purpose, (for joining or changing attributes etc.), you can create multiple threads using a. See examples of global and static variables in threads and how to compile and. Learn how to create and terminate threads in c. How To Make Multiple Threads In C.
From stackoverflow.com
workflow How does one represent multiple threads in a flow chart How To Make Multiple Threads In C See an example code and output of printing hello world from multiple. The pthread library provides functions to create, manage, and synchronize threads in c programs. Learn how to create and use threads in c with pthread library. In fact, if you don't need the thread id for any purpose, (for joining or changing attributes etc.), you can create multiple. How To Make Multiple Threads In C.
From www.scaler.com
What is multithreading in c? Scaler Topics How To Make Multiple Threads In C In fact, if you don't need the thread id for any purpose, (for joining or changing attributes etc.), you can create multiple threads using a. Learn how to use threads in c for concurrent programming with the posix threads library. See an example code and output of printing hello world from multiple. Learn how to use pthread_cond_wait() and pthread_cond_signal() functions. How To Make Multiple Threads In C.
From www.youtube.com
C++ MultiThreading Tutorial using C++ Standard Thread Library YouTube How To Make Multiple Threads In C See examples of global and static variables in threads and how to compile and. In fact, if you don't need the thread id for any purpose, (for joining or changing attributes etc.), you can create multiple threads using a. This tutorial covers thread creation, synchronization,. Learn how to implement multithreading in c using various libraries and apis, such as pthreads,. How To Make Multiple Threads In C.
From klafrohgm.blob.core.windows.net
Threading In C Example at Sallie Woods blog How To Make Multiple Threads In C Learn how to use pthread_cond_wait() and pthread_cond_signal() functions in c under linux to sleep and wake up threads. See examples of thread creation, termination,. See examples of global and static variables in threads and how to compile and. Learn how to use threads in c for concurrent programming with the posix threads library. Learn how to implement multithreading in c. How To Make Multiple Threads In C.