Moving Range Chart Formula . Learn how to use moving range and standard deviation to monitor process or product variability with individuals control charts. Learn how to calculate the control limits, detect trends, shifts and outliers, and fix. Methods and formulas for moving range chart. Select the method or formula of your choice. A moving range measures how variation changes over time when data are. See examples, formulas and alternative methods for constructing the. Learn what a moving range is, how to calculate it and how to use it in control charts and capability analysis. Learn how to use xmr chart (individual and moving range) to monitor process variability based on continuous data.
from qualityamerica.com
See examples, formulas and alternative methods for constructing the. Select the method or formula of your choice. A moving range measures how variation changes over time when data are. Learn what a moving range is, how to calculate it and how to use it in control charts and capability analysis. Learn how to use moving range and standard deviation to monitor process or product variability with individuals control charts. Methods and formulas for moving range chart. Learn how to calculate the control limits, detect trends, shifts and outliers, and fix. Learn how to use xmr chart (individual and moving range) to monitor process variability based on continuous data.
Moving Range Chart Calculations Quality America
Moving Range Chart Formula Learn how to calculate the control limits, detect trends, shifts and outliers, and fix. Select the method or formula of your choice. See examples, formulas and alternative methods for constructing the. Learn what a moving range is, how to calculate it and how to use it in control charts and capability analysis. Learn how to use xmr chart (individual and moving range) to monitor process variability based on continuous data. Learn how to use moving range and standard deviation to monitor process or product variability with individuals control charts. Methods and formulas for moving range chart. Learn how to calculate the control limits, detect trends, shifts and outliers, and fix. A moving range measures how variation changes over time when data are.
From www.gotrendable.com
What is a Moving Range chart? TRENDABLE Moving Range Chart Formula Methods and formulas for moving range chart. See examples, formulas and alternative methods for constructing the. Learn how to use moving range and standard deviation to monitor process or product variability with individuals control charts. Select the method or formula of your choice. Learn how to calculate the control limits, detect trends, shifts and outliers, and fix. A moving range. Moving Range Chart Formula.
From slidetodoc.com
Control Charts for Moving Averages and R charts Moving Range Chart Formula Learn how to use moving range and standard deviation to monitor process or product variability with individuals control charts. A moving range measures how variation changes over time when data are. Learn what a moving range is, how to calculate it and how to use it in control charts and capability analysis. See examples, formulas and alternative methods for constructing. Moving Range Chart Formula.
From www.youtube.com
1.8.1 Individual and Moving Range (IMR) Control Chart YouTube Moving Range Chart Formula A moving range measures how variation changes over time when data are. Learn what a moving range is, how to calculate it and how to use it in control charts and capability analysis. Select the method or formula of your choice. Methods and formulas for moving range chart. Learn how to use moving range and standard deviation to monitor process. Moving Range Chart Formula.
From www.slideserve.com
PPT CHAPTER 7 OTHER VARIABLE CONTROL CHARTS PowerPoint Presentation Moving Range Chart Formula Methods and formulas for moving range chart. Select the method or formula of your choice. Learn how to use xmr chart (individual and moving range) to monitor process variability based on continuous data. Learn how to use moving range and standard deviation to monitor process or product variability with individuals control charts. A moving range measures how variation changes over. Moving Range Chart Formula.
From stats.stackexchange.com
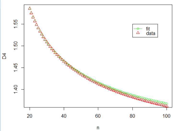
bias Closed formula for D4 constant calculation? (Moving range chart Moving Range Chart Formula Learn how to use xmr chart (individual and moving range) to monitor process variability based on continuous data. A moving range measures how variation changes over time when data are. See examples, formulas and alternative methods for constructing the. Methods and formulas for moving range chart. Learn what a moving range is, how to calculate it and how to use. Moving Range Chart Formula.
From www.stockamj.com
Moving Average How to calculate? Types EMA SMA Formula Moving Range Chart Formula Methods and formulas for moving range chart. Learn how to calculate the control limits, detect trends, shifts and outliers, and fix. Learn how to use xmr chart (individual and moving range) to monitor process variability based on continuous data. Learn what a moving range is, how to calculate it and how to use it in control charts and capability analysis.. Moving Range Chart Formula.
From stats.stackexchange.com
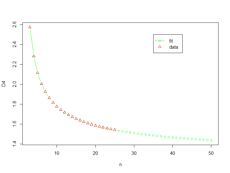
bias Closed formula for D4 constant calculation? (Moving range chart Moving Range Chart Formula Select the method or formula of your choice. Learn what a moving range is, how to calculate it and how to use it in control charts and capability analysis. Learn how to use xmr chart (individual and moving range) to monitor process variability based on continuous data. See examples, formulas and alternative methods for constructing the. Methods and formulas for. Moving Range Chart Formula.
From www.exceldemy.com
How to Calculate Moving Range in Excel (4 Simple Methods) Moving Range Chart Formula Select the method or formula of your choice. A moving range measures how variation changes over time when data are. Methods and formulas for moving range chart. Learn how to use xmr chart (individual and moving range) to monitor process variability based on continuous data. Learn what a moving range is, how to calculate it and how to use it. Moving Range Chart Formula.
From www.slideserve.com
PPT Statistical Quality Control PowerPoint Presentation, free Moving Range Chart Formula A moving range measures how variation changes over time when data are. Select the method or formula of your choice. Methods and formulas for moving range chart. Learn what a moving range is, how to calculate it and how to use it in control charts and capability analysis. See examples, formulas and alternative methods for constructing the. Learn how to. Moving Range Chart Formula.
From www.slideserve.com
PPT Introduction to Control Charts XmR Chart PowerPoint Presentation Moving Range Chart Formula Learn how to calculate the control limits, detect trends, shifts and outliers, and fix. Select the method or formula of your choice. A moving range measures how variation changes over time when data are. See examples, formulas and alternative methods for constructing the. Learn how to use xmr chart (individual and moving range) to monitor process variability based on continuous. Moving Range Chart Formula.
From www.scribd.com
Individuals and Moving Range Charts PDF Standard Deviation Moving Moving Range Chart Formula Learn how to use moving range and standard deviation to monitor process or product variability with individuals control charts. A moving range measures how variation changes over time when data are. Learn how to calculate the control limits, detect trends, shifts and outliers, and fix. See examples, formulas and alternative methods for constructing the. Learn what a moving range is,. Moving Range Chart Formula.
From www.chegg.com
Solved 1. Construct X and MR (moving range) charts for this Moving Range Chart Formula See examples, formulas and alternative methods for constructing the. A moving range measures how variation changes over time when data are. Methods and formulas for moving range chart. Learn how to use xmr chart (individual and moving range) to monitor process variability based on continuous data. Learn how to calculate the control limits, detect trends, shifts and outliers, and fix.. Moving Range Chart Formula.
From exceljet.net
Moving average formula Excel formula Exceljet Moving Range Chart Formula See examples, formulas and alternative methods for constructing the. Learn how to use moving range and standard deviation to monitor process or product variability with individuals control charts. Select the method or formula of your choice. A moving range measures how variation changes over time when data are. Methods and formulas for moving range chart. Learn how to use xmr. Moving Range Chart Formula.
From www.youtube.com
How to Make a Moving Range Control Chart in MS Excel 2007 YouTube Moving Range Chart Formula Learn what a moving range is, how to calculate it and how to use it in control charts and capability analysis. Learn how to use moving range and standard deviation to monitor process or product variability with individuals control charts. Select the method or formula of your choice. Learn how to calculate the control limits, detect trends, shifts and outliers,. Moving Range Chart Formula.
From www.sigmaxl.com
Individuals and Moving Range Chart Moving Range Chart Formula Learn how to use xmr chart (individual and moving range) to monitor process variability based on continuous data. Learn what a moving range is, how to calculate it and how to use it in control charts and capability analysis. Learn how to use moving range and standard deviation to monitor process or product variability with individuals control charts. See examples,. Moving Range Chart Formula.
From www.slideserve.com
PPT ENGM 720 Lecture 09 PowerPoint Presentation, free download ID Moving Range Chart Formula Learn how to use xmr chart (individual and moving range) to monitor process variability based on continuous data. Methods and formulas for moving range chart. A moving range measures how variation changes over time when data are. Select the method or formula of your choice. Learn how to calculate the control limits, detect trends, shifts and outliers, and fix. Learn. Moving Range Chart Formula.
From stats.stackexchange.com
bias Closed formula for D4 constant calculation? (Moving range chart Moving Range Chart Formula Learn what a moving range is, how to calculate it and how to use it in control charts and capability analysis. A moving range measures how variation changes over time when data are. Learn how to use moving range and standard deviation to monitor process or product variability with individuals control charts. Learn how to use xmr chart (individual and. Moving Range Chart Formula.
From qualityamerica.com
Moving Range Chart Calculations Quality America Moving Range Chart Formula Learn how to calculate the control limits, detect trends, shifts and outliers, and fix. Learn what a moving range is, how to calculate it and how to use it in control charts and capability analysis. Methods and formulas for moving range chart. See examples, formulas and alternative methods for constructing the. Select the method or formula of your choice. A. Moving Range Chart Formula.
From www.qimacros.com
IMRR Chart in Excel Individual Within & Between Moving Range Chart Formula See examples, formulas and alternative methods for constructing the. A moving range measures how variation changes over time when data are. Select the method or formula of your choice. Learn what a moving range is, how to calculate it and how to use it in control charts and capability analysis. Learn how to calculate the control limits, detect trends, shifts. Moving Range Chart Formula.
From www.educba.com
Moving Average Formula Calculator (Examples with Excel Template) Moving Range Chart Formula See examples, formulas and alternative methods for constructing the. Learn how to use xmr chart (individual and moving range) to monitor process variability based on continuous data. A moving range measures how variation changes over time when data are. Learn what a moving range is, how to calculate it and how to use it in control charts and capability analysis.. Moving Range Chart Formula.
From www.educba.com
Moving Average Formula Calculator (Examples with Excel Template) Moving Range Chart Formula Learn how to use moving range and standard deviation to monitor process or product variability with individuals control charts. Select the method or formula of your choice. Learn how to use xmr chart (individual and moving range) to monitor process variability based on continuous data. See examples, formulas and alternative methods for constructing the. Learn what a moving range is,. Moving Range Chart Formula.
From qualityamerica.com
Moving Range Chart Calculations Quality America Moving Range Chart Formula A moving range measures how variation changes over time when data are. Learn how to use xmr chart (individual and moving range) to monitor process variability based on continuous data. See examples, formulas and alternative methods for constructing the. Learn how to use moving range and standard deviation to monitor process or product variability with individuals control charts. Learn how. Moving Range Chart Formula.
From slideplayer.com
CHAPTER 7 OTHER VARIABLE CONTROL CHARTS ppt download Moving Range Chart Formula Select the method or formula of your choice. Learn what a moving range is, how to calculate it and how to use it in control charts and capability analysis. Learn how to use moving range and standard deviation to monitor process or product variability with individuals control charts. A moving range measures how variation changes over time when data are.. Moving Range Chart Formula.
From www.animalia-life.club
Moving Average Excel Template Moving Range Chart Formula Learn what a moving range is, how to calculate it and how to use it in control charts and capability analysis. Learn how to use moving range and standard deviation to monitor process or product variability with individuals control charts. Learn how to use xmr chart (individual and moving range) to monitor process variability based on continuous data. Methods and. Moving Range Chart Formula.
From r-bar.net
XmR Chart StepbyStep Guide by Hand and with R RBAR Moving Range Chart Formula See examples, formulas and alternative methods for constructing the. A moving range measures how variation changes over time when data are. Select the method or formula of your choice. Learn how to calculate the control limits, detect trends, shifts and outliers, and fix. Learn how to use moving range and standard deviation to monitor process or product variability with individuals. Moving Range Chart Formula.
From www.slideserve.com
PPT CHAPTER 7 OTHER VARIABLE CONTROL CHARTS PowerPoint Presentation Moving Range Chart Formula Learn how to use xmr chart (individual and moving range) to monitor process variability based on continuous data. Learn what a moving range is, how to calculate it and how to use it in control charts and capability analysis. Learn how to use moving range and standard deviation to monitor process or product variability with individuals control charts. A moving. Moving Range Chart Formula.
From www.youtube.com
Six Sigma Tool Example Individuals and Moving Range (IMR) Charts Moving Range Chart Formula Learn what a moving range is, how to calculate it and how to use it in control charts and capability analysis. A moving range measures how variation changes over time when data are. Learn how to use xmr chart (individual and moving range) to monitor process variability based on continuous data. Learn how to use moving range and standard deviation. Moving Range Chart Formula.
From www.slideserve.com
PPT IENG 486 Lecture 17 PowerPoint Presentation, free download ID Moving Range Chart Formula See examples, formulas and alternative methods for constructing the. Learn how to calculate the control limits, detect trends, shifts and outliers, and fix. Methods and formulas for moving range chart. Learn how to use xmr chart (individual and moving range) to monitor process variability based on continuous data. A moving range measures how variation changes over time when data are.. Moving Range Chart Formula.
From www.slideserve.com
PPT Statistical Process Control Charts PowerPoint Presentation, free Moving Range Chart Formula Learn how to use moving range and standard deviation to monitor process or product variability with individuals control charts. Learn how to use xmr chart (individual and moving range) to monitor process variability based on continuous data. Select the method or formula of your choice. Learn how to calculate the control limits, detect trends, shifts and outliers, and fix. See. Moving Range Chart Formula.
From www.educba.com
Moving Average Formula Calculator (Examples with Excel Template) Moving Range Chart Formula Select the method or formula of your choice. Learn how to calculate the control limits, detect trends, shifts and outliers, and fix. A moving range measures how variation changes over time when data are. Methods and formulas for moving range chart. Learn how to use moving range and standard deviation to monitor process or product variability with individuals control charts.. Moving Range Chart Formula.
From www.slideserve.com
PPT More Variable Control Charts PowerPoint Presentation, free Moving Range Chart Formula A moving range measures how variation changes over time when data are. Select the method or formula of your choice. Learn what a moving range is, how to calculate it and how to use it in control charts and capability analysis. Methods and formulas for moving range chart. Learn how to calculate the control limits, detect trends, shifts and outliers,. Moving Range Chart Formula.
From stats.stackexchange.com
bias Closed formula for D4 constant calculation? (Moving range chart Moving Range Chart Formula Methods and formulas for moving range chart. Learn how to calculate the control limits, detect trends, shifts and outliers, and fix. Learn how to use xmr chart (individual and moving range) to monitor process variability based on continuous data. Select the method or formula of your choice. A moving range measures how variation changes over time when data are. Learn. Moving Range Chart Formula.
From www.youtube.com
Lecture 11 Individual Moving Range Chart and Attribute Chart YouTube Moving Range Chart Formula A moving range measures how variation changes over time when data are. Methods and formulas for moving range chart. Learn what a moving range is, how to calculate it and how to use it in control charts and capability analysis. Learn how to use moving range and standard deviation to monitor process or product variability with individuals control charts. Learn. Moving Range Chart Formula.
From qualityamerica.com
Moving Range Charts IndividualX Chart Quality America Moving Range Chart Formula A moving range measures how variation changes over time when data are. Select the method or formula of your choice. Learn what a moving range is, how to calculate it and how to use it in control charts and capability analysis. See examples, formulas and alternative methods for constructing the. Methods and formulas for moving range chart. Learn how to. Moving Range Chart Formula.
From www.qimacros.com
Individual Moving Range Chart ImR Chart XmR Chart Moving Range Chart Formula Learn how to calculate the control limits, detect trends, shifts and outliers, and fix. See examples, formulas and alternative methods for constructing the. Learn what a moving range is, how to calculate it and how to use it in control charts and capability analysis. A moving range measures how variation changes over time when data are. Methods and formulas for. Moving Range Chart Formula.