Calcium Phosphate Ksp . at 25°c and ph 7.00, ksp for calcium phosphate is 2.07 × 10 −33 , indicating that the concentrations of ca 2+ and po 43−. Ksp solubility constant for common salts. It may be determined by direct. 176 rows the k sp values are indicators of the solubility of compounds. A solute is soluble if more. the solubility product constant, or ksp, is the equilibrium constant of a solute dissolving in a solvent to form a solution. Solubility of salts (ions) ›. sp k is a useful parameter for calculating the aqueous solubility of sparingly soluble compounds under various conditions. A small value of k sp indicates a insoluble substance. Ionic compound formula k sp. when a slightly soluble ionic compound is added to water, some of it dissolves to form a solution, establishing an equilibrium. 176 rows k sp is indicating the maximum concentration of the solved ionic substace in water at the actual (stable) temperature. solubility product constants near 25 °c.
from www.numerade.com
the solubility product constant, or ksp, is the equilibrium constant of a solute dissolving in a solvent to form a solution. 176 rows the k sp values are indicators of the solubility of compounds. Solubility of salts (ions) ›. A solute is soluble if more. Ksp solubility constant for common salts. A small value of k sp indicates a insoluble substance. Ionic compound formula k sp. at 25°c and ph 7.00, ksp for calcium phosphate is 2.07 × 10 −33 , indicating that the concentrations of ca 2+ and po 43−. 176 rows k sp is indicating the maximum concentration of the solved ionic substace in water at the actual (stable) temperature. It may be determined by direct.
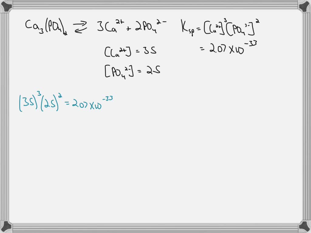
SOLVED VU tnC equivalence point, what is the Q3. The solubility
Calcium Phosphate Ksp Solubility of salts (ions) ›. 176 rows the k sp values are indicators of the solubility of compounds. A small value of k sp indicates a insoluble substance. solubility product constants near 25 °c. It may be determined by direct. 176 rows k sp is indicating the maximum concentration of the solved ionic substace in water at the actual (stable) temperature. Ksp solubility constant for common salts. sp k is a useful parameter for calculating the aqueous solubility of sparingly soluble compounds under various conditions. the solubility product constant, or ksp, is the equilibrium constant of a solute dissolving in a solvent to form a solution. at 25°c and ph 7.00, ksp for calcium phosphate is 2.07 × 10 −33 , indicating that the concentrations of ca 2+ and po 43−. A solute is soluble if more. when a slightly soluble ionic compound is added to water, some of it dissolves to form a solution, establishing an equilibrium. Ionic compound formula k sp. Solubility of salts (ions) ›.
From www.numerade.com
SOLVED [Review Topica] [References] Use the References to access Calcium Phosphate Ksp when a slightly soluble ionic compound is added to water, some of it dissolves to form a solution, establishing an equilibrium. 176 rows k sp is indicating the maximum concentration of the solved ionic substace in water at the actual (stable) temperature. It may be determined by direct. Ksp solubility constant for common salts. 176 rows the. Calcium Phosphate Ksp.
From www.numerade.com
SOLVED The Ksp for calcium phosphate, Ca3(PO4)2, is 2.07x1033. If 8.5 Calcium Phosphate Ksp the solubility product constant, or ksp, is the equilibrium constant of a solute dissolving in a solvent to form a solution. when a slightly soluble ionic compound is added to water, some of it dissolves to form a solution, establishing an equilibrium. 176 rows the k sp values are indicators of the solubility of compounds. It may. Calcium Phosphate Ksp.
From www.numerade.com
SOLVED7) (8 points) (a) Calculate the molar solubility of calcium Calcium Phosphate Ksp when a slightly soluble ionic compound is added to water, some of it dissolves to form a solution, establishing an equilibrium. solubility product constants near 25 °c. 176 rows the k sp values are indicators of the solubility of compounds. 176 rows k sp is indicating the maximum concentration of the solved ionic substace in water. Calcium Phosphate Ksp.
From www.researchgate.net
Supersaturation degree for calcium citrate hexahydrate as defined as Calcium Phosphate Ksp when a slightly soluble ionic compound is added to water, some of it dissolves to form a solution, establishing an equilibrium. solubility product constants near 25 °c. A small value of k sp indicates a insoluble substance. Solubility of salts (ions) ›. at 25°c and ph 7.00, ksp for calcium phosphate is 2.07 × 10 −33 ,. Calcium Phosphate Ksp.
From www.slideserve.com
PPT Solubility PowerPoint Presentation, free download ID6260427 Calcium Phosphate Ksp solubility product constants near 25 °c. sp k is a useful parameter for calculating the aqueous solubility of sparingly soluble compounds under various conditions. 176 rows k sp is indicating the maximum concentration of the solved ionic substace in water at the actual (stable) temperature. A small value of k sp indicates a insoluble substance. A solute. Calcium Phosphate Ksp.
From www.researchgate.net
Calcium phosphate compounds and their solubility product constants at Calcium Phosphate Ksp 176 rows k sp is indicating the maximum concentration of the solved ionic substace in water at the actual (stable) temperature. when a slightly soluble ionic compound is added to water, some of it dissolves to form a solution, establishing an equilibrium. solubility product constants near 25 °c. sp k is a useful parameter for calculating. Calcium Phosphate Ksp.
From www.numerade.com
SOLVEDCalculate the molar solubility of the following compounds (a Calcium Phosphate Ksp 176 rows k sp is indicating the maximum concentration of the solved ionic substace in water at the actual (stable) temperature. 176 rows the k sp values are indicators of the solubility of compounds. A small value of k sp indicates a insoluble substance. solubility product constants near 25 °c. Ionic compound formula k sp. Solubility of. Calcium Phosphate Ksp.
From www.numerade.com
SOLVED Calcium phosphate Ca3(PO4)2 has a solubility of 0.0020 g in 100 Calcium Phosphate Ksp A small value of k sp indicates a insoluble substance. It may be determined by direct. when a slightly soluble ionic compound is added to water, some of it dissolves to form a solution, establishing an equilibrium. 176 rows k sp is indicating the maximum concentration of the solved ionic substace in water at the actual (stable) temperature.. Calcium Phosphate Ksp.
From www.researchgate.net
Composition and solubility constant of calcium phosphates. Download Table Calcium Phosphate Ksp solubility product constants near 25 °c. the solubility product constant, or ksp, is the equilibrium constant of a solute dissolving in a solvent to form a solution. Solubility of salts (ions) ›. when a slightly soluble ionic compound is added to water, some of it dissolves to form a solution, establishing an equilibrium. A solute is soluble. Calcium Phosphate Ksp.
From www.researchgate.net
(PDF) The Use of Calcium PhosphateBased Starter Pellets for the Calcium Phosphate Ksp A solute is soluble if more. Ionic compound formula k sp. 176 rows the k sp values are indicators of the solubility of compounds. when a slightly soluble ionic compound is added to water, some of it dissolves to form a solution, establishing an equilibrium. Solubility of salts (ions) ›. the solubility product constant, or ksp, is. Calcium Phosphate Ksp.
From www.numerade.com
SOLVED [Review Topica] [References] Use the References to access Calcium Phosphate Ksp solubility product constants near 25 °c. It may be determined by direct. 176 rows k sp is indicating the maximum concentration of the solved ionic substace in water at the actual (stable) temperature. A small value of k sp indicates a insoluble substance. Solubility of salts (ions) ›. 176 rows the k sp values are indicators of. Calcium Phosphate Ksp.
From www.nutrihairun.com
calcium phosphate Calcium Phosphate Ksp Ksp solubility constant for common salts. A solute is soluble if more. 176 rows k sp is indicating the maximum concentration of the solved ionic substace in water at the actual (stable) temperature. at 25°c and ph 7.00, ksp for calcium phosphate is 2.07 × 10 −33 , indicating that the concentrations of ca 2+ and po 43−.. Calcium Phosphate Ksp.
From www.numerade.com
SOLVED The Ksp for calcium phosphate, Ca3(PO4)2, is 2.07x1033. If 8.5 Calcium Phosphate Ksp 176 rows k sp is indicating the maximum concentration of the solved ionic substace in water at the actual (stable) temperature. sp k is a useful parameter for calculating the aqueous solubility of sparingly soluble compounds under various conditions. A small value of k sp indicates a insoluble substance. It may be determined by direct. the solubility. Calcium Phosphate Ksp.
From www.ingredientsnetwork.com
Tri Calcium Phosphate [E341(iii)] Vijay Enterprises Ingredients Network Calcium Phosphate Ksp Ksp solubility constant for common salts. solubility product constants near 25 °c. 176 rows the k sp values are indicators of the solubility of compounds. Solubility of salts (ions) ›. 176 rows k sp is indicating the maximum concentration of the solved ionic substace in water at the actual (stable) temperature. Ionic compound formula k sp. . Calcium Phosphate Ksp.
From www.numerade.com
SOLVED VU tnC equivalence point, what is the Q3. The solubility Calcium Phosphate Ksp A small value of k sp indicates a insoluble substance. 176 rows the k sp values are indicators of the solubility of compounds. It may be determined by direct. at 25°c and ph 7.00, ksp for calcium phosphate is 2.07 × 10 −33 , indicating that the concentrations of ca 2+ and po 43−. 176 rows k. Calcium Phosphate Ksp.
From www.coursehero.com
[Solved] 8. The solubility of calcium phosphate Cas(PO4)2 is found to Calcium Phosphate Ksp 176 rows k sp is indicating the maximum concentration of the solved ionic substace in water at the actual (stable) temperature. solubility product constants near 25 °c. 176 rows the k sp values are indicators of the solubility of compounds. when a slightly soluble ionic compound is added to water, some of it dissolves to form. Calcium Phosphate Ksp.
From www.justanswer.com
Chemistry Homework The Ksp of calcium phosphate (Ca3(PO4)2) is about 10 Calcium Phosphate Ksp Solubility of salts (ions) ›. Ionic compound formula k sp. when a slightly soluble ionic compound is added to water, some of it dissolves to form a solution, establishing an equilibrium. 176 rows k sp is indicating the maximum concentration of the solved ionic substace in water at the actual (stable) temperature. 176 rows the k sp. Calcium Phosphate Ksp.
From www.numerade.com
SOLVED calculate the concentration (ppm) of calcium ion in a saturated Calcium Phosphate Ksp It may be determined by direct. solubility product constants near 25 °c. Ionic compound formula k sp. sp k is a useful parameter for calculating the aqueous solubility of sparingly soluble compounds under various conditions. Ksp solubility constant for common salts. the solubility product constant, or ksp, is the equilibrium constant of a solute dissolving in a. Calcium Phosphate Ksp.
From www.researchgate.net
Representative SEM images of surfacefunctionalized calcium phosphate Calcium Phosphate Ksp Ksp solubility constant for common salts. A solute is soluble if more. solubility product constants near 25 °c. the solubility product constant, or ksp, is the equilibrium constant of a solute dissolving in a solvent to form a solution. 176 rows k sp is indicating the maximum concentration of the solved ionic substace in water at the. Calcium Phosphate Ksp.
From www.youtube.com
Writing the Formula for Calcium Phosphate YouTube Calcium Phosphate Ksp the solubility product constant, or ksp, is the equilibrium constant of a solute dissolving in a solvent to form a solution. Ionic compound formula k sp. Solubility of salts (ions) ›. A solute is soluble if more. 176 rows k sp is indicating the maximum concentration of the solved ionic substace in water at the actual (stable) temperature.. Calcium Phosphate Ksp.
From www.numerade.com
SOLVED 7 Write the Ksp expression for a. Calcium phosphate b. Lead Calcium Phosphate Ksp Ionic compound formula k sp. solubility product constants near 25 °c. A solute is soluble if more. Solubility of salts (ions) ›. Ksp solubility constant for common salts. A small value of k sp indicates a insoluble substance. 176 rows the k sp values are indicators of the solubility of compounds. sp k is a useful parameter. Calcium Phosphate Ksp.
From www.numerade.com
SOLVEDSparingly soluble calcium phosphate dissolves in water to yield Calcium Phosphate Ksp 176 rows k sp is indicating the maximum concentration of the solved ionic substace in water at the actual (stable) temperature. A small value of k sp indicates a insoluble substance. solubility product constants near 25 °c. the solubility product constant, or ksp, is the equilibrium constant of a solute dissolving in a solvent to form a. Calcium Phosphate Ksp.
From www.nutrihairun.com
Manufacturer of Excipients Di Calcium Phosphate (Food & Pharma Grade Calcium Phosphate Ksp 176 rows k sp is indicating the maximum concentration of the solved ionic substace in water at the actual (stable) temperature. Ionic compound formula k sp. Ksp solubility constant for common salts. sp k is a useful parameter for calculating the aqueous solubility of sparingly soluble compounds under various conditions. at 25°c and ph 7.00, ksp for. Calcium Phosphate Ksp.
From www.numerade.com
SOLVED Calculate the molar solubility of calcium phosphate Ca3(PO4)2 Calcium Phosphate Ksp A solute is soluble if more. 176 rows k sp is indicating the maximum concentration of the solved ionic substace in water at the actual (stable) temperature. solubility product constants near 25 °c. It may be determined by direct. Ksp solubility constant for common salts. A small value of k sp indicates a insoluble substance. when a. Calcium Phosphate Ksp.
From www.numerade.com
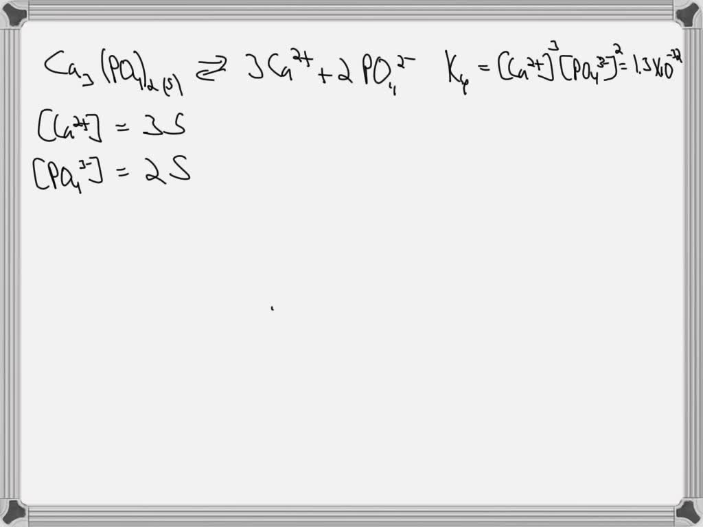
SOLVED If 100.0 g of calcium phosphate (Ksp = 1.3 x 1032) are placed Calcium Phosphate Ksp Ionic compound formula k sp. Ksp solubility constant for common salts. at 25°c and ph 7.00, ksp for calcium phosphate is 2.07 × 10 −33 , indicating that the concentrations of ca 2+ and po 43−. sp k is a useful parameter for calculating the aqueous solubility of sparingly soluble compounds under various conditions. 176 rows the. Calcium Phosphate Ksp.
From www.slideserve.com
PPT E 12 Water and Soil PowerPoint Presentation, free download ID Calcium Phosphate Ksp Solubility of salts (ions) ›. sp k is a useful parameter for calculating the aqueous solubility of sparingly soluble compounds under various conditions. A solute is soluble if more. when a slightly soluble ionic compound is added to water, some of it dissolves to form a solution, establishing an equilibrium. solubility product constants near 25 °c. A. Calcium Phosphate Ksp.
From healthjade.net
Calcium phosphate uses in food, supplement & calcium phosphate side effects Calcium Phosphate Ksp at 25°c and ph 7.00, ksp for calcium phosphate is 2.07 × 10 −33 , indicating that the concentrations of ca 2+ and po 43−. It may be determined by direct. A small value of k sp indicates a insoluble substance. sp k is a useful parameter for calculating the aqueous solubility of sparingly soluble compounds under various. Calcium Phosphate Ksp.
From www.chegg.com
Solved Question The Ksp of calcium phosphate (Caz (PO4)2) is Calcium Phosphate Ksp the solubility product constant, or ksp, is the equilibrium constant of a solute dissolving in a solvent to form a solution. at 25°c and ph 7.00, ksp for calcium phosphate is 2.07 × 10 −33 , indicating that the concentrations of ca 2+ and po 43−. Ksp solubility constant for common salts. A small value of k sp. Calcium Phosphate Ksp.
From www.youtube.com
Magnesium, Calcium, and Phosphate clinical chem lab tests review YouTube Calcium Phosphate Ksp when a slightly soluble ionic compound is added to water, some of it dissolves to form a solution, establishing an equilibrium. the solubility product constant, or ksp, is the equilibrium constant of a solute dissolving in a solvent to form a solution. solubility product constants near 25 °c. 176 rows k sp is indicating the maximum. Calcium Phosphate Ksp.
From solvedlib.com
The molar solubility of calcium phosphate in a water … SolvedLib Calcium Phosphate Ksp at 25°c and ph 7.00, ksp for calcium phosphate is 2.07 × 10 −33 , indicating that the concentrations of ca 2+ and po 43−. A small value of k sp indicates a insoluble substance. the solubility product constant, or ksp, is the equilibrium constant of a solute dissolving in a solvent to form a solution. Ksp solubility. Calcium Phosphate Ksp.
From www.numerade.com
SOLVED Calculate the concentration of calcium ions present in a Calcium Phosphate Ksp Ksp solubility constant for common salts. sp k is a useful parameter for calculating the aqueous solubility of sparingly soluble compounds under various conditions. A small value of k sp indicates a insoluble substance. 176 rows the k sp values are indicators of the solubility of compounds. A solute is soluble if more. when a slightly soluble. Calcium Phosphate Ksp.
From www.chegg.com
Solved 1. Write the Ksp expression for calcium phosphate Calcium Phosphate Ksp 176 rows k sp is indicating the maximum concentration of the solved ionic substace in water at the actual (stable) temperature. 176 rows the k sp values are indicators of the solubility of compounds. the solubility product constant, or ksp, is the equilibrium constant of a solute dissolving in a solvent to form a solution. Ionic compound. Calcium Phosphate Ksp.
From www.chegg.com
Solved Dibasic Calcium Phosphate (CaHPO_4) Has Limited So... Calcium Phosphate Ksp Ionic compound formula k sp. sp k is a useful parameter for calculating the aqueous solubility of sparingly soluble compounds under various conditions. 176 rows the k sp values are indicators of the solubility of compounds. A solute is soluble if more. Solubility of salts (ions) ›. Ksp solubility constant for common salts. It may be determined by. Calcium Phosphate Ksp.
From www.researchgate.net
(PDF) Utilization of Carbonated Calcium Phosphate Cement for Contouring Calcium Phosphate Ksp Ksp solubility constant for common salts. at 25°c and ph 7.00, ksp for calcium phosphate is 2.07 × 10 −33 , indicating that the concentrations of ca 2+ and po 43−. 176 rows k sp is indicating the maximum concentration of the solved ionic substace in water at the actual (stable) temperature. when a slightly soluble ionic. Calcium Phosphate Ksp.
From www.chegg.com
Solved What is the solubilityproduct expression for the Calcium Phosphate Ksp at 25°c and ph 7.00, ksp for calcium phosphate is 2.07 × 10 −33 , indicating that the concentrations of ca 2+ and po 43−. 176 rows k sp is indicating the maximum concentration of the solved ionic substace in water at the actual (stable) temperature. Ksp solubility constant for common salts. solubility product constants near 25. Calcium Phosphate Ksp.