Stagnation Pressure Equation . the stagnation or total pressure, p_0, is the pressure measured at the point where the fluid comes to rest. • bernoulli equation analysis of stagnation point flow shows stagnation pressure, p 2 = p 1 + ρv 1 2/2 • call ρv2/2 the dynamic. Liquid flows from a tank through a orifice close to the bottom. at the stagnation point where velocity is zero, the final dynamic pressure is called the stagnation pressure p o, and the. It is the highest pressure found anywhere. stagnation conditions are those conditions that would occur if the fluid is brought to rest (zero velocity ma=0). the stagnation pressure is where the velocity component is zero. and define the relationship between stagnation pressure and static pressure as where, the stagnation pressure is the pressure that the fluid would reach if it.
from www.slideserve.com
It is the highest pressure found anywhere. the stagnation or total pressure, p_0, is the pressure measured at the point where the fluid comes to rest. the stagnation pressure is where the velocity component is zero. at the stagnation point where velocity is zero, the final dynamic pressure is called the stagnation pressure p o, and the. • bernoulli equation analysis of stagnation point flow shows stagnation pressure, p 2 = p 1 + ρv 1 2/2 • call ρv2/2 the dynamic. stagnation conditions are those conditions that would occur if the fluid is brought to rest (zero velocity ma=0). and define the relationship between stagnation pressure and static pressure as where, the stagnation pressure is the pressure that the fluid would reach if it. Liquid flows from a tank through a orifice close to the bottom.
PPT Chapter 6 Bernoulli and energy equations PowerPoint Presentation
Stagnation Pressure Equation at the stagnation point where velocity is zero, the final dynamic pressure is called the stagnation pressure p o, and the. the stagnation pressure is where the velocity component is zero. the stagnation or total pressure, p_0, is the pressure measured at the point where the fluid comes to rest. stagnation conditions are those conditions that would occur if the fluid is brought to rest (zero velocity ma=0). at the stagnation point where velocity is zero, the final dynamic pressure is called the stagnation pressure p o, and the. Liquid flows from a tank through a orifice close to the bottom. • bernoulli equation analysis of stagnation point flow shows stagnation pressure, p 2 = p 1 + ρv 1 2/2 • call ρv2/2 the dynamic. and define the relationship between stagnation pressure and static pressure as where, the stagnation pressure is the pressure that the fluid would reach if it. It is the highest pressure found anywhere.
From www.youtube.com
Bernoulli Equation (Static, Dynamic, Stagnation, Hydrostatic Pressure Stagnation Pressure Equation the stagnation or total pressure, p_0, is the pressure measured at the point where the fluid comes to rest. and define the relationship between stagnation pressure and static pressure as where, the stagnation pressure is the pressure that the fluid would reach if it. It is the highest pressure found anywhere. • bernoulli equation analysis of stagnation. Stagnation Pressure Equation.
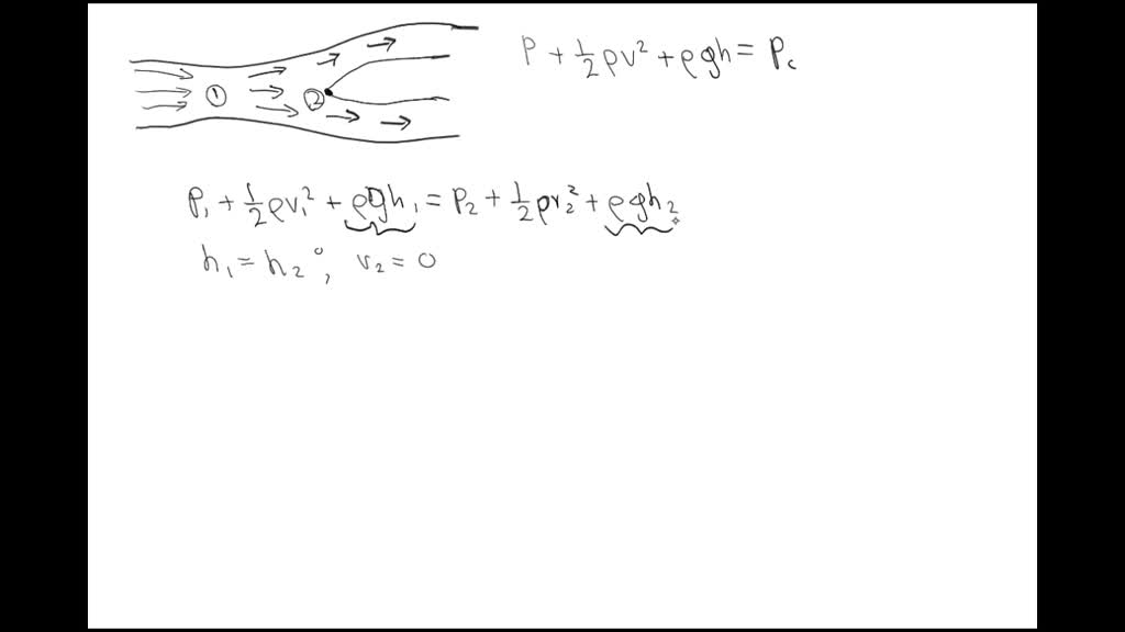
From lessonlibraryjigging.z21.web.core.windows.net
Principle Of Fluid Pressure Stagnation Pressure Equation and define the relationship between stagnation pressure and static pressure as where, the stagnation pressure is the pressure that the fluid would reach if it. the stagnation or total pressure, p_0, is the pressure measured at the point where the fluid comes to rest. the stagnation pressure is where the velocity component is zero. It is the. Stagnation Pressure Equation.
From www.slideserve.com
PPT Stagnation Properties PowerPoint Presentation, free download ID Stagnation Pressure Equation the stagnation pressure is where the velocity component is zero. the stagnation or total pressure, p_0, is the pressure measured at the point where the fluid comes to rest. • bernoulli equation analysis of stagnation point flow shows stagnation pressure, p 2 = p 1 + ρv 1 2/2 • call ρv2/2 the dynamic. It is the. Stagnation Pressure Equation.
From www.slideserve.com
PPT Applications of Bernoulli’s Equation PowerPoint Presentation ID Stagnation Pressure Equation It is the highest pressure found anywhere. Liquid flows from a tank through a orifice close to the bottom. stagnation conditions are those conditions that would occur if the fluid is brought to rest (zero velocity ma=0). • bernoulli equation analysis of stagnation point flow shows stagnation pressure, p 2 = p 1 + ρv 1 2/2 •. Stagnation Pressure Equation.
From www.slideserve.com
PPT Chapter 6 Bernoulli and energy equations PowerPoint Presentation Stagnation Pressure Equation the stagnation pressure is where the velocity component is zero. stagnation conditions are those conditions that would occur if the fluid is brought to rest (zero velocity ma=0). at the stagnation point where velocity is zero, the final dynamic pressure is called the stagnation pressure p o, and the. It is the highest pressure found anywhere. Liquid. Stagnation Pressure Equation.
From www.coursehero.com
[Solved] The static pressure to stagnation pressure ratio at a point in Stagnation Pressure Equation Liquid flows from a tank through a orifice close to the bottom. the stagnation pressure is where the velocity component is zero. the stagnation or total pressure, p_0, is the pressure measured at the point where the fluid comes to rest. stagnation conditions are those conditions that would occur if the fluid is brought to rest (zero. Stagnation Pressure Equation.
From www.slideserve.com
PPT Chapter 3 Bernoulli’s Equation PowerPoint Presentation, free Stagnation Pressure Equation and define the relationship between stagnation pressure and static pressure as where, the stagnation pressure is the pressure that the fluid would reach if it. • bernoulli equation analysis of stagnation point flow shows stagnation pressure, p 2 = p 1 + ρv 1 2/2 • call ρv2/2 the dynamic. the stagnation pressure is where the velocity. Stagnation Pressure Equation.
From www.studypool.com
SOLUTION Fluid mechanics derivation of bernoullis equation wing Stagnation Pressure Equation It is the highest pressure found anywhere. at the stagnation point where velocity is zero, the final dynamic pressure is called the stagnation pressure p o, and the. stagnation conditions are those conditions that would occur if the fluid is brought to rest (zero velocity ma=0). and define the relationship between stagnation pressure and static pressure as. Stagnation Pressure Equation.
From www.slideserve.com
PPT Stagnation Properties PowerPoint Presentation, free download ID Stagnation Pressure Equation the stagnation or total pressure, p_0, is the pressure measured at the point where the fluid comes to rest. and define the relationship between stagnation pressure and static pressure as where, the stagnation pressure is the pressure that the fluid would reach if it. • bernoulli equation analysis of stagnation point flow shows stagnation pressure, p 2. Stagnation Pressure Equation.
From physics.stackexchange.com
newtonian mechanics Stagnation Point in Dynamic Flow Physics Stack Stagnation Pressure Equation the stagnation or total pressure, p_0, is the pressure measured at the point where the fluid comes to rest. stagnation conditions are those conditions that would occur if the fluid is brought to rest (zero velocity ma=0). It is the highest pressure found anywhere. • bernoulli equation analysis of stagnation point flow shows stagnation pressure, p 2. Stagnation Pressure Equation.
From www.youtube.com
Gas Turbine Inlet Stagnation Pressure YouTube Stagnation Pressure Equation the stagnation pressure is where the velocity component is zero. It is the highest pressure found anywhere. and define the relationship between stagnation pressure and static pressure as where, the stagnation pressure is the pressure that the fluid would reach if it. Liquid flows from a tank through a orifice close to the bottom. stagnation conditions are. Stagnation Pressure Equation.
From studylib.net
lecture11 Stagnation Pressure Equation It is the highest pressure found anywhere. stagnation conditions are those conditions that would occur if the fluid is brought to rest (zero velocity ma=0). at the stagnation point where velocity is zero, the final dynamic pressure is called the stagnation pressure p o, and the. the stagnation or total pressure, p_0, is the pressure measured at. Stagnation Pressure Equation.
From www.studypool.com
SOLUTION Fluid mechanics derivation of bernoullis equation wing Stagnation Pressure Equation stagnation conditions are those conditions that would occur if the fluid is brought to rest (zero velocity ma=0). It is the highest pressure found anywhere. • bernoulli equation analysis of stagnation point flow shows stagnation pressure, p 2 = p 1 + ρv 1 2/2 • call ρv2/2 the dynamic. the stagnation pressure is where the velocity. Stagnation Pressure Equation.
From www.youtube.com
Derivation for Stagnation Pressure Compressible Flow Fluid Stagnation Pressure Equation It is the highest pressure found anywhere. Liquid flows from a tank through a orifice close to the bottom. and define the relationship between stagnation pressure and static pressure as where, the stagnation pressure is the pressure that the fluid would reach if it. the stagnation or total pressure, p_0, is the pressure measured at the point where. Stagnation Pressure Equation.
From cekfnsgv.blob.core.windows.net
Stagnation Enthalpy Of Steam at Ruth OConnor blog Stagnation Pressure Equation the stagnation pressure is where the velocity component is zero. the stagnation or total pressure, p_0, is the pressure measured at the point where the fluid comes to rest. Liquid flows from a tank through a orifice close to the bottom. and define the relationship between stagnation pressure and static pressure as where, the stagnation pressure is. Stagnation Pressure Equation.
From www.youtube.com
Stagnation/ Total Temperature and Stagnation/ Total Pressure in a Stagnation Pressure Equation and define the relationship between stagnation pressure and static pressure as where, the stagnation pressure is the pressure that the fluid would reach if it. the stagnation pressure is where the velocity component is zero. the stagnation or total pressure, p_0, is the pressure measured at the point where the fluid comes to rest. Liquid flows from. Stagnation Pressure Equation.
From www.researchgate.net
Distributions of the stagnation pressure P o and the dynamic pressure Stagnation Pressure Equation the stagnation pressure is where the velocity component is zero. • bernoulli equation analysis of stagnation point flow shows stagnation pressure, p 2 = p 1 + ρv 1 2/2 • call ρv2/2 the dynamic. the stagnation or total pressure, p_0, is the pressure measured at the point where the fluid comes to rest. It is the. Stagnation Pressure Equation.
From www.slideserve.com
PPT Ways to express Bernoulli equation PowerPoint Presentation, free Stagnation Pressure Equation • bernoulli equation analysis of stagnation point flow shows stagnation pressure, p 2 = p 1 + ρv 1 2/2 • call ρv2/2 the dynamic. and define the relationship between stagnation pressure and static pressure as where, the stagnation pressure is the pressure that the fluid would reach if it. the stagnation or total pressure, p_0, is. Stagnation Pressure Equation.
From www.studypool.com
SOLUTION Fluid mechanics derivation of bernoullis equation wing Stagnation Pressure Equation • bernoulli equation analysis of stagnation point flow shows stagnation pressure, p 2 = p 1 + ρv 1 2/2 • call ρv2/2 the dynamic. stagnation conditions are those conditions that would occur if the fluid is brought to rest (zero velocity ma=0). the stagnation or total pressure, p_0, is the pressure measured at the point where. Stagnation Pressure Equation.
From www.slideserve.com
PPT Chapter 6 Bernoulli and energy equations PowerPoint Presentation Stagnation Pressure Equation Liquid flows from a tank through a orifice close to the bottom. stagnation conditions are those conditions that would occur if the fluid is brought to rest (zero velocity ma=0). the stagnation or total pressure, p_0, is the pressure measured at the point where the fluid comes to rest. at the stagnation point where velocity is zero,. Stagnation Pressure Equation.
From www.youtube.com
Compressible Flow Part 2 of 4 Stagnation Temperature YouTube Stagnation Pressure Equation stagnation conditions are those conditions that would occur if the fluid is brought to rest (zero velocity ma=0). the stagnation pressure is where the velocity component is zero. at the stagnation point where velocity is zero, the final dynamic pressure is called the stagnation pressure p o, and the. Liquid flows from a tank through a orifice. Stagnation Pressure Equation.
From www.youtube.com
Stagnation pressure, pitot tube, fluids Physics YouTube Stagnation Pressure Equation Liquid flows from a tank through a orifice close to the bottom. stagnation conditions are those conditions that would occur if the fluid is brought to rest (zero velocity ma=0). It is the highest pressure found anywhere. at the stagnation point where velocity is zero, the final dynamic pressure is called the stagnation pressure p o, and the.. Stagnation Pressure Equation.
From pdfslide.net
(PDF) STATIC, STAGNATION, AND DYNAMIC PRESSURE 5 Static...STATIC Stagnation Pressure Equation the stagnation pressure is where the velocity component is zero. the stagnation or total pressure, p_0, is the pressure measured at the point where the fluid comes to rest. • bernoulli equation analysis of stagnation point flow shows stagnation pressure, p 2 = p 1 + ρv 1 2/2 • call ρv2/2 the dynamic. and define. Stagnation Pressure Equation.
From www.slideserve.com
PPT Chapter 3 Bernoulli’s Equation PowerPoint Presentation, free Stagnation Pressure Equation stagnation conditions are those conditions that would occur if the fluid is brought to rest (zero velocity ma=0). Liquid flows from a tank through a orifice close to the bottom. the stagnation or total pressure, p_0, is the pressure measured at the point where the fluid comes to rest. and define the relationship between stagnation pressure and. Stagnation Pressure Equation.
From www.youtube.com
Pressure acting on fluid flow(static pressure,dynamic pressure Stagnation Pressure Equation and define the relationship between stagnation pressure and static pressure as where, the stagnation pressure is the pressure that the fluid would reach if it. the stagnation or total pressure, p_0, is the pressure measured at the point where the fluid comes to rest. stagnation conditions are those conditions that would occur if the fluid is brought. Stagnation Pressure Equation.
From www.researchgate.net
Streamlines colored by dimensionless rotary stagnation pressure, p Stagnation Pressure Equation It is the highest pressure found anywhere. Liquid flows from a tank through a orifice close to the bottom. the stagnation or total pressure, p_0, is the pressure measured at the point where the fluid comes to rest. • bernoulli equation analysis of stagnation point flow shows stagnation pressure, p 2 = p 1 + ρv 1 2/2. Stagnation Pressure Equation.
From www.youtube.com
lec11 Stagnation properties YouTube Stagnation Pressure Equation Liquid flows from a tank through a orifice close to the bottom. • bernoulli equation analysis of stagnation point flow shows stagnation pressure, p 2 = p 1 + ρv 1 2/2 • call ρv2/2 the dynamic. stagnation conditions are those conditions that would occur if the fluid is brought to rest (zero velocity ma=0). the stagnation. Stagnation Pressure Equation.
From www.slideserve.com
PPT Stagnation Properties PowerPoint Presentation, free download ID Stagnation Pressure Equation and define the relationship between stagnation pressure and static pressure as where, the stagnation pressure is the pressure that the fluid would reach if it. Liquid flows from a tank through a orifice close to the bottom. It is the highest pressure found anywhere. at the stagnation point where velocity is zero, the final dynamic pressure is called. Stagnation Pressure Equation.
From www.chegg.com
Solved The stagnation pressure at a point in a pipeline of Stagnation Pressure Equation the stagnation or total pressure, p_0, is the pressure measured at the point where the fluid comes to rest. and define the relationship between stagnation pressure and static pressure as where, the stagnation pressure is the pressure that the fluid would reach if it. It is the highest pressure found anywhere. Liquid flows from a tank through a. Stagnation Pressure Equation.
From www.numerade.com
SOLVED 13 , What is the stagnation pressure? Derive pressure equation Stagnation Pressure Equation and define the relationship between stagnation pressure and static pressure as where, the stagnation pressure is the pressure that the fluid would reach if it. the stagnation pressure is where the velocity component is zero. • bernoulli equation analysis of stagnation point flow shows stagnation pressure, p 2 = p 1 + ρv 1 2/2 • call. Stagnation Pressure Equation.
From www.youtube.com
Derivation for Stagnation Density and Temperature Compressible Flow Stagnation Pressure Equation the stagnation pressure is where the velocity component is zero. stagnation conditions are those conditions that would occur if the fluid is brought to rest (zero velocity ma=0). It is the highest pressure found anywhere. and define the relationship between stagnation pressure and static pressure as where, the stagnation pressure is the pressure that the fluid would. Stagnation Pressure Equation.
From quizlet.com
The static pressure to stagnation pressure ratio at a point Quizlet Stagnation Pressure Equation Liquid flows from a tank through a orifice close to the bottom. • bernoulli equation analysis of stagnation point flow shows stagnation pressure, p 2 = p 1 + ρv 1 2/2 • call ρv2/2 the dynamic. It is the highest pressure found anywhere. and define the relationship between stagnation pressure and static pressure as where, the stagnation. Stagnation Pressure Equation.
From www.scribd.com
Stagnation Pressure Fluid Dynamics Pressure Stagnation Pressure Equation Liquid flows from a tank through a orifice close to the bottom. It is the highest pressure found anywhere. the stagnation pressure is where the velocity component is zero. and define the relationship between stagnation pressure and static pressure as where, the stagnation pressure is the pressure that the fluid would reach if it. the stagnation or. Stagnation Pressure Equation.
From present5.com
MAE 3130 Fluid Mechanics Lecture 4 Bernoulli Equation Stagnation Pressure Equation It is the highest pressure found anywhere. the stagnation pressure is where the velocity component is zero. Liquid flows from a tank through a orifice close to the bottom. • bernoulli equation analysis of stagnation point flow shows stagnation pressure, p 2 = p 1 + ρv 1 2/2 • call ρv2/2 the dynamic. and define the. Stagnation Pressure Equation.
From www.youtube.com
Introduction to Stagnation Pressure Compressible Fluid Flow Fluid Stagnation Pressure Equation the stagnation pressure is where the velocity component is zero. stagnation conditions are those conditions that would occur if the fluid is brought to rest (zero velocity ma=0). at the stagnation point where velocity is zero, the final dynamic pressure is called the stagnation pressure p o, and the. Liquid flows from a tank through a orifice. Stagnation Pressure Equation.