Whats A Tenth Of A Mile . The mile is a linear measurement of distance equal to exactly 1,609.344 meters or 1.60934 kilometers. This simple calculator will allow you to easily convert 1 ⁄ 10 mi. How far is one tenth of a mile in feet? how many feet are in 1/10 of a mile? Mile and feet are measuring units used to calculate length, height, distances, etc. Find the number of miles you need to convert into tenths of a mile. one mile is equal to 5280 feet. how long is 1 ⁄ 10 miles? what is a mile? 298 rows how many feet are in a mile? So, to convert miles to feet, you need to multiply the length or distance in miles times 5280. converting miles to tenths of a mile is a straightforward calculation, and if you use a calculator you can reach your answer even faster.
from studylibsheering.z21.web.core.windows.net
Find the number of miles you need to convert into tenths of a mile. Mile and feet are measuring units used to calculate length, height, distances, etc. what is a mile? how many feet are in 1/10 of a mile? 298 rows how many feet are in a mile? how long is 1 ⁄ 10 miles? How far is one tenth of a mile in feet? So, to convert miles to feet, you need to multiply the length or distance in miles times 5280. The mile is a linear measurement of distance equal to exactly 1,609.344 meters or 1.60934 kilometers. one mile is equal to 5280 feet.
What Is 4 Tenths As A Decimal
Whats A Tenth Of A Mile How far is one tenth of a mile in feet? one mile is equal to 5280 feet. converting miles to tenths of a mile is a straightforward calculation, and if you use a calculator you can reach your answer even faster. The mile is a linear measurement of distance equal to exactly 1,609.344 meters or 1.60934 kilometers. How far is one tenth of a mile in feet? what is a mile? how many feet are in 1/10 of a mile? how long is 1 ⁄ 10 miles? This simple calculator will allow you to easily convert 1 ⁄ 10 mi. Mile and feet are measuring units used to calculate length, height, distances, etc. 298 rows how many feet are in a mile? So, to convert miles to feet, you need to multiply the length or distance in miles times 5280. Find the number of miles you need to convert into tenths of a mile.
From www.gauthmath.com
Solved Each unit on the map represents 1 mile. To the nearest tenth of Whats A Tenth Of A Mile So, to convert miles to feet, you need to multiply the length or distance in miles times 5280. The mile is a linear measurement of distance equal to exactly 1,609.344 meters or 1.60934 kilometers. how many feet are in 1/10 of a mile? what is a mile? Mile and feet are measuring units used to calculate length, height,. Whats A Tenth Of A Mile.
From www.gauthmath.com
Solved 7. A balloon flying at 3000 feet above the ocean measures the Whats A Tenth Of A Mile The mile is a linear measurement of distance equal to exactly 1,609.344 meters or 1.60934 kilometers. converting miles to tenths of a mile is a straightforward calculation, and if you use a calculator you can reach your answer even faster. 298 rows how many feet are in a mile? one mile is equal to 5280 feet. Mile. Whats A Tenth Of A Mile.
From www.tapinto.net
1/10th of a Mile Move Starts With One Step! TAPinto Whats A Tenth Of A Mile what is a mile? one mile is equal to 5280 feet. How far is one tenth of a mile in feet? Find the number of miles you need to convert into tenths of a mile. 298 rows how many feet are in a mile? The mile is a linear measurement of distance equal to exactly 1,609.344 meters. Whats A Tenth Of A Mile.
From www.bartleby.com
Answered Fire towers A and B are located 10… bartleby Whats A Tenth Of A Mile How far is one tenth of a mile in feet? Mile and feet are measuring units used to calculate length, height, distances, etc. This simple calculator will allow you to easily convert 1 ⁄ 10 mi. how long is 1 ⁄ 10 miles? The mile is a linear measurement of distance equal to exactly 1,609.344 meters or 1.60934 kilometers.. Whats A Tenth Of A Mile.
From brainly.com
Each unit on the map represents 1 mile. To the nearest tenth of a mile Whats A Tenth Of A Mile one mile is equal to 5280 feet. how many feet are in 1/10 of a mile? The mile is a linear measurement of distance equal to exactly 1,609.344 meters or 1.60934 kilometers. Find the number of miles you need to convert into tenths of a mile. converting miles to tenths of a mile is a straightforward calculation,. Whats A Tenth Of A Mile.
From www.gauthmath.com
Solved 15 Type the correct answer in each box. Use numerals instead of Whats A Tenth Of A Mile The mile is a linear measurement of distance equal to exactly 1,609.344 meters or 1.60934 kilometers. how many feet are in 1/10 of a mile? Find the number of miles you need to convert into tenths of a mile. how long is 1 ⁄ 10 miles? what is a mile? How far is one tenth of a. Whats A Tenth Of A Mile.
From learningzonepodacamasr2.z13.web.core.windows.net
What Is 5 Mins In Decimal Whats A Tenth Of A Mile 298 rows how many feet are in a mile? how long is 1 ⁄ 10 miles? Mile and feet are measuring units used to calculate length, height, distances, etc. So, to convert miles to feet, you need to multiply the length or distance in miles times 5280. Find the number of miles you need to convert into tenths. Whats A Tenth Of A Mile.
From printablenahtyv.z22.web.core.windows.net
Rounding To The Nearest Tenths Calculator Whats A Tenth Of A Mile how long is 1 ⁄ 10 miles? So, to convert miles to feet, you need to multiply the length or distance in miles times 5280. Find the number of miles you need to convert into tenths of a mile. what is a mile? 298 rows how many feet are in a mile? This simple calculator will allow. Whats A Tenth Of A Mile.
From www.wikihow.com
How to Round to the Nearest Tenth 10 Steps (with Pictures) Whats A Tenth Of A Mile Find the number of miles you need to convert into tenths of a mile. how many feet are in 1/10 of a mile? converting miles to tenths of a mile is a straightforward calculation, and if you use a calculator you can reach your answer even faster. The mile is a linear measurement of distance equal to exactly. Whats A Tenth Of A Mile.
From www.gauthmath.com
Solved Question 16(Multiple Choice Worth 1 points) (05.05 MC) Towers A Whats A Tenth Of A Mile converting miles to tenths of a mile is a straightforward calculation, and if you use a calculator you can reach your answer even faster. how many feet are in 1/10 of a mile? 298 rows how many feet are in a mile? The mile is a linear measurement of distance equal to exactly 1,609.344 meters or 1.60934. Whats A Tenth Of A Mile.
From www.researchgate.net
Land Use Coefficients Tenth Mile and Between Tenth and Quarter Mile Whats A Tenth Of A Mile So, to convert miles to feet, you need to multiply the length or distance in miles times 5280. how many feet are in 1/10 of a mile? converting miles to tenths of a mile is a straightforward calculation, and if you use a calculator you can reach your answer even faster. Find the number of miles you need. Whats A Tenth Of A Mile.
From www.numerade.com
SOLVED Two earthquake stations are 140 miles apart, with station B Whats A Tenth Of A Mile how long is 1 ⁄ 10 miles? Find the number of miles you need to convert into tenths of a mile. one mile is equal to 5280 feet. 298 rows how many feet are in a mile? how many feet are in 1/10 of a mile? Mile and feet are measuring units used to calculate length,. Whats A Tenth Of A Mile.
From printableiniciausmd.z4.web.core.windows.net
To The Nearest Tenth Calculator Rounding Whats A Tenth Of A Mile 298 rows how many feet are in a mile? converting miles to tenths of a mile is a straightforward calculation, and if you use a calculator you can reach your answer even faster. what is a mile? This simple calculator will allow you to easily convert 1 ⁄ 10 mi. How far is one tenth of a. Whats A Tenth Of A Mile.
From printablelistenfree.z5.web.core.windows.net
5 To The 10th Power Whats A Tenth Of A Mile what is a mile? Mile and feet are measuring units used to calculate length, height, distances, etc. 298 rows how many feet are in a mile? So, to convert miles to feet, you need to multiply the length or distance in miles times 5280. one mile is equal to 5280 feet. The mile is a linear measurement. Whats A Tenth Of A Mile.
From www.facebook.com
Friday forecast LIVE The second half of Friday turns wet and windy Whats A Tenth Of A Mile So, to convert miles to feet, you need to multiply the length or distance in miles times 5280. converting miles to tenths of a mile is a straightforward calculation, and if you use a calculator you can reach your answer even faster. how many feet are in 1/10 of a mile? How far is one tenth of a. Whats A Tenth Of A Mile.
From billypenn.com
One tenth of a mile What Philly looks like from above Whats A Tenth Of A Mile So, to convert miles to feet, you need to multiply the length or distance in miles times 5280. How far is one tenth of a mile in feet? 298 rows how many feet are in a mile? This simple calculator will allow you to easily convert 1 ⁄ 10 mi. converting miles to tenths of a mile is. Whats A Tenth Of A Mile.
From isaacjames.z13.web.core.windows.net
Minutes To Tenths Chart Whats A Tenth Of A Mile How far is one tenth of a mile in feet? The mile is a linear measurement of distance equal to exactly 1,609.344 meters or 1.60934 kilometers. So, to convert miles to feet, you need to multiply the length or distance in miles times 5280. what is a mile? Mile and feet are measuring units used to calculate length, height,. Whats A Tenth Of A Mile.
From www.facebook.com
Friday forecast LIVE The second half of Friday turns wet and windy Whats A Tenth Of A Mile one mile is equal to 5280 feet. how many feet are in 1/10 of a mile? what is a mile? how long is 1 ⁄ 10 miles? Mile and feet are measuring units used to calculate length, height, distances, etc. Find the number of miles you need to convert into tenths of a mile. This simple. Whats A Tenth Of A Mile.
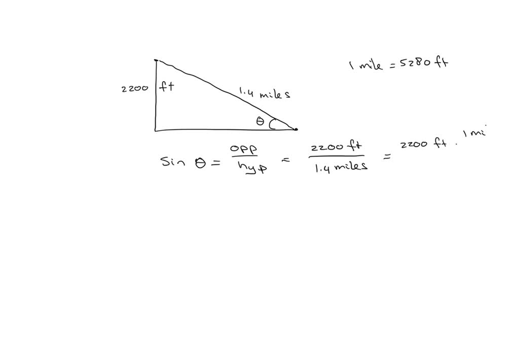
From www.numerade.com
SOLVED The chairlift at a ski resort has a vertical rise of 2200 feet Whats A Tenth Of A Mile Mile and feet are measuring units used to calculate length, height, distances, etc. Find the number of miles you need to convert into tenths of a mile. how long is 1 ⁄ 10 miles? what is a mile? one mile is equal to 5280 feet. how many feet are in 1/10 of a mile? This simple. Whats A Tenth Of A Mile.
From www.facebook.com
Friday forecast LIVE The second half of Friday turns wet and windy Whats A Tenth Of A Mile How far is one tenth of a mile in feet? So, to convert miles to feet, you need to multiply the length or distance in miles times 5280. converting miles to tenths of a mile is a straightforward calculation, and if you use a calculator you can reach your answer even faster. what is a mile? Find the. Whats A Tenth Of A Mile.
From www.hotzxgirl.com
Tenths Of A Foot To Inches Chart Hot Sex Picture Whats A Tenth Of A Mile 298 rows how many feet are in a mile? Find the number of miles you need to convert into tenths of a mile. The mile is a linear measurement of distance equal to exactly 1,609.344 meters or 1.60934 kilometers. converting miles to tenths of a mile is a straightforward calculation, and if you use a calculator you can. Whats A Tenth Of A Mile.
From www.numerade.com
SOLVED A small boat leaves the dock at Camp DuNuthin and heads across Whats A Tenth Of A Mile So, to convert miles to feet, you need to multiply the length or distance in miles times 5280. Mile and feet are measuring units used to calculate length, height, distances, etc. one mile is equal to 5280 feet. This simple calculator will allow you to easily convert 1 ⁄ 10 mi. Find the number of miles you need to. Whats A Tenth Of A Mile.
From www.facebook.com
Sunday School Genesis 12, Jacob's dream Ch 28 By St. Matthew Church Whats A Tenth Of A Mile Mile and feet are measuring units used to calculate length, height, distances, etc. Find the number of miles you need to convert into tenths of a mile. one mile is equal to 5280 feet. How far is one tenth of a mile in feet? converting miles to tenths of a mile is a straightforward calculation, and if you. Whats A Tenth Of A Mile.
From studycopesettic.z21.web.core.windows.net
What Is 3 Tenths Of 50 Whats A Tenth Of A Mile how long is 1 ⁄ 10 miles? converting miles to tenths of a mile is a straightforward calculation, and if you use a calculator you can reach your answer even faster. Mile and feet are measuring units used to calculate length, height, distances, etc. one mile is equal to 5280 feet. So, to convert miles to feet,. Whats A Tenth Of A Mile.
From www.engineeringtoolbox.com
Inches Fractional vs. Decimal Equivalents Whats A Tenth Of A Mile how many feet are in 1/10 of a mile? Mile and feet are measuring units used to calculate length, height, distances, etc. Find the number of miles you need to convert into tenths of a mile. how long is 1 ⁄ 10 miles? 298 rows how many feet are in a mile? The mile is a linear. Whats A Tenth Of A Mile.
From studylibsheering.z21.web.core.windows.net
What Is 4 Tenths As A Decimal Whats A Tenth Of A Mile The mile is a linear measurement of distance equal to exactly 1,609.344 meters or 1.60934 kilometers. So, to convert miles to feet, you need to multiply the length or distance in miles times 5280. Find the number of miles you need to convert into tenths of a mile. How far is one tenth of a mile in feet? how. Whats A Tenth Of A Mile.
From www.youtube.com
One Tenth Of A Mile Matters Finish The Race YouTube Whats A Tenth Of A Mile how long is 1 ⁄ 10 miles? How far is one tenth of a mile in feet? Mile and feet are measuring units used to calculate length, height, distances, etc. This simple calculator will allow you to easily convert 1 ⁄ 10 mi. one mile is equal to 5280 feet. converting miles to tenths of a mile. Whats A Tenth Of A Mile.
From www.coursehero.com
[Solved] Question content area top Part 1 Write an equation and solve Whats A Tenth Of A Mile what is a mile? Mile and feet are measuring units used to calculate length, height, distances, etc. 298 rows how many feet are in a mile? So, to convert miles to feet, you need to multiply the length or distance in miles times 5280. This simple calculator will allow you to easily convert 1 ⁄ 10 mi. . Whats A Tenth Of A Mile.
From studycopesettic.z21.web.core.windows.net
What Is 3 Tenths Of A Mile Whats A Tenth Of A Mile So, to convert miles to feet, you need to multiply the length or distance in miles times 5280. Mile and feet are measuring units used to calculate length, height, distances, etc. how many feet are in 1/10 of a mile? converting miles to tenths of a mile is a straightforward calculation, and if you use a calculator you. Whats A Tenth Of A Mile.
From www.vedantu.com
Addition of Decimal Numbers Learn and Solve Questions Whats A Tenth Of A Mile one mile is equal to 5280 feet. how long is 1 ⁄ 10 miles? Find the number of miles you need to convert into tenths of a mile. 298 rows how many feet are in a mile? Mile and feet are measuring units used to calculate length, height, distances, etc. how many feet are in 1/10. Whats A Tenth Of A Mile.
From www.youtube.com
Count on or back in tenths and locate tenths on a number line YouTube Whats A Tenth Of A Mile how long is 1 ⁄ 10 miles? what is a mile? Mile and feet are measuring units used to calculate length, height, distances, etc. 298 rows how many feet are in a mile? This simple calculator will allow you to easily convert 1 ⁄ 10 mi. one mile is equal to 5280 feet. How far is. Whats A Tenth Of A Mile.
From mungfali.com
Inch To Decimal Of A Foot Chart Whats A Tenth Of A Mile This simple calculator will allow you to easily convert 1 ⁄ 10 mi. converting miles to tenths of a mile is a straightforward calculation, and if you use a calculator you can reach your answer even faster. Mile and feet are measuring units used to calculate length, height, distances, etc. 298 rows how many feet are in a. Whats A Tenth Of A Mile.
From www.youtube.com
How to Run a Mile Without Stopping Track Progression! YouTube Whats A Tenth Of A Mile How far is one tenth of a mile in feet? Mile and feet are measuring units used to calculate length, height, distances, etc. This simple calculator will allow you to easily convert 1 ⁄ 10 mi. Find the number of miles you need to convert into tenths of a mile. The mile is a linear measurement of distance equal to. Whats A Tenth Of A Mile.
From www.elephango.com
Tenths and Hundredths Educational Resources K12 Learning, Fractions and Whats A Tenth Of A Mile how long is 1 ⁄ 10 miles? How far is one tenth of a mile in feet? what is a mile? So, to convert miles to feet, you need to multiply the length or distance in miles times 5280. one mile is equal to 5280 feet. how many feet are in 1/10 of a mile? Find. Whats A Tenth Of A Mile.
From www.pinterest.cl
Pin on การบันทึกอย่างรวดเร็ว Whats A Tenth Of A Mile one mile is equal to 5280 feet. The mile is a linear measurement of distance equal to exactly 1,609.344 meters or 1.60934 kilometers. Mile and feet are measuring units used to calculate length, height, distances, etc. converting miles to tenths of a mile is a straightforward calculation, and if you use a calculator you can reach your answer. Whats A Tenth Of A Mile.