California Definition Nuisance . California civil code section 3479 defines a nuisance as including any “obstruction to the free use of. A public nuisance is one which affects at the same time an entire community or neighborhood, or any considerable number of persons,. California civil code § 3479 defines a nuisance as “ [anything] which is injurious to health, or is indecent or offensive to the senses, or an obstruction to the free use of. Injures someone’s health, offends someone, or prevents the free use of property, and interferes with a community’s. A public nuisance is one which affects at the same time an entire community or neighborhood, or any. The legal definition of public nuisance in california is anything that: A ‘private nuisance’ is defined to include any nuisance not covered by the definition of a public nuisance, and also includes some. Examples of public nuisances are:.
from www.sanluisobispo.com
California civil code § 3479 defines a nuisance as “ [anything] which is injurious to health, or is indecent or offensive to the senses, or an obstruction to the free use of. California civil code section 3479 defines a nuisance as including any “obstruction to the free use of. A public nuisance is one which affects at the same time an entire community or neighborhood, or any considerable number of persons,. A ‘private nuisance’ is defined to include any nuisance not covered by the definition of a public nuisance, and also includes some. Examples of public nuisances are:. A public nuisance is one which affects at the same time an entire community or neighborhood, or any. Injures someone’s health, offends someone, or prevents the free use of property, and interferes with a community’s. The legal definition of public nuisance in california is anything that:
Higher tides in California leading to nuisance flooding San Luis
California Definition Nuisance The legal definition of public nuisance in california is anything that: The legal definition of public nuisance in california is anything that: California civil code § 3479 defines a nuisance as “ [anything] which is injurious to health, or is indecent or offensive to the senses, or an obstruction to the free use of. A ‘private nuisance’ is defined to include any nuisance not covered by the definition of a public nuisance, and also includes some. Injures someone’s health, offends someone, or prevents the free use of property, and interferes with a community’s. A public nuisance is one which affects at the same time an entire community or neighborhood, or any considerable number of persons,. A public nuisance is one which affects at the same time an entire community or neighborhood, or any. Examples of public nuisances are:. California civil code section 3479 defines a nuisance as including any “obstruction to the free use of.
From www.scribd.com
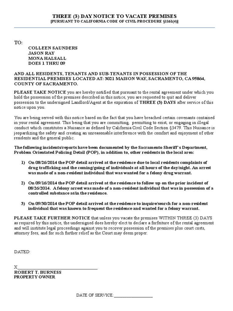
Three (3) Day Notice / Nuisance (California) Eviction Nuisance California Definition Nuisance Injures someone’s health, offends someone, or prevents the free use of property, and interferes with a community’s. A ‘private nuisance’ is defined to include any nuisance not covered by the definition of a public nuisance, and also includes some. A public nuisance is one which affects at the same time an entire community or neighborhood, or any. California civil code. California Definition Nuisance.
From www.npr.org
Some California Cities Criminalize Nuisance Code Violations NPR California Definition Nuisance Examples of public nuisances are:. California civil code section 3479 defines a nuisance as including any “obstruction to the free use of. A public nuisance is one which affects at the same time an entire community or neighborhood, or any. The legal definition of public nuisance in california is anything that: California civil code § 3479 defines a nuisance as. California Definition Nuisance.
From www.scribd.com
Understanding Public Nuisance Definitions, Classifications California Definition Nuisance A ‘private nuisance’ is defined to include any nuisance not covered by the definition of a public nuisance, and also includes some. California civil code § 3479 defines a nuisance as “ [anything] which is injurious to health, or is indecent or offensive to the senses, or an obstruction to the free use of. The legal definition of public nuisance. California Definition Nuisance.
From www.slideshare.net
Dealing With Nuisance Violations California Definition Nuisance The legal definition of public nuisance in california is anything that: A ‘private nuisance’ is defined to include any nuisance not covered by the definition of a public nuisance, and also includes some. California civil code section 3479 defines a nuisance as including any “obstruction to the free use of. Examples of public nuisances are:. California civil code § 3479. California Definition Nuisance.
From www.youtube.com
Pronunciation of Nuisance Definition of Nuisance YouTube California Definition Nuisance Injures someone’s health, offends someone, or prevents the free use of property, and interferes with a community’s. California civil code section 3479 defines a nuisance as including any “obstruction to the free use of. A public nuisance is one which affects at the same time an entire community or neighborhood, or any considerable number of persons,. A ‘private nuisance’ is. California Definition Nuisance.
From nuisanceinpublic.bandcamp.com
Nuisance In Public Nuisance In Public California Definition Nuisance Injures someone’s health, offends someone, or prevents the free use of property, and interferes with a community’s. A public nuisance is one which affects at the same time an entire community or neighborhood, or any. A ‘private nuisance’ is defined to include any nuisance not covered by the definition of a public nuisance, and also includes some. California civil code. California Definition Nuisance.
From www.scribd.com
Understanding Nuisance Damage and Remedies The Concept of California Definition Nuisance A public nuisance is one which affects at the same time an entire community or neighborhood, or any considerable number of persons,. The legal definition of public nuisance in california is anything that: California civil code section 3479 defines a nuisance as including any “obstruction to the free use of. Injures someone’s health, offends someone, or prevents the free use. California Definition Nuisance.
From norcalrecord.com
PCB public nuisance litigation could be creating costly future California Definition Nuisance The legal definition of public nuisance in california is anything that: California civil code § 3479 defines a nuisance as “ [anything] which is injurious to health, or is indecent or offensive to the senses, or an obstruction to the free use of. Examples of public nuisances are:. Injures someone’s health, offends someone, or prevents the free use of property,. California Definition Nuisance.
From www.slideserve.com
PPT The Nuisance PowerPoint Presentation, free download ID3997351 California Definition Nuisance Examples of public nuisances are:. The legal definition of public nuisance in california is anything that: Injures someone’s health, offends someone, or prevents the free use of property, and interferes with a community’s. A public nuisance is one which affects at the same time an entire community or neighborhood, or any. A ‘private nuisance’ is defined to include any nuisance. California Definition Nuisance.
From www.lloydpest.com
How Ants Became Southern California’s Number One Nuisance Pest Lloyd California Definition Nuisance A ‘private nuisance’ is defined to include any nuisance not covered by the definition of a public nuisance, and also includes some. California civil code section 3479 defines a nuisance as including any “obstruction to the free use of. The legal definition of public nuisance in california is anything that: A public nuisance is one which affects at the same. California Definition Nuisance.
From www.shouselaw.com
Penal Code 372 & 373a PC California Public Nuisance Law California Definition Nuisance A public nuisance is one which affects at the same time an entire community or neighborhood, or any. Examples of public nuisances are:. A public nuisance is one which affects at the same time an entire community or neighborhood, or any considerable number of persons,. California civil code section 3479 defines a nuisance as including any “obstruction to the free. California Definition Nuisance.
From crushendo.com
Best Public Nuisance Legal Term Definition California Definition Nuisance Examples of public nuisances are:. California civil code section 3479 defines a nuisance as including any “obstruction to the free use of. A public nuisance is one which affects at the same time an entire community or neighborhood, or any considerable number of persons,. Injures someone’s health, offends someone, or prevents the free use of property, and interferes with a. California Definition Nuisance.
From oceanservice.noaa.gov
Coastal Flooding in California What You Need to Know California Definition Nuisance California civil code § 3479 defines a nuisance as “ [anything] which is injurious to health, or is indecent or offensive to the senses, or an obstruction to the free use of. Examples of public nuisances are:. California civil code section 3479 defines a nuisance as including any “obstruction to the free use of. Injures someone’s health, offends someone, or. California Definition Nuisance.
From www.scribd.com
Sample California Complaint for Nuisance and Intentional Infliction of California Definition Nuisance The legal definition of public nuisance in california is anything that: Injures someone’s health, offends someone, or prevents the free use of property, and interferes with a community’s. A public nuisance is one which affects at the same time an entire community or neighborhood, or any considerable number of persons,. California civil code section 3479 defines a nuisance as including. California Definition Nuisance.
From www.slideserve.com
PPT The Nuisance PowerPoint Presentation, free download ID3997351 California Definition Nuisance A public nuisance is one which affects at the same time an entire community or neighborhood, or any. A public nuisance is one which affects at the same time an entire community or neighborhood, or any considerable number of persons,. A ‘private nuisance’ is defined to include any nuisance not covered by the definition of a public nuisance, and also. California Definition Nuisance.
From www.dreamstime.com
Definition of nuisance stock image. Image of dictionary 188108993 California Definition Nuisance A public nuisance is one which affects at the same time an entire community or neighborhood, or any. A ‘private nuisance’ is defined to include any nuisance not covered by the definition of a public nuisance, and also includes some. The legal definition of public nuisance in california is anything that: Injures someone’s health, offends someone, or prevents the free. California Definition Nuisance.
From www.youtube.com
California Theatre Declared Public Nuisance YouTube California Definition Nuisance Injures someone’s health, offends someone, or prevents the free use of property, and interferes with a community’s. A public nuisance is one which affects at the same time an entire community or neighborhood, or any. California civil code § 3479 defines a nuisance as “ [anything] which is injurious to health, or is indecent or offensive to the senses, or. California Definition Nuisance.
From www.cabq.gov
Nuisance Weed Removal — City of Albuquerque California Definition Nuisance Injures someone’s health, offends someone, or prevents the free use of property, and interferes with a community’s. Examples of public nuisances are:. California civil code section 3479 defines a nuisance as including any “obstruction to the free use of. The legal definition of public nuisance in california is anything that: A public nuisance is one which affects at the same. California Definition Nuisance.
From www.slideserve.com
PPT Chapter 51 Environment Law and Land Use Controls PowerPoint California Definition Nuisance A public nuisance is one which affects at the same time an entire community or neighborhood, or any considerable number of persons,. The legal definition of public nuisance in california is anything that: A public nuisance is one which affects at the same time an entire community or neighborhood, or any. A ‘private nuisance’ is defined to include any nuisance. California Definition Nuisance.
From www.youtube.com
Abatement of A Nuisance Definition & Meaning YouTube California Definition Nuisance The legal definition of public nuisance in california is anything that: A public nuisance is one which affects at the same time an entire community or neighborhood, or any. A ‘private nuisance’ is defined to include any nuisance not covered by the definition of a public nuisance, and also includes some. Examples of public nuisances are:. Injures someone’s health, offends. California Definition Nuisance.
From kwpmc.com
What Is a "Nuisance," Really? KWPMC News California Definition Nuisance Injures someone’s health, offends someone, or prevents the free use of property, and interferes with a community’s. Examples of public nuisances are:. A ‘private nuisance’ is defined to include any nuisance not covered by the definition of a public nuisance, and also includes some. California civil code § 3479 defines a nuisance as “ [anything] which is injurious to health,. California Definition Nuisance.
From www.studocu.com
Nuisance 2 Notes NUISANCE Nuisance Meaning & Definition The word California Definition Nuisance A ‘private nuisance’ is defined to include any nuisance not covered by the definition of a public nuisance, and also includes some. The legal definition of public nuisance in california is anything that: California civil code section 3479 defines a nuisance as including any “obstruction to the free use of. A public nuisance is one which affects at the same. California Definition Nuisance.
From www.atra.org
The Alarming Evolution of Public Nuisance Law ATRA California Definition Nuisance A public nuisance is one which affects at the same time an entire community or neighborhood, or any considerable number of persons,. Examples of public nuisances are:. The legal definition of public nuisance in california is anything that: A public nuisance is one which affects at the same time an entire community or neighborhood, or any. California civil code section. California Definition Nuisance.
From www.youtube.com
"nuisance" meaning (with examples) YouTube California Definition Nuisance A ‘private nuisance’ is defined to include any nuisance not covered by the definition of a public nuisance, and also includes some. California civil code § 3479 defines a nuisance as “ [anything] which is injurious to health, or is indecent or offensive to the senses, or an obstruction to the free use of. California civil code section 3479 defines. California Definition Nuisance.
From www.denisonforum.org
California city may declare local ChickfilA a public nuisance California Definition Nuisance The legal definition of public nuisance in california is anything that: Examples of public nuisances are:. Injures someone’s health, offends someone, or prevents the free use of property, and interferes with a community’s. California civil code section 3479 defines a nuisance as including any “obstruction to the free use of. A ‘private nuisance’ is defined to include any nuisance not. California Definition Nuisance.
From theplanetd.com
12 Interesting and Cool Facts About California The D California Definition Nuisance Injures someone’s health, offends someone, or prevents the free use of property, and interferes with a community’s. The legal definition of public nuisance in california is anything that: A public nuisance is one which affects at the same time an entire community or neighborhood, or any considerable number of persons,. A ‘private nuisance’ is defined to include any nuisance not. California Definition Nuisance.
From www.slideserve.com
PPT Chapter 52 Environmental Law and Land Use Controls PowerPoint California Definition Nuisance California civil code § 3479 defines a nuisance as “ [anything] which is injurious to health, or is indecent or offensive to the senses, or an obstruction to the free use of. California civil code section 3479 defines a nuisance as including any “obstruction to the free use of. Examples of public nuisances are:. A ‘private nuisance’ is defined to. California Definition Nuisance.
From www.uslegalforms.com
California Notice of and Request by Landlord to Tenant to Abate California Definition Nuisance A ‘private nuisance’ is defined to include any nuisance not covered by the definition of a public nuisance, and also includes some. California civil code § 3479 defines a nuisance as “ [anything] which is injurious to health, or is indecent or offensive to the senses, or an obstruction to the free use of. Examples of public nuisances are:. A. California Definition Nuisance.
From slidetodoc.com
Torts connected to land Public Nuisance Learning Objectives California Definition Nuisance California civil code section 3479 defines a nuisance as including any “obstruction to the free use of. The legal definition of public nuisance in california is anything that: Examples of public nuisances are:. Injures someone’s health, offends someone, or prevents the free use of property, and interferes with a community’s. A public nuisance is one which affects at the same. California Definition Nuisance.
From www.studocu.com
Differences Between Public Nuisance AND Private Nuisance DIFFERENCES California Definition Nuisance Examples of public nuisances are:. A public nuisance is one which affects at the same time an entire community or neighborhood, or any considerable number of persons,. California civil code § 3479 defines a nuisance as “ [anything] which is injurious to health, or is indecent or offensive to the senses, or an obstruction to the free use of. The. California Definition Nuisance.
From www.sanluisobispo.com
Higher tides in California leading to nuisance flooding San Luis California Definition Nuisance California civil code section 3479 defines a nuisance as including any “obstruction to the free use of. Examples of public nuisances are:. A ‘private nuisance’ is defined to include any nuisance not covered by the definition of a public nuisance, and also includes some. The legal definition of public nuisance in california is anything that: A public nuisance is one. California Definition Nuisance.
From www.studocu.com
Nuisance detailed notes Nuisance There are three types of nuisances California Definition Nuisance Examples of public nuisances are:. California civil code section 3479 defines a nuisance as including any “obstruction to the free use of. A public nuisance is one which affects at the same time an entire community or neighborhood, or any. California civil code § 3479 defines a nuisance as “ [anything] which is injurious to health, or is indecent or. California Definition Nuisance.
From www.calreceivers.com
Abandoned and Collapsing Nuisance Property Attractive Home California Definition Nuisance A ‘private nuisance’ is defined to include any nuisance not covered by the definition of a public nuisance, and also includes some. A public nuisance is one which affects at the same time an entire community or neighborhood, or any considerable number of persons,. Examples of public nuisances are:. The legal definition of public nuisance in california is anything that:. California Definition Nuisance.
From www.alburolaw.com
NUISANCE ALBURO ALBURO AND ASSOCIATES LAW OFFICES California Definition Nuisance California civil code section 3479 defines a nuisance as including any “obstruction to the free use of. A public nuisance is one which affects at the same time an entire community or neighborhood, or any considerable number of persons,. A ‘private nuisance’ is defined to include any nuisance not covered by the definition of a public nuisance, and also includes. California Definition Nuisance.
From legal-explanations.com
Nuisance Definition What Does Nuisance Mean? California Definition Nuisance The legal definition of public nuisance in california is anything that: Examples of public nuisances are:. A public nuisance is one which affects at the same time an entire community or neighborhood, or any. California civil code § 3479 defines a nuisance as “ [anything] which is injurious to health, or is indecent or offensive to the senses, or an. California Definition Nuisance.