Discussion Forum Grading Rubric . The descriptions and point values can be adjusted depending on the type of discussion. Discussion forum guidelines and rubric. Please review the following guidelines for discussion forum postings: Below is a general rubric for discussion forums. Provide some general guidelines for how students are expected to participate in the forums. Discussion rubric you should develop and share a discussion rubric to help students understand what you expect. As conference discussion is used by nearly every university program that has an online presence, i researched and compiled discussion grading. The following are examples of discussion forum grading rubrics that can be applied or modified to fit your course.
from www.slideshare.net
Discussion forum guidelines and rubric. As conference discussion is used by nearly every university program that has an online presence, i researched and compiled discussion grading. Discussion rubric you should develop and share a discussion rubric to help students understand what you expect. Below is a general rubric for discussion forums. Please review the following guidelines for discussion forum postings: The following are examples of discussion forum grading rubrics that can be applied or modified to fit your course. The descriptions and point values can be adjusted depending on the type of discussion. Provide some general guidelines for how students are expected to participate in the forums.
Discussion Board Participation Rubric
Discussion Forum Grading Rubric Below is a general rubric for discussion forums. The descriptions and point values can be adjusted depending on the type of discussion. As conference discussion is used by nearly every university program that has an online presence, i researched and compiled discussion grading. The following are examples of discussion forum grading rubrics that can be applied or modified to fit your course. Please review the following guidelines for discussion forum postings: Discussion rubric you should develop and share a discussion rubric to help students understand what you expect. Below is a general rubric for discussion forums. Provide some general guidelines for how students are expected to participate in the forums. Discussion forum guidelines and rubric.
From www.scribd.com
Grade Discussion Forum Grading Rubric/ Response To Other Learner's Discussion Forum Grading Rubric Please review the following guidelines for discussion forum postings: As conference discussion is used by nearly every university program that has an online presence, i researched and compiled discussion grading. Below is a general rubric for discussion forums. Discussion rubric you should develop and share a discussion rubric to help students understand what you expect. The following are examples of. Discussion Forum Grading Rubric.
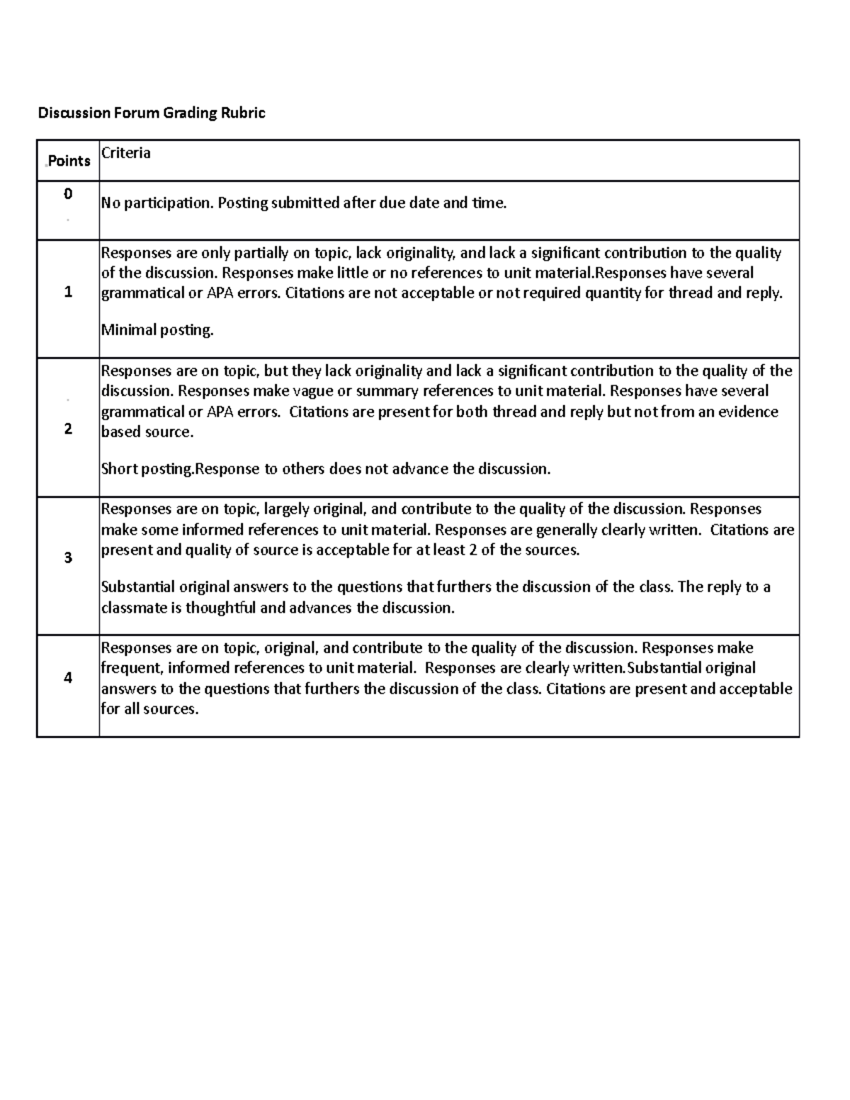
From www.studocu.com
WK 2 Grading Rubric Week 2 for nur530 Unit 2 Discussion Forum Discussion Forum Grading Rubric As conference discussion is used by nearly every university program that has an online presence, i researched and compiled discussion grading. Provide some general guidelines for how students are expected to participate in the forums. Please review the following guidelines for discussion forum postings: Discussion rubric you should develop and share a discussion rubric to help students understand what you. Discussion Forum Grading Rubric.
From www.studocu.com
Discussion Forum 1 Grading Rubric 2020 Discussion 1 Introduction and Discussion Forum Grading Rubric Discussion rubric you should develop and share a discussion rubric to help students understand what you expect. As conference discussion is used by nearly every university program that has an online presence, i researched and compiled discussion grading. Please review the following guidelines for discussion forum postings: Provide some general guidelines for how students are expected to participate in the. Discussion Forum Grading Rubric.
From brunofuga.adv.br
Scoring And Grading In Assessment A Complete Rubric Guide, 56 OFF Discussion Forum Grading Rubric Provide some general guidelines for how students are expected to participate in the forums. Discussion rubric you should develop and share a discussion rubric to help students understand what you expect. The descriptions and point values can be adjusted depending on the type of discussion. The following are examples of discussion forum grading rubrics that can be applied or modified. Discussion Forum Grading Rubric.
From www.slideshare.net
Discussion Board Participation Rubric Discussion Forum Grading Rubric The following are examples of discussion forum grading rubrics that can be applied or modified to fit your course. As conference discussion is used by nearly every university program that has an online presence, i researched and compiled discussion grading. Discussion forum guidelines and rubric. The descriptions and point values can be adjusted depending on the type of discussion. Please. Discussion Forum Grading Rubric.
From www.studypool.com
SOLUTION Discussion Board Forum Grading Rubric 202020B(1) (1) Studypool Discussion Forum Grading Rubric Below is a general rubric for discussion forums. The descriptions and point values can be adjusted depending on the type of discussion. Discussion rubric you should develop and share a discussion rubric to help students understand what you expect. Please review the following guidelines for discussion forum postings: Provide some general guidelines for how students are expected to participate in. Discussion Forum Grading Rubric.
From www.semanticscholar.org
[PDF] The Impact of ProgramWide Discussion Board Grading Rubric on Discussion Forum Grading Rubric Please review the following guidelines for discussion forum postings: Provide some general guidelines for how students are expected to participate in the forums. The following are examples of discussion forum grading rubrics that can be applied or modified to fit your course. The descriptions and point values can be adjusted depending on the type of discussion. Below is a general. Discussion Forum Grading Rubric.
From www.studocu.com
Studocu Patho DB 1 DB 1 Discussion Forum Grading Rubric Points Discussion Forum Grading Rubric The following are examples of discussion forum grading rubrics that can be applied or modified to fit your course. The descriptions and point values can be adjusted depending on the type of discussion. Discussion forum guidelines and rubric. Please review the following guidelines for discussion forum postings: Provide some general guidelines for how students are expected to participate in the. Discussion Forum Grading Rubric.
From www.scribd.com
Group Discussion and Participation Rubric.pdf Rubric (Academic Discussion Forum Grading Rubric Discussion rubric you should develop and share a discussion rubric to help students understand what you expect. Discussion forum guidelines and rubric. Provide some general guidelines for how students are expected to participate in the forums. Please review the following guidelines for discussion forum postings: As conference discussion is used by nearly every university program that has an online presence,. Discussion Forum Grading Rubric.
From www.scribd.com
Discussion Forum Grading Rubric PDF Critical Thinking Cognition Discussion Forum Grading Rubric Please review the following guidelines for discussion forum postings: The following are examples of discussion forum grading rubrics that can be applied or modified to fit your course. The descriptions and point values can be adjusted depending on the type of discussion. Discussion forum guidelines and rubric. Discussion rubric you should develop and share a discussion rubric to help students. Discussion Forum Grading Rubric.
From www.studocu.com
Weekly Discussion Forum Grading Rubric DISCUSSION FORUM ASSESSMENT Discussion Forum Grading Rubric Below is a general rubric for discussion forums. Discussion rubric you should develop and share a discussion rubric to help students understand what you expect. Discussion forum guidelines and rubric. Provide some general guidelines for how students are expected to participate in the forums. Please review the following guidelines for discussion forum postings: The following are examples of discussion forum. Discussion Forum Grading Rubric.
From www.studypool.com
SOLUTION Discussion board forum grading rubric Studypool Discussion Forum Grading Rubric Discussion forum guidelines and rubric. The descriptions and point values can be adjusted depending on the type of discussion. The following are examples of discussion forum grading rubrics that can be applied or modified to fit your course. Below is a general rubric for discussion forums. Discussion rubric you should develop and share a discussion rubric to help students understand. Discussion Forum Grading Rubric.
From studylib.net
Discussion Board Grading Rubric Discussion Forum Grading Rubric Below is a general rubric for discussion forums. Provide some general guidelines for how students are expected to participate in the forums. The descriptions and point values can be adjusted depending on the type of discussion. Please review the following guidelines for discussion forum postings: The following are examples of discussion forum grading rubrics that can be applied or modified. Discussion Forum Grading Rubric.
From www.studocu.com
Discussion Grading Rubric History Discussion Grading Rubric Discussion Forum Grading Rubric Discussion forum guidelines and rubric. Please review the following guidelines for discussion forum postings: Discussion rubric you should develop and share a discussion rubric to help students understand what you expect. The descriptions and point values can be adjusted depending on the type of discussion. As conference discussion is used by nearly every university program that has an online presence,. Discussion Forum Grading Rubric.
From www.studypool.com
SOLUTION Discussion board forum 2 grading rubric Studypool Discussion Forum Grading Rubric The following are examples of discussion forum grading rubrics that can be applied or modified to fit your course. Discussion forum guidelines and rubric. As conference discussion is used by nearly every university program that has an online presence, i researched and compiled discussion grading. Below is a general rubric for discussion forums. The descriptions and point values can be. Discussion Forum Grading Rubric.
From www.studocu.com
Discussion Board Grading Rubric DISCUSSION BOARD FORUM GRADING RUBRIC Discussion Forum Grading Rubric Discussion forum guidelines and rubric. Please review the following guidelines for discussion forum postings: The following are examples of discussion forum grading rubrics that can be applied or modified to fit your course. Discussion rubric you should develop and share a discussion rubric to help students understand what you expect. Provide some general guidelines for how students are expected to. Discussion Forum Grading Rubric.
From www.atitesting.com
RUBRIC HELPS GUARANTEE FAIR GRADING OF DISCUSSION BOARDS Discussion Forum Grading Rubric The descriptions and point values can be adjusted depending on the type of discussion. Discussion forum guidelines and rubric. Below is a general rubric for discussion forums. Provide some general guidelines for how students are expected to participate in the forums. As conference discussion is used by nearly every university program that has an online presence, i researched and compiled. Discussion Forum Grading Rubric.
From www.scribd.com
Discussion Board Forum Grading Rubric PDF Forum Human Discussion Forum Grading Rubric Discussion forum guidelines and rubric. As conference discussion is used by nearly every university program that has an online presence, i researched and compiled discussion grading. Below is a general rubric for discussion forums. The following are examples of discussion forum grading rubrics that can be applied or modified to fit your course. Please review the following guidelines for discussion. Discussion Forum Grading Rubric.
From www.studypool.com
SOLUTION Discussion Board Forum Grading Rubric 202020B(1) (1) Studypool Discussion Forum Grading Rubric Provide some general guidelines for how students are expected to participate in the forums. Below is a general rubric for discussion forums. Discussion rubric you should develop and share a discussion rubric to help students understand what you expect. The following are examples of discussion forum grading rubrics that can be applied or modified to fit your course. The descriptions. Discussion Forum Grading Rubric.
From www.scribd.com
Discussion Forum Grading Rubric MBA 704 PDF Apa Style Communication Discussion Forum Grading Rubric As conference discussion is used by nearly every university program that has an online presence, i researched and compiled discussion grading. The descriptions and point values can be adjusted depending on the type of discussion. Please review the following guidelines for discussion forum postings: Discussion forum guidelines and rubric. Provide some general guidelines for how students are expected to participate. Discussion Forum Grading Rubric.
From mavink.com
Sample Rubric For Discussion Boards Discussion Forum Grading Rubric Provide some general guidelines for how students are expected to participate in the forums. Please review the following guidelines for discussion forum postings: The descriptions and point values can be adjusted depending on the type of discussion. Discussion forum guidelines and rubric. As conference discussion is used by nearly every university program that has an online presence, i researched and. Discussion Forum Grading Rubric.
From www.studocu.com
PADM700 Case Study DB Rubric202040B PADM 700 CASE STUDY DISCUSSION Discussion Forum Grading Rubric Please review the following guidelines for discussion forum postings: Provide some general guidelines for how students are expected to participate in the forums. Below is a general rubric for discussion forums. The following are examples of discussion forum grading rubrics that can be applied or modified to fit your course. As conference discussion is used by nearly every university program. Discussion Forum Grading Rubric.
From www.studocu.com
Discussion Board Forums Grading Rubric Discussion Board Grading Discussion Forum Grading Rubric Please review the following guidelines for discussion forum postings: As conference discussion is used by nearly every university program that has an online presence, i researched and compiled discussion grading. Discussion forum guidelines and rubric. Provide some general guidelines for how students are expected to participate in the forums. Below is a general rubric for discussion forums. The following are. Discussion Forum Grading Rubric.
From blackboard-faq.com
Interactive Rubric In Blackboard Discussion Forum Grading Rubric Discussion forum guidelines and rubric. Please review the following guidelines for discussion forum postings: Provide some general guidelines for how students are expected to participate in the forums. The descriptions and point values can be adjusted depending on the type of discussion. Below is a general rubric for discussion forums. Discussion rubric you should develop and share a discussion rubric. Discussion Forum Grading Rubric.
From www.studypool.com
SOLUTION Group discussion board forum thread grading rubric Studypool Discussion Forum Grading Rubric Please review the following guidelines for discussion forum postings: Discussion rubric you should develop and share a discussion rubric to help students understand what you expect. The descriptions and point values can be adjusted depending on the type of discussion. Below is a general rubric for discussion forums. As conference discussion is used by nearly every university program that has. Discussion Forum Grading Rubric.
From studio.smu.ca
Grading Rubric — Studio for Teaching & Learning Discussion Forum Grading Rubric The descriptions and point values can be adjusted depending on the type of discussion. As conference discussion is used by nearly every university program that has an online presence, i researched and compiled discussion grading. Discussion forum guidelines and rubric. Below is a general rubric for discussion forums. Discussion rubric you should develop and share a discussion rubric to help. Discussion Forum Grading Rubric.
From www.studocu.com
Grading Criteria and Rubric for Discussion Forum Postings It is Discussion Forum Grading Rubric Discussion rubric you should develop and share a discussion rubric to help students understand what you expect. Discussion forum guidelines and rubric. Please review the following guidelines for discussion forum postings: Below is a general rubric for discussion forums. The descriptions and point values can be adjusted depending on the type of discussion. Provide some general guidelines for how students. Discussion Forum Grading Rubric.
From www.scribd.com
Discussion Forum Grading Rubric PDF Discussion Forum Grading Rubric As conference discussion is used by nearly every university program that has an online presence, i researched and compiled discussion grading. Below is a general rubric for discussion forums. Provide some general guidelines for how students are expected to participate in the forums. Please review the following guidelines for discussion forum postings: The following are examples of discussion forum grading. Discussion Forum Grading Rubric.
From www.researchgate.net
Discussion Forum grading rubric Download Table Discussion Forum Grading Rubric Discussion forum guidelines and rubric. The descriptions and point values can be adjusted depending on the type of discussion. Below is a general rubric for discussion forums. Please review the following guidelines for discussion forum postings: As conference discussion is used by nearly every university program that has an online presence, i researched and compiled discussion grading. The following are. Discussion Forum Grading Rubric.
From www.studocu.com
Discussion Board Grading Rubric ECON 214 DISCUSSION BOARD FORUM Discussion Forum Grading Rubric The following are examples of discussion forum grading rubrics that can be applied or modified to fit your course. As conference discussion is used by nearly every university program that has an online presence, i researched and compiled discussion grading. Please review the following guidelines for discussion forum postings: Provide some general guidelines for how students are expected to participate. Discussion Forum Grading Rubric.
From kb.ccconline.org
Grade Discussions Using a Rubric or Without a Rubric Print View Discussion Forum Grading Rubric As conference discussion is used by nearly every university program that has an online presence, i researched and compiled discussion grading. The following are examples of discussion forum grading rubrics that can be applied or modified to fit your course. Below is a general rubric for discussion forums. Discussion forum guidelines and rubric. Provide some general guidelines for how students. Discussion Forum Grading Rubric.
From www.studypool.com
SOLUTION Discussion board forum interactions grading rubric Studypool Discussion Forum Grading Rubric Below is a general rubric for discussion forums. Discussion rubric you should develop and share a discussion rubric to help students understand what you expect. Provide some general guidelines for how students are expected to participate in the forums. The descriptions and point values can be adjusted depending on the type of discussion. Please review the following guidelines for discussion. Discussion Forum Grading Rubric.
From www.scribd.com
Online Discussion Forum Grading Rubric PDF Discussion Forum Grading Rubric The following are examples of discussion forum grading rubrics that can be applied or modified to fit your course. Provide some general guidelines for how students are expected to participate in the forums. Please review the following guidelines for discussion forum postings: Discussion rubric you should develop and share a discussion rubric to help students understand what you expect. The. Discussion Forum Grading Rubric.
From www.flickr.com
Discussion board rubric Rubric Paco Paco Flickr Discussion Forum Grading Rubric The descriptions and point values can be adjusted depending on the type of discussion. The following are examples of discussion forum grading rubrics that can be applied or modified to fit your course. Discussion forum guidelines and rubric. Below is a general rubric for discussion forums. As conference discussion is used by nearly every university program that has an online. Discussion Forum Grading Rubric.
From www.scribd.com
Discussion_Board_Forum_Grading_Rubric PDF Forum Discussion Forum Grading Rubric Provide some general guidelines for how students are expected to participate in the forums. Below is a general rubric for discussion forums. As conference discussion is used by nearly every university program that has an online presence, i researched and compiled discussion grading. The following are examples of discussion forum grading rubrics that can be applied or modified to fit. Discussion Forum Grading Rubric.