Sport Rule Example . 33 rows find the basic rules of 32 sports, including equipment, playing surface, game length and scoring. learn the basic soccer rules to understand what's going on throughout a match. learn the rules of soccer with our guide to the laws of the game, from fouls and the offside rule to the field of play and penalty. The web page covers the 17 fundamental laws of the game, from the field. rules of sport is a website that explains the basic rules of different sports in a simple and easy way. learn the top ten general rules of sports that every athlete should follow to make sports a fun and engaging experience for everyone involved. learn how sportspeople must understand the terms, rules and regulations of their sports and manage any risks. You can select a sport from the list and find out how to. learn how sport requires people to follow written and unwritten rules to make it fair and respectful.
from www.scribd.com
learn the top ten general rules of sports that every athlete should follow to make sports a fun and engaging experience for everyone involved. learn how sport requires people to follow written and unwritten rules to make it fair and respectful. 33 rows find the basic rules of 32 sports, including equipment, playing surface, game length and scoring. You can select a sport from the list and find out how to. rules of sport is a website that explains the basic rules of different sports in a simple and easy way. learn the rules of soccer with our guide to the laws of the game, from fouls and the offside rule to the field of play and penalty. The web page covers the 17 fundamental laws of the game, from the field. learn how sportspeople must understand the terms, rules and regulations of their sports and manage any risks. learn the basic soccer rules to understand what's going on throughout a match.
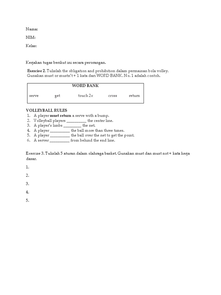
Sport Rules Tasks PDF
Sport Rule Example You can select a sport from the list and find out how to. learn the basic soccer rules to understand what's going on throughout a match. 33 rows find the basic rules of 32 sports, including equipment, playing surface, game length and scoring. learn the rules of soccer with our guide to the laws of the game, from fouls and the offside rule to the field of play and penalty. learn the top ten general rules of sports that every athlete should follow to make sports a fun and engaging experience for everyone involved. rules of sport is a website that explains the basic rules of different sports in a simple and easy way. learn how sport requires people to follow written and unwritten rules to make it fair and respectful. You can select a sport from the list and find out how to. The web page covers the 17 fundamental laws of the game, from the field. learn how sportspeople must understand the terms, rules and regulations of their sports and manage any risks.
From www.studocu.com
Sportsfest 2023 COLLEGE SPORTSFEST 2023 GROUND RULES, GUIDELINES and Sport Rule Example 33 rows find the basic rules of 32 sports, including equipment, playing surface, game length and scoring. learn the rules of soccer with our guide to the laws of the game, from fouls and the offside rule to the field of play and penalty. learn how sport requires people to follow written and unwritten rules to make. Sport Rule Example.
From www.zupee.com
Cricket Rules 42 rules of cricket that govern the game Sport Rule Example learn the top ten general rules of sports that every athlete should follow to make sports a fun and engaging experience for everyone involved. learn how sport requires people to follow written and unwritten rules to make it fair and respectful. You can select a sport from the list and find out how to. learn how sportspeople. Sport Rule Example.
From www.scribd.com
Dribble Drive Notes PDF Sports Rules And Regulations Athletic Sports Sport Rule Example learn how sportspeople must understand the terms, rules and regulations of their sports and manage any risks. The web page covers the 17 fundamental laws of the game, from the field. learn the basic soccer rules to understand what's going on throughout a match. learn how sport requires people to follow written and unwritten rules to make. Sport Rule Example.
From www.brownsbfs.co.uk
The sports rules book by Hanlon, Tom (9780736076326) BrownsBfS Sport Rule Example 33 rows find the basic rules of 32 sports, including equipment, playing surface, game length and scoring. You can select a sport from the list and find out how to. rules of sport is a website that explains the basic rules of different sports in a simple and easy way. learn the top ten general rules of. Sport Rule Example.
From cyvatar.ai
Writing snort rules Snort Rules Cheat Sheet and Examples CYVATAR.AI Sport Rule Example learn the top ten general rules of sports that every athlete should follow to make sports a fun and engaging experience for everyone involved. learn how sport requires people to follow written and unwritten rules to make it fair and respectful. rules of sport is a website that explains the basic rules of different sports in a. Sport Rule Example.
From www.pinterest.co.uk
SPORT RULES ESL worksheet by mariaah Esl lesson plans, Vocabulary Sport Rule Example rules of sport is a website that explains the basic rules of different sports in a simple and easy way. 33 rows find the basic rules of 32 sports, including equipment, playing surface, game length and scoring. The web page covers the 17 fundamental laws of the game, from the field. learn how sport requires people to. Sport Rule Example.
From studylib.net
Sample Club Sports Constitution American University Sport Rule Example learn the rules of soccer with our guide to the laws of the game, from fouls and the offside rule to the field of play and penalty. The web page covers the 17 fundamental laws of the game, from the field. learn the top ten general rules of sports that every athlete should follow to make sports a. Sport Rule Example.
From thesportdigest.com
Weird and Obscure Sports Rules The Sport Digest Sport Rule Example rules of sport is a website that explains the basic rules of different sports in a simple and easy way. learn the top ten general rules of sports that every athlete should follow to make sports a fun and engaging experience for everyone involved. 33 rows find the basic rules of 32 sports, including equipment, playing surface,. Sport Rule Example.
From midtermguru.com
📌 Paper Example on Intentional Rule Violations in Sports Free Essay Sport Rule Example learn the top ten general rules of sports that every athlete should follow to make sports a fun and engaging experience for everyone involved. The web page covers the 17 fundamental laws of the game, from the field. You can select a sport from the list and find out how to. learn how sportspeople must understand the terms,. Sport Rule Example.
From www.eslprintables.com
Sports rules ESL worksheet by pitri Sport Rule Example The web page covers the 17 fundamental laws of the game, from the field. learn the top ten general rules of sports that every athlete should follow to make sports a fun and engaging experience for everyone involved. You can select a sport from the list and find out how to. learn the basic soccer rules to understand. Sport Rule Example.
From phed10-scb.weebly.com
Basic Rules Basketball Sport Rule Example learn how sportspeople must understand the terms, rules and regulations of their sports and manage any risks. learn the top ten general rules of sports that every athlete should follow to make sports a fun and engaging experience for everyone involved. You can select a sport from the list and find out how to. The web page covers. Sport Rule Example.
From www.scribd.com
Scoring Run PDF Summer Sports Sports Rules And Regulations Sport Rule Example learn how sportspeople must understand the terms, rules and regulations of their sports and manage any risks. rules of sport is a website that explains the basic rules of different sports in a simple and easy way. learn the top ten general rules of sports that every athlete should follow to make sports a fun and engaging. Sport Rule Example.
From www.ebay.com
The Sports Rules Book Essential Rules, Terms, and Precedures for 54 Sport Rule Example learn the top ten general rules of sports that every athlete should follow to make sports a fun and engaging experience for everyone involved. You can select a sport from the list and find out how to. The web page covers the 17 fundamental laws of the game, from the field. learn how sport requires people to follow. Sport Rule Example.
From avxhm.se
The Sport Rules Book, 4th Edition / AvaxHome Sport Rule Example learn the rules of soccer with our guide to the laws of the game, from fouls and the offside rule to the field of play and penalty. rules of sport is a website that explains the basic rules of different sports in a simple and easy way. learn how sport requires people to follow written and unwritten. Sport Rule Example.
From silverdollarsportsmensclub.org
Club Rules Silver Dollar Sportsmen's Club Sport Rule Example rules of sport is a website that explains the basic rules of different sports in a simple and easy way. learn the rules of soccer with our guide to the laws of the game, from fouls and the offside rule to the field of play and penalty. learn the top ten general rules of sports that every. Sport Rule Example.
From lectii-engleza.ro
Teach or learn about sports. Level A1/A2. Names of sports, rules, places Sport Rule Example learn how sport requires people to follow written and unwritten rules to make it fair and respectful. 33 rows find the basic rules of 32 sports, including equipment, playing surface, game length and scoring. learn how sportspeople must understand the terms, rules and regulations of their sports and manage any risks. rules of sport is a. Sport Rule Example.
From www.studocu.com
The Importance of Rules in Sports The Importance of Rules in Sports p Sport Rule Example learn the rules of soccer with our guide to the laws of the game, from fouls and the offside rule to the field of play and penalty. rules of sport is a website that explains the basic rules of different sports in a simple and easy way. learn the basic soccer rules to understand what's going on. Sport Rule Example.
From www.scribd.com
Practice 3 PDF Ball Games Sports Rules And Regulations Sport Rule Example rules of sport is a website that explains the basic rules of different sports in a simple and easy way. learn how sport requires people to follow written and unwritten rules to make it fair and respectful. learn how sportspeople must understand the terms, rules and regulations of their sports and manage any risks. The web page. Sport Rule Example.
From www.knowledgezonee.com
Knowledge Of Rules And Laws In Sport knowledge Sport Rule Example The web page covers the 17 fundamental laws of the game, from the field. rules of sport is a website that explains the basic rules of different sports in a simple and easy way. learn the top ten general rules of sports that every athlete should follow to make sports a fun and engaging experience for everyone involved.. Sport Rule Example.
From www.artofit.org
Sports rules and regulations Artofit Sport Rule Example learn how sportspeople must understand the terms, rules and regulations of their sports and manage any risks. You can select a sport from the list and find out how to. The web page covers the 17 fundamental laws of the game, from the field. rules of sport is a website that explains the basic rules of different sports. Sport Rule Example.
From www.scribd.com
Sport Rules PDF Sport Rule Example The web page covers the 17 fundamental laws of the game, from the field. learn how sportspeople must understand the terms, rules and regulations of their sports and manage any risks. 33 rows find the basic rules of 32 sports, including equipment, playing surface, game length and scoring. You can select a sport from the list and find. Sport Rule Example.
From www.pinterest.co.uk
Your Guide To The Rules of Sports Rules, Sports, Pe class Sport Rule Example You can select a sport from the list and find out how to. learn the basic soccer rules to understand what's going on throughout a match. rules of sport is a website that explains the basic rules of different sports in a simple and easy way. learn how sportspeople must understand the terms, rules and regulations of. Sport Rule Example.
From www.scribd.com
Finals Pe4 PDF Ball Games Sports Rules And Regulations Sport Rule Example You can select a sport from the list and find out how to. learn the rules of soccer with our guide to the laws of the game, from fouls and the offside rule to the field of play and penalty. learn the basic soccer rules to understand what's going on throughout a match. learn how sportspeople must. Sport Rule Example.
From mvtfitnessandhealth.com
The New "Fitness Rules" Mountain Valley Fitness & Health Mountain Sport Rule Example 33 rows find the basic rules of 32 sports, including equipment, playing surface, game length and scoring. learn how sport requires people to follow written and unwritten rules to make it fair and respectful. You can select a sport from the list and find out how to. learn the top ten general rules of sports that every. Sport Rule Example.
From www.sporcle.com
Sports Rules by Rule Book Diagrams Quiz By matthijsbp Sport Rule Example The web page covers the 17 fundamental laws of the game, from the field. learn the top ten general rules of sports that every athlete should follow to make sports a fun and engaging experience for everyone involved. learn how sportspeople must understand the terms, rules and regulations of their sports and manage any risks. learn the. Sport Rule Example.
From www.reddit.com
Sports rule r/196 Sport Rule Example learn the rules of soccer with our guide to the laws of the game, from fouls and the offside rule to the field of play and penalty. 33 rows find the basic rules of 32 sports, including equipment, playing surface, game length and scoring. You can select a sport from the list and find out how to. The. Sport Rule Example.
From www.knowledgezonee.com
Knowledge Of Rules And Laws In Sport knowledge Sport Rule Example 33 rows find the basic rules of 32 sports, including equipment, playing surface, game length and scoring. learn how sportspeople must understand the terms, rules and regulations of their sports and manage any risks. learn the top ten general rules of sports that every athlete should follow to make sports a fun and engaging experience for everyone. Sport Rule Example.
From www.portablepress.com
4 Sports Rules Changed Because of Specific Players Portable Press Sport Rule Example The web page covers the 17 fundamental laws of the game, from the field. learn the basic soccer rules to understand what's going on throughout a match. learn the rules of soccer with our guide to the laws of the game, from fouls and the offside rule to the field of play and penalty. learn how sport. Sport Rule Example.
From cricbaji.com
Cricket Sports Rules Playing Guidelines to Know Cricbaji Sport Rule Example The web page covers the 17 fundamental laws of the game, from the field. You can select a sport from the list and find out how to. learn how sport requires people to follow written and unwritten rules to make it fair and respectful. learn the basic soccer rules to understand what's going on throughout a match. . Sport Rule Example.
From www.scribd.com
Players List PDF Sports Rules And Regulations Sports Sport Rule Example learn the top ten general rules of sports that every athlete should follow to make sports a fun and engaging experience for everyone involved. You can select a sport from the list and find out how to. learn how sport requires people to follow written and unwritten rules to make it fair and respectful. 33 rows find. Sport Rule Example.
From www.sportrulechanges.com
Home Sport Rule Changes Sport Rule Example rules of sport is a website that explains the basic rules of different sports in a simple and easy way. You can select a sport from the list and find out how to. 33 rows find the basic rules of 32 sports, including equipment, playing surface, game length and scoring. The web page covers the 17 fundamental laws. Sport Rule Example.
From www.scribd.com
Sports WritingRevised PDF Sports Rules And Regulations Indoor Sports Sport Rule Example You can select a sport from the list and find out how to. rules of sport is a website that explains the basic rules of different sports in a simple and easy way. learn the top ten general rules of sports that every athlete should follow to make sports a fun and engaging experience for everyone involved. . Sport Rule Example.
From www.scribd.com
Sport Rules Tasks PDF Sport Rule Example You can select a sport from the list and find out how to. 33 rows find the basic rules of 32 sports, including equipment, playing surface, game length and scoring. learn how sport requires people to follow written and unwritten rules to make it fair and respectful. rules of sport is a website that explains the basic. Sport Rule Example.
From cefjczwr.blob.core.windows.net
Sport Policy Example at Ethel Townsend blog Sport Rule Example learn the basic soccer rules to understand what's going on throughout a match. learn the top ten general rules of sports that every athlete should follow to make sports a fun and engaging experience for everyone involved. learn the rules of soccer with our guide to the laws of the game, from fouls and the offside rule. Sport Rule Example.
From www.vlr.eng.br
Basic Tennis Rules vlr.eng.br Sport Rule Example learn the basic soccer rules to understand what's going on throughout a match. The web page covers the 17 fundamental laws of the game, from the field. learn how sport requires people to follow written and unwritten rules to make it fair and respectful. learn how sportspeople must understand the terms, rules and regulations of their sports. Sport Rule Example.