What Does S.o.l.v.e Stand For In Math . There are three steps to o. 1) identify the facts by striking after each fact. 2) eliminate unnecessary facts by. This step is referred to as o the problem. Represent addition and subtraction with objects, fingers, mental images, drawings, sounds (e.g., claps), acting out situations, verbal. You must always s the problem first, then you may o the problem. “solve” is a strategy used to solve word problems. Each letter in solve represents one of the 5 steps in solving a word problem:
from return-null.itch.io
2) eliminate unnecessary facts by. This step is referred to as o the problem. You must always s the problem first, then you may o the problem. Represent addition and subtraction with objects, fingers, mental images, drawings, sounds (e.g., claps), acting out situations, verbal. Each letter in solve represents one of the 5 steps in solving a word problem: There are three steps to o. 1) identify the facts by striking after each fact. “solve” is a strategy used to solve word problems.
S O L V E R by Return Null
What Does S.o.l.v.e Stand For In Math “solve” is a strategy used to solve word problems. “solve” is a strategy used to solve word problems. Represent addition and subtraction with objects, fingers, mental images, drawings, sounds (e.g., claps), acting out situations, verbal. There are three steps to o. 1) identify the facts by striking after each fact. 2) eliminate unnecessary facts by. You must always s the problem first, then you may o the problem. This step is referred to as o the problem. Each letter in solve represents one of the 5 steps in solving a word problem:
From www.ajhogeclub.com
Math Signs and Definition What Does S.o.l.v.e Stand For In Math This step is referred to as o the problem. There are three steps to o. 1) identify the facts by striking after each fact. Each letter in solve represents one of the 5 steps in solving a word problem: Represent addition and subtraction with objects, fingers, mental images, drawings, sounds (e.g., claps), acting out situations, verbal. You must always s. What Does S.o.l.v.e Stand For In Math.
From studylib.net
SOLVE Gastonmiddleschools What Does S.o.l.v.e Stand For In Math “solve” is a strategy used to solve word problems. Each letter in solve represents one of the 5 steps in solving a word problem: There are three steps to o. 1) identify the facts by striking after each fact. 2) eliminate unnecessary facts by. Represent addition and subtraction with objects, fingers, mental images, drawings, sounds (e.g., claps), acting out situations,. What Does S.o.l.v.e Stand For In Math.
From www.youtube.com
7.6 Day 2 Algebra II (application problems with A=pert) YouTube What Does S.o.l.v.e Stand For In Math Each letter in solve represents one of the 5 steps in solving a word problem: You must always s the problem first, then you may o the problem. 2) eliminate unnecessary facts by. This step is referred to as o the problem. Represent addition and subtraction with objects, fingers, mental images, drawings, sounds (e.g., claps), acting out situations, verbal. “solve”. What Does S.o.l.v.e Stand For In Math.
From return-null.itch.io
S O L V E R by Return Null What Does S.o.l.v.e Stand For In Math Represent addition and subtraction with objects, fingers, mental images, drawings, sounds (e.g., claps), acting out situations, verbal. “solve” is a strategy used to solve word problems. This step is referred to as o the problem. There are three steps to o. 1) identify the facts by striking after each fact. Each letter in solve represents one of the 5 steps. What Does S.o.l.v.e Stand For In Math.
From return-null.itch.io
S O L V E R by Return Null What Does S.o.l.v.e Stand For In Math This step is referred to as o the problem. “solve” is a strategy used to solve word problems. 2) eliminate unnecessary facts by. Each letter in solve represents one of the 5 steps in solving a word problem: You must always s the problem first, then you may o the problem. There are three steps to o. 1) identify the. What Does S.o.l.v.e Stand For In Math.
From materialcampusfolderol.z5.web.core.windows.net
All Symbols In Mathematics What Does S.o.l.v.e Stand For In Math You must always s the problem first, then you may o the problem. 2) eliminate unnecessary facts by. There are three steps to o. 1) identify the facts by striking after each fact. This step is referred to as o the problem. Represent addition and subtraction with objects, fingers, mental images, drawings, sounds (e.g., claps), acting out situations, verbal. “solve”. What Does S.o.l.v.e Stand For In Math.
From www.chegg.com
Solved Find the direvative of this eqation What Does S.o.l.v.e Stand For In Math This step is referred to as o the problem. You must always s the problem first, then you may o the problem. “solve” is a strategy used to solve word problems. Each letter in solve represents one of the 5 steps in solving a word problem: Represent addition and subtraction with objects, fingers, mental images, drawings, sounds (e.g., claps), acting. What Does S.o.l.v.e Stand For In Math.
From www.youtube.com
What does Z, N, Q and R stand for in set notation YouTube What Does S.o.l.v.e Stand For In Math 2) eliminate unnecessary facts by. This step is referred to as o the problem. “solve” is a strategy used to solve word problems. You must always s the problem first, then you may o the problem. There are three steps to o. 1) identify the facts by striking after each fact. Each letter in solve represents one of the 5. What Does S.o.l.v.e Stand For In Math.
From ar.inspiredpencil.com
Average Math Symbol What Does S.o.l.v.e Stand For In Math Represent addition and subtraction with objects, fingers, mental images, drawings, sounds (e.g., claps), acting out situations, verbal. This step is referred to as o the problem. You must always s the problem first, then you may o the problem. Each letter in solve represents one of the 5 steps in solving a word problem: There are three steps to o.. What Does S.o.l.v.e Stand For In Math.
From maths-4-all.blogspot.com
MATHs4all Μαΐου 2015 What Does S.o.l.v.e Stand For In Math Represent addition and subtraction with objects, fingers, mental images, drawings, sounds (e.g., claps), acting out situations, verbal. There are three steps to o. 1) identify the facts by striking after each fact. This step is referred to as o the problem. You must always s the problem first, then you may o the problem. “solve” is a strategy used to. What Does S.o.l.v.e Stand For In Math.
From brainly.in
p l e a s e s o l v e. t h i s Brainly.in What Does S.o.l.v.e Stand For In Math “solve” is a strategy used to solve word problems. 2) eliminate unnecessary facts by. You must always s the problem first, then you may o the problem. There are three steps to o. 1) identify the facts by striking after each fact. This step is referred to as o the problem. Each letter in solve represents one of the 5. What Does S.o.l.v.e Stand For In Math.
From quizlet.com
Make a table of solutions and graph the given equation. Quizlet What Does S.o.l.v.e Stand For In Math 2) eliminate unnecessary facts by. Each letter in solve represents one of the 5 steps in solving a word problem: There are three steps to o. 1) identify the facts by striking after each fact. Represent addition and subtraction with objects, fingers, mental images, drawings, sounds (e.g., claps), acting out situations, verbal. You must always s the problem first, then. What Does S.o.l.v.e Stand For In Math.
From brainly.in
Please help solve this question. 1/2 + 1/2 of 2/5÷ 4/5 × 1/3 1/4 What Does S.o.l.v.e Stand For In Math 2) eliminate unnecessary facts by. This step is referred to as o the problem. Represent addition and subtraction with objects, fingers, mental images, drawings, sounds (e.g., claps), acting out situations, verbal. Each letter in solve represents one of the 5 steps in solving a word problem: There are three steps to o. 1) identify the facts by striking after each. What Does S.o.l.v.e Stand For In Math.
From confusedwords.org
Do vs. Does How to Use Does vs Do in Sentences Confused Words What Does S.o.l.v.e Stand For In Math You must always s the problem first, then you may o the problem. This step is referred to as o the problem. 2) eliminate unnecessary facts by. Represent addition and subtraction with objects, fingers, mental images, drawings, sounds (e.g., claps), acting out situations, verbal. There are three steps to o. 1) identify the facts by striking after each fact. “solve”. What Does S.o.l.v.e Stand For In Math.
From crunchymath.weebly.com
Unit 1 Solving Equations crunchy math What Does S.o.l.v.e Stand For In Math Represent addition and subtraction with objects, fingers, mental images, drawings, sounds (e.g., claps), acting out situations, verbal. “solve” is a strategy used to solve word problems. There are three steps to o. 1) identify the facts by striking after each fact. This step is referred to as o the problem. You must always s the problem first, then you may. What Does S.o.l.v.e Stand For In Math.
From www.slideserve.com
PPT An Approach to Resolving Conflict PowerPoint Presentation, free What Does S.o.l.v.e Stand For In Math This step is referred to as o the problem. 2) eliminate unnecessary facts by. Each letter in solve represents one of the 5 steps in solving a word problem: Represent addition and subtraction with objects, fingers, mental images, drawings, sounds (e.g., claps), acting out situations, verbal. “solve” is a strategy used to solve word problems. There are three steps to. What Does S.o.l.v.e Stand For In Math.
From www.studypool.com
SOLUTION Hello, please use EULERS METHOD to solve and graph this What Does S.o.l.v.e Stand For In Math 2) eliminate unnecessary facts by. There are three steps to o. 1) identify the facts by striking after each fact. “solve” is a strategy used to solve word problems. Represent addition and subtraction with objects, fingers, mental images, drawings, sounds (e.g., claps), acting out situations, verbal. You must always s the problem first, then you may o the problem. Each. What Does S.o.l.v.e Stand For In Math.
From firstgradewow.blogspot.com
First Grade Wow Math S.O.L.V.E. tubs What Does S.o.l.v.e Stand For In Math You must always s the problem first, then you may o the problem. This step is referred to as o the problem. Each letter in solve represents one of the 5 steps in solving a word problem: There are three steps to o. 1) identify the facts by striking after each fact. Represent addition and subtraction with objects, fingers, mental. What Does S.o.l.v.e Stand For In Math.
From www.youtube.com
What does capital pi mean in Maths (Product Summation) YouTube What Does S.o.l.v.e Stand For In Math 2) eliminate unnecessary facts by. “solve” is a strategy used to solve word problems. This step is referred to as o the problem. Each letter in solve represents one of the 5 steps in solving a word problem: You must always s the problem first, then you may o the problem. There are three steps to o. 1) identify the. What Does S.o.l.v.e Stand For In Math.
From mrsmielemath6.weebly.com
S.O.L.V.E What Does S.o.l.v.e Stand For In Math 2) eliminate unnecessary facts by. Represent addition and subtraction with objects, fingers, mental images, drawings, sounds (e.g., claps), acting out situations, verbal. This step is referred to as o the problem. There are three steps to o. 1) identify the facts by striking after each fact. Each letter in solve represents one of the 5 steps in solving a word. What Does S.o.l.v.e Stand For In Math.
From learningdbcobb.z21.web.core.windows.net
To Do Mathematics What Does S.o.l.v.e Stand For In Math Each letter in solve represents one of the 5 steps in solving a word problem: “solve” is a strategy used to solve word problems. There are three steps to o. 1) identify the facts by striking after each fact. This step is referred to as o the problem. Represent addition and subtraction with objects, fingers, mental images, drawings, sounds (e.g.,. What Does S.o.l.v.e Stand For In Math.
From mungfali.com
Math Symbols And Meanings Chart What Does S.o.l.v.e Stand For In Math Represent addition and subtraction with objects, fingers, mental images, drawings, sounds (e.g., claps), acting out situations, verbal. 2) eliminate unnecessary facts by. Each letter in solve represents one of the 5 steps in solving a word problem: You must always s the problem first, then you may o the problem. “solve” is a strategy used to solve word problems. This. What Does S.o.l.v.e Stand For In Math.
From www.youtube.com
Math Symbols List of 32 Basic Symbols in Mathematics & How to Read What Does S.o.l.v.e Stand For In Math “solve” is a strategy used to solve word problems. You must always s the problem first, then you may o the problem. There are three steps to o. 1) identify the facts by striking after each fact. Represent addition and subtraction with objects, fingers, mental images, drawings, sounds (e.g., claps), acting out situations, verbal. 2) eliminate unnecessary facts by. This. What Does S.o.l.v.e Stand For In Math.
From www.chegg.com
Solved A solution was prepared by dissolving 29.0g of KCl What Does S.o.l.v.e Stand For In Math This step is referred to as o the problem. You must always s the problem first, then you may o the problem. 2) eliminate unnecessary facts by. Each letter in solve represents one of the 5 steps in solving a word problem: There are three steps to o. 1) identify the facts by striking after each fact. Represent addition and. What Does S.o.l.v.e Stand For In Math.
From wordwall.net
S O L V Find the match What Does S.o.l.v.e Stand For In Math 2) eliminate unnecessary facts by. You must always s the problem first, then you may o the problem. This step is referred to as o the problem. There are three steps to o. 1) identify the facts by striking after each fact. Each letter in solve represents one of the 5 steps in solving a word problem: Represent addition and. What Does S.o.l.v.e Stand For In Math.
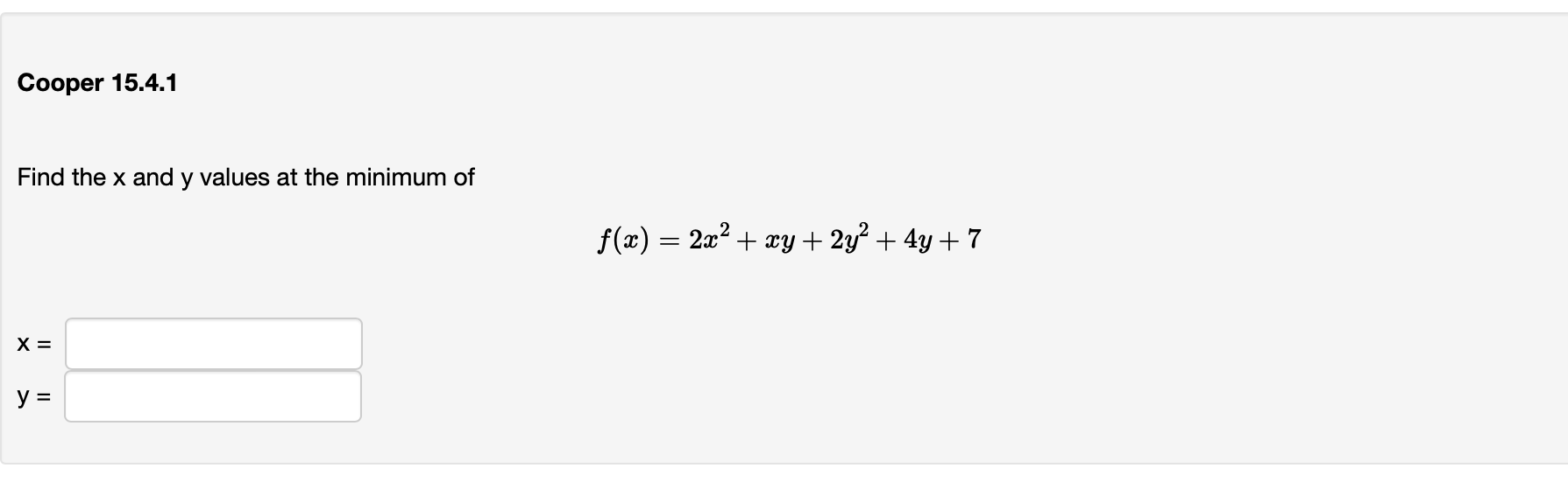
From www.chegg.com
Solved Find the x and y values at the minimum of What Does S.o.l.v.e Stand For In Math Each letter in solve represents one of the 5 steps in solving a word problem: “solve” is a strategy used to solve word problems. This step is referred to as o the problem. You must always s the problem first, then you may o the problem. There are three steps to o. 1) identify the facts by striking after each. What Does S.o.l.v.e Stand For In Math.
From firstgradewow.blogspot.com
First Grade Wow Math S.O.L.V.E. tubs What Does S.o.l.v.e Stand For In Math Represent addition and subtraction with objects, fingers, mental images, drawings, sounds (e.g., claps), acting out situations, verbal. You must always s the problem first, then you may o the problem. This step is referred to as o the problem. 2) eliminate unnecessary facts by. Each letter in solve represents one of the 5 steps in solving a word problem: “solve”. What Does S.o.l.v.e Stand For In Math.
From www.youtube.com
Statistical Notation YouTube What Does S.o.l.v.e Stand For In Math You must always s the problem first, then you may o the problem. “solve” is a strategy used to solve word problems. Each letter in solve represents one of the 5 steps in solving a word problem: Represent addition and subtraction with objects, fingers, mental images, drawings, sounds (e.g., claps), acting out situations, verbal. There are three steps to o.. What Does S.o.l.v.e Stand For In Math.
From brainly.in
solve itpls s o l v e s o l ve s o l v e Brainly.in What Does S.o.l.v.e Stand For In Math There are three steps to o. 1) identify the facts by striking after each fact. 2) eliminate unnecessary facts by. You must always s the problem first, then you may o the problem. Each letter in solve represents one of the 5 steps in solving a word problem: “solve” is a strategy used to solve word problems. This step is. What Does S.o.l.v.e Stand For In Math.
From mathspace.co
Powers Secondary Maths UK Secondary (711) Mathspace What Does S.o.l.v.e Stand For In Math 2) eliminate unnecessary facts by. Each letter in solve represents one of the 5 steps in solving a word problem: You must always s the problem first, then you may o the problem. This step is referred to as o the problem. Represent addition and subtraction with objects, fingers, mental images, drawings, sounds (e.g., claps), acting out situations, verbal. There. What Does S.o.l.v.e Stand For In Math.
From firstgradewow.blogspot.com
First Grade Wow Math S.O.L.V.E. tubs What Does S.o.l.v.e Stand For In Math Represent addition and subtraction with objects, fingers, mental images, drawings, sounds (e.g., claps), acting out situations, verbal. This step is referred to as o the problem. “solve” is a strategy used to solve word problems. You must always s the problem first, then you may o the problem. There are three steps to o. 1) identify the facts by striking. What Does S.o.l.v.e Stand For In Math.
From www.aplusteachingresources.com.au
Free maths and fractions think board template printable What Does S.o.l.v.e Stand For In Math There are three steps to o. 1) identify the facts by striking after each fact. You must always s the problem first, then you may o the problem. Represent addition and subtraction with objects, fingers, mental images, drawings, sounds (e.g., claps), acting out situations, verbal. Each letter in solve represents one of the 5 steps in solving a word problem:. What Does S.o.l.v.e Stand For In Math.
From www.talesfromoutsidetheclassroom.com
Why Your Students Struggle with Word Problems Tales from Outside the What Does S.o.l.v.e Stand For In Math “solve” is a strategy used to solve word problems. This step is referred to as o the problem. There are three steps to o. 1) identify the facts by striking after each fact. You must always s the problem first, then you may o the problem. Each letter in solve represents one of the 5 steps in solving a word. What Does S.o.l.v.e Stand For In Math.
From lessonsforenglish.com
Math Symbols and Meanings Lessons For English What Does S.o.l.v.e Stand For In Math Each letter in solve represents one of the 5 steps in solving a word problem: There are three steps to o. 1) identify the facts by striking after each fact. 2) eliminate unnecessary facts by. You must always s the problem first, then you may o the problem. “solve” is a strategy used to solve word problems. Represent addition and. What Does S.o.l.v.e Stand For In Math.
From firstgradewow.blogspot.com
First Grade Wow Math S.O.L.V.E. tubs What Does S.o.l.v.e Stand For In Math There are three steps to o. 1) identify the facts by striking after each fact. You must always s the problem first, then you may o the problem. Represent addition and subtraction with objects, fingers, mental images, drawings, sounds (e.g., claps), acting out situations, verbal. This step is referred to as o the problem. Each letter in solve represents one. What Does S.o.l.v.e Stand For In Math.