What Is A Conservation Easement In Nj . A conservation easement is a legal restriction that prohibits development of a property. Conservation easements •a conservation easement is a voluntary, legal agreement that permanently limits uses of the land in order to. A perpetual preservation easement is a legal instrument that provides enduring protection for a historic property. It also restricts activities on the property that would have a negative effect on the natural characteristics. A conservation easement is the legal instrument by which a landowner (a) limits, without relinquishing ownership, the. A “a conservation easement is an agreement to restrict development of property upon mutually agreeable terms,” writes ronald l. Green acres has developed easement acquisition standards to establish consistent policies and maximize public benefit from, and protect. Throughout new jersey, for many decades, conservation restrictions and conservation easements have been used by the state, counties, municipalities, government. The agricultural conservation easement program (acep) helps landowners, land trusts, and other entities protect, restore, and enhance wetlands or protect working farms and.
from www.templateroller.com
A perpetual preservation easement is a legal instrument that provides enduring protection for a historic property. A conservation easement is a legal restriction that prohibits development of a property. A conservation easement is the legal instrument by which a landowner (a) limits, without relinquishing ownership, the. A “a conservation easement is an agreement to restrict development of property upon mutually agreeable terms,” writes ronald l. Throughout new jersey, for many decades, conservation restrictions and conservation easements have been used by the state, counties, municipalities, government. Conservation easements •a conservation easement is a voluntary, legal agreement that permanently limits uses of the land in order to. Green acres has developed easement acquisition standards to establish consistent policies and maximize public benefit from, and protect. It also restricts activities on the property that would have a negative effect on the natural characteristics. The agricultural conservation easement program (acep) helps landowners, land trusts, and other entities protect, restore, and enhance wetlands or protect working farms and.
New Jersey Grant of Conservation Restriction/Easement (Stormwater
What Is A Conservation Easement In Nj The agricultural conservation easement program (acep) helps landowners, land trusts, and other entities protect, restore, and enhance wetlands or protect working farms and. A “a conservation easement is an agreement to restrict development of property upon mutually agreeable terms,” writes ronald l. A conservation easement is the legal instrument by which a landowner (a) limits, without relinquishing ownership, the. A perpetual preservation easement is a legal instrument that provides enduring protection for a historic property. It also restricts activities on the property that would have a negative effect on the natural characteristics. Green acres has developed easement acquisition standards to establish consistent policies and maximize public benefit from, and protect. The agricultural conservation easement program (acep) helps landowners, land trusts, and other entities protect, restore, and enhance wetlands or protect working farms and. Throughout new jersey, for many decades, conservation restrictions and conservation easements have been used by the state, counties, municipalities, government. Conservation easements •a conservation easement is a voluntary, legal agreement that permanently limits uses of the land in order to. A conservation easement is a legal restriction that prohibits development of a property.
From clarkelandconservation.org
Our Easement Map What Is A Conservation Easement In Nj The agricultural conservation easement program (acep) helps landowners, land trusts, and other entities protect, restore, and enhance wetlands or protect working farms and. A conservation easement is the legal instrument by which a landowner (a) limits, without relinquishing ownership, the. Conservation easements •a conservation easement is a voluntary, legal agreement that permanently limits uses of the land in order to.. What Is A Conservation Easement In Nj.
From www.templateroller.com
New Jersey Grant of Conservation Restriction/Easement (Shore Protection What Is A Conservation Easement In Nj The agricultural conservation easement program (acep) helps landowners, land trusts, and other entities protect, restore, and enhance wetlands or protect working farms and. Green acres has developed easement acquisition standards to establish consistent policies and maximize public benefit from, and protect. A perpetual preservation easement is a legal instrument that provides enduring protection for a historic property. A conservation easement. What Is A Conservation Easement In Nj.
From www.templateroller.com
New Jersey Grant of Conservation Restriction/Easement (Shore Protection What Is A Conservation Easement In Nj Green acres has developed easement acquisition standards to establish consistent policies and maximize public benefit from, and protect. A “a conservation easement is an agreement to restrict development of property upon mutually agreeable terms,” writes ronald l. A conservation easement is the legal instrument by which a landowner (a) limits, without relinquishing ownership, the. A conservation easement is a legal. What Is A Conservation Easement In Nj.
From www.templateroller.com
New Jersey Grant of Conservation Restriction/Easement (Stormwater What Is A Conservation Easement In Nj A perpetual preservation easement is a legal instrument that provides enduring protection for a historic property. A conservation easement is the legal instrument by which a landowner (a) limits, without relinquishing ownership, the. It also restricts activities on the property that would have a negative effect on the natural characteristics. Throughout new jersey, for many decades, conservation restrictions and conservation. What Is A Conservation Easement In Nj.
From elcr.org
Deed of Conservation Easement ELCR What Is A Conservation Easement In Nj Throughout new jersey, for many decades, conservation restrictions and conservation easements have been used by the state, counties, municipalities, government. A conservation easement is the legal instrument by which a landowner (a) limits, without relinquishing ownership, the. A “a conservation easement is an agreement to restrict development of property upon mutually agreeable terms,” writes ronald l. Green acres has developed. What Is A Conservation Easement In Nj.
From www.templateroller.com
New Jersey Grant of Conservation Restriction/Easement (Shore Protection What Is A Conservation Easement In Nj A perpetual preservation easement is a legal instrument that provides enduring protection for a historic property. A “a conservation easement is an agreement to restrict development of property upon mutually agreeable terms,” writes ronald l. Green acres has developed easement acquisition standards to establish consistent policies and maximize public benefit from, and protect. A conservation easement is a legal restriction. What Is A Conservation Easement In Nj.
From www.signnow.com
New Jersey Easement Complete with ease airSlate SignNow What Is A Conservation Easement In Nj Throughout new jersey, for many decades, conservation restrictions and conservation easements have been used by the state, counties, municipalities, government. The agricultural conservation easement program (acep) helps landowners, land trusts, and other entities protect, restore, and enhance wetlands or protect working farms and. It also restricts activities on the property that would have a negative effect on the natural characteristics.. What Is A Conservation Easement In Nj.
From www.templateroller.com
New Jersey Grant of Conservation Restriction/Easement (Shore Protection What Is A Conservation Easement In Nj The agricultural conservation easement program (acep) helps landowners, land trusts, and other entities protect, restore, and enhance wetlands or protect working farms and. A conservation easement is a legal restriction that prohibits development of a property. It also restricts activities on the property that would have a negative effect on the natural characteristics. Conservation easements •a conservation easement is a. What Is A Conservation Easement In Nj.
From www.templateroller.com
New Jersey Grant of Conservation Restriction/Easement (Stormwater What Is A Conservation Easement In Nj A conservation easement is the legal instrument by which a landowner (a) limits, without relinquishing ownership, the. A perpetual preservation easement is a legal instrument that provides enduring protection for a historic property. Green acres has developed easement acquisition standards to establish consistent policies and maximize public benefit from, and protect. It also restricts activities on the property that would. What Is A Conservation Easement In Nj.
From www.slideserve.com
PPT Conservation Easements 101 PowerPoint Presentation, free download What Is A Conservation Easement In Nj Throughout new jersey, for many decades, conservation restrictions and conservation easements have been used by the state, counties, municipalities, government. Green acres has developed easement acquisition standards to establish consistent policies and maximize public benefit from, and protect. Conservation easements •a conservation easement is a voluntary, legal agreement that permanently limits uses of the land in order to. A conservation. What Is A Conservation Easement In Nj.
From www.templateroller.com
New Jersey Grant of Conservation Restriction/Easement (Special Water What Is A Conservation Easement In Nj The agricultural conservation easement program (acep) helps landowners, land trusts, and other entities protect, restore, and enhance wetlands or protect working farms and. Conservation easements •a conservation easement is a voluntary, legal agreement that permanently limits uses of the land in order to. A conservation easement is a legal restriction that prohibits development of a property. Throughout new jersey, for. What Is A Conservation Easement In Nj.
From www.sixriversrlc.org
What is a Conservation Easement? — Six Rivers Land Conservancy What Is A Conservation Easement In Nj A perpetual preservation easement is a legal instrument that provides enduring protection for a historic property. Green acres has developed easement acquisition standards to establish consistent policies and maximize public benefit from, and protect. A conservation easement is the legal instrument by which a landowner (a) limits, without relinquishing ownership, the. It also restricts activities on the property that would. What Is A Conservation Easement In Nj.
From www.nycwatershed.org
What Is A Conservation Easement? NYC Watershed What Is A Conservation Easement In Nj The agricultural conservation easement program (acep) helps landowners, land trusts, and other entities protect, restore, and enhance wetlands or protect working farms and. A conservation easement is the legal instrument by which a landowner (a) limits, without relinquishing ownership, the. It also restricts activities on the property that would have a negative effect on the natural characteristics. A perpetual preservation. What Is A Conservation Easement In Nj.
From www.templateroller.com
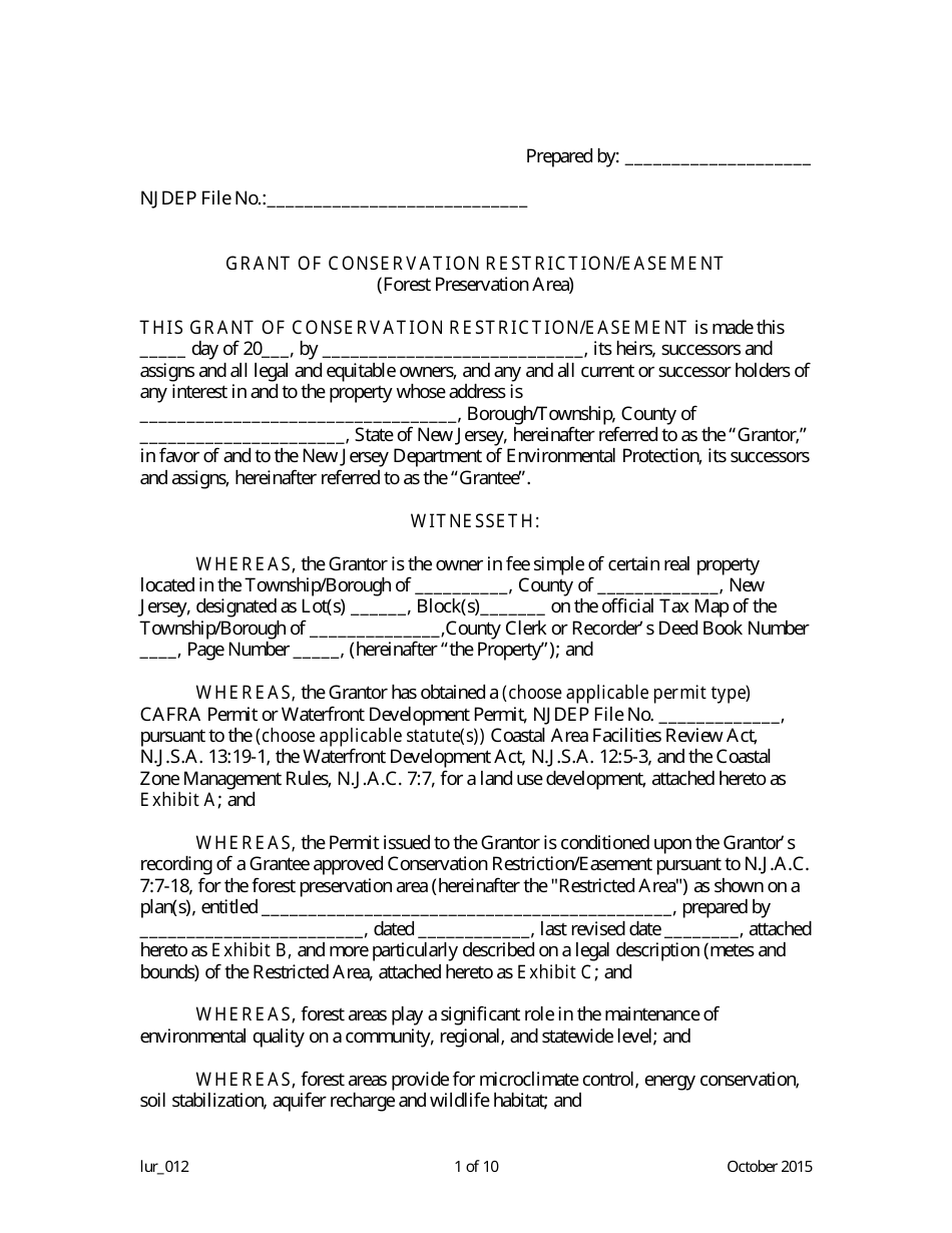
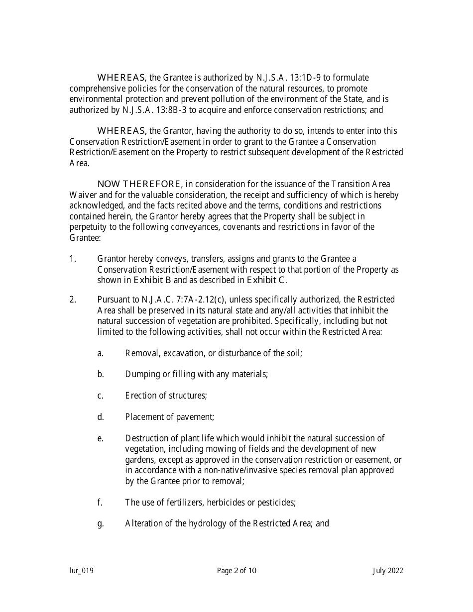
New Jersey Grant of Conservation Restriction/Easement (Forest What Is A Conservation Easement In Nj A “a conservation easement is an agreement to restrict development of property upon mutually agreeable terms,” writes ronald l. A perpetual preservation easement is a legal instrument that provides enduring protection for a historic property. The agricultural conservation easement program (acep) helps landowners, land trusts, and other entities protect, restore, and enhance wetlands or protect working farms and. It also. What Is A Conservation Easement In Nj.
From www.templateroller.com
New Jersey Grant of Conservation Restriction/Easement (Highlands What Is A Conservation Easement In Nj It also restricts activities on the property that would have a negative effect on the natural characteristics. A “a conservation easement is an agreement to restrict development of property upon mutually agreeable terms,” writes ronald l. Throughout new jersey, for many decades, conservation restrictions and conservation easements have been used by the state, counties, municipalities, government. A conservation easement is. What Is A Conservation Easement In Nj.
From www.templateroller.com
New Jersey Grant of Conservation Restriction/Easement (Special Water What Is A Conservation Easement In Nj A perpetual preservation easement is a legal instrument that provides enduring protection for a historic property. A conservation easement is the legal instrument by which a landowner (a) limits, without relinquishing ownership, the. The agricultural conservation easement program (acep) helps landowners, land trusts, and other entities protect, restore, and enhance wetlands or protect working farms and. Green acres has developed. What Is A Conservation Easement In Nj.
From www.templateroller.com
New Jersey Grant of Conservation Restriction/Easement (Shore Protection What Is A Conservation Easement In Nj A perpetual preservation easement is a legal instrument that provides enduring protection for a historic property. A “a conservation easement is an agreement to restrict development of property upon mutually agreeable terms,” writes ronald l. Conservation easements •a conservation easement is a voluntary, legal agreement that permanently limits uses of the land in order to. The agricultural conservation easement program. What Is A Conservation Easement In Nj.
From www.templateroller.com
New Jersey Grant of Conservation Restriction/Easement (Stormwater What Is A Conservation Easement In Nj A conservation easement is a legal restriction that prohibits development of a property. It also restricts activities on the property that would have a negative effect on the natural characteristics. A conservation easement is the legal instrument by which a landowner (a) limits, without relinquishing ownership, the. A perpetual preservation easement is a legal instrument that provides enduring protection for. What Is A Conservation Easement In Nj.
From www.templateroller.com
New Jersey Grant of Conservation Restriction/Easement (Forest What Is A Conservation Easement In Nj Green acres has developed easement acquisition standards to establish consistent policies and maximize public benefit from, and protect. It also restricts activities on the property that would have a negative effect on the natural characteristics. A conservation easement is the legal instrument by which a landowner (a) limits, without relinquishing ownership, the. Throughout new jersey, for many decades, conservation restrictions. What Is A Conservation Easement In Nj.
From www.templateroller.com
New Jersey Grant of Conservation Restriction/Easement (Dune Area and/or What Is A Conservation Easement In Nj The agricultural conservation easement program (acep) helps landowners, land trusts, and other entities protect, restore, and enhance wetlands or protect working farms and. Throughout new jersey, for many decades, conservation restrictions and conservation easements have been used by the state, counties, municipalities, government. A perpetual preservation easement is a legal instrument that provides enduring protection for a historic property. A. What Is A Conservation Easement In Nj.
From www.slideserve.com
PPT Conservation Easements 101 PowerPoint Presentation, free download What Is A Conservation Easement In Nj Green acres has developed easement acquisition standards to establish consistent policies and maximize public benefit from, and protect. It also restricts activities on the property that would have a negative effect on the natural characteristics. Conservation easements •a conservation easement is a voluntary, legal agreement that permanently limits uses of the land in order to. Throughout new jersey, for many. What Is A Conservation Easement In Nj.
From www.pedrobaycorp.com
Conservation Easement Agreement — Pedro Bay Corporation What Is A Conservation Easement In Nj A perpetual preservation easement is a legal instrument that provides enduring protection for a historic property. Throughout new jersey, for many decades, conservation restrictions and conservation easements have been used by the state, counties, municipalities, government. A conservation easement is a legal restriction that prohibits development of a property. Conservation easements •a conservation easement is a voluntary, legal agreement that. What Is A Conservation Easement In Nj.
From www.templateroller.com
New Jersey Grant of Conservation Restriction/Easement (Transition Area What Is A Conservation Easement In Nj A perpetual preservation easement is a legal instrument that provides enduring protection for a historic property. Conservation easements •a conservation easement is a voluntary, legal agreement that permanently limits uses of the land in order to. Throughout new jersey, for many decades, conservation restrictions and conservation easements have been used by the state, counties, municipalities, government. It also restricts activities. What Is A Conservation Easement In Nj.
From www.templateroller.com
New Jersey Grant of Conservation Restriction/Easement (Stormwater What Is A Conservation Easement In Nj It also restricts activities on the property that would have a negative effect on the natural characteristics. A conservation easement is a legal restriction that prohibits development of a property. The agricultural conservation easement program (acep) helps landowners, land trusts, and other entities protect, restore, and enhance wetlands or protect working farms and. Throughout new jersey, for many decades, conservation. What Is A Conservation Easement In Nj.
From www.templateroller.com
New Jersey Grant of Conservation Restriction/Easement (Public Access to What Is A Conservation Easement In Nj A conservation easement is a legal restriction that prohibits development of a property. Green acres has developed easement acquisition standards to establish consistent policies and maximize public benefit from, and protect. Throughout new jersey, for many decades, conservation restrictions and conservation easements have been used by the state, counties, municipalities, government. The agricultural conservation easement program (acep) helps landowners, land. What Is A Conservation Easement In Nj.
From www.nrcs.usda.gov
New Jersey NRCS Announces Signups for FY24 Agricultural Conservation What Is A Conservation Easement In Nj Green acres has developed easement acquisition standards to establish consistent policies and maximize public benefit from, and protect. A “a conservation easement is an agreement to restrict development of property upon mutually agreeable terms,” writes ronald l. Conservation easements •a conservation easement is a voluntary, legal agreement that permanently limits uses of the land in order to. A perpetual preservation. What Is A Conservation Easement In Nj.
From www.slideserve.com
PPT Conservation Easements 101 PowerPoint Presentation, free download What Is A Conservation Easement In Nj The agricultural conservation easement program (acep) helps landowners, land trusts, and other entities protect, restore, and enhance wetlands or protect working farms and. Conservation easements •a conservation easement is a voluntary, legal agreement that permanently limits uses of the land in order to. A “a conservation easement is an agreement to restrict development of property upon mutually agreeable terms,” writes. What Is A Conservation Easement In Nj.
From openspacetrust.org
Conservation Easement 101 POST What Is A Conservation Easement In Nj The agricultural conservation easement program (acep) helps landowners, land trusts, and other entities protect, restore, and enhance wetlands or protect working farms and. Conservation easements •a conservation easement is a voluntary, legal agreement that permanently limits uses of the land in order to. A conservation easement is a legal restriction that prohibits development of a property. A conservation easement is. What Is A Conservation Easement In Nj.
From www.templateroller.com
New Jersey Grant of Conservation Restriction/Easement (Highlands What Is A Conservation Easement In Nj Throughout new jersey, for many decades, conservation restrictions and conservation easements have been used by the state, counties, municipalities, government. Green acres has developed easement acquisition standards to establish consistent policies and maximize public benefit from, and protect. A “a conservation easement is an agreement to restrict development of property upon mutually agreeable terms,” writes ronald l. Conservation easements •a. What Is A Conservation Easement In Nj.
From www.templateroller.com
New Jersey Grant of Conservation Restriction/Easement (Shore Protection What Is A Conservation Easement In Nj A “a conservation easement is an agreement to restrict development of property upon mutually agreeable terms,” writes ronald l. Conservation easements •a conservation easement is a voluntary, legal agreement that permanently limits uses of the land in order to. The agricultural conservation easement program (acep) helps landowners, land trusts, and other entities protect, restore, and enhance wetlands or protect working. What Is A Conservation Easement In Nj.
From www.templateroller.com
New Jersey Grant of Conservation Restriction/Easement (Stormwater What Is A Conservation Easement In Nj Green acres has developed easement acquisition standards to establish consistent policies and maximize public benefit from, and protect. A “a conservation easement is an agreement to restrict development of property upon mutually agreeable terms,” writes ronald l. It also restricts activities on the property that would have a negative effect on the natural characteristics. A perpetual preservation easement is a. What Is A Conservation Easement In Nj.
From www.templateroller.com
New Jersey Grant of Conservation Restriction/Easement (Forest What Is A Conservation Easement In Nj Green acres has developed easement acquisition standards to establish consistent policies and maximize public benefit from, and protect. A conservation easement is the legal instrument by which a landowner (a) limits, without relinquishing ownership, the. It also restricts activities on the property that would have a negative effect on the natural characteristics. A conservation easement is a legal restriction that. What Is A Conservation Easement In Nj.
From www.templateroller.com
New Jersey Grant of Conservation Restriction/Easement (Forest What Is A Conservation Easement In Nj A conservation easement is a legal restriction that prohibits development of a property. Green acres has developed easement acquisition standards to establish consistent policies and maximize public benefit from, and protect. Throughout new jersey, for many decades, conservation restrictions and conservation easements have been used by the state, counties, municipalities, government. A perpetual preservation easement is a legal instrument that. What Is A Conservation Easement In Nj.
From www.templateroller.com
New Jersey Grant of Conservation Restriction/Easement (Stormwater What Is A Conservation Easement In Nj A perpetual preservation easement is a legal instrument that provides enduring protection for a historic property. A conservation easement is the legal instrument by which a landowner (a) limits, without relinquishing ownership, the. A conservation easement is a legal restriction that prohibits development of a property. Conservation easements •a conservation easement is a voluntary, legal agreement that permanently limits uses. What Is A Conservation Easement In Nj.
From www.templateroller.com
New Jersey Grant of Conservation Restriction/Easement (Stormwater What Is A Conservation Easement In Nj A conservation easement is a legal restriction that prohibits development of a property. Green acres has developed easement acquisition standards to establish consistent policies and maximize public benefit from, and protect. A “a conservation easement is an agreement to restrict development of property upon mutually agreeable terms,” writes ronald l. Throughout new jersey, for many decades, conservation restrictions and conservation. What Is A Conservation Easement In Nj.