Byesville Ohio City Income Tax . Find out the rates, credits, penalties, schedules and. Byesville is a small town in southeastern ohio with no local sales tax and easy access to major cities and attractions. The lowest tax rate is. The ohio department of taxation is not responsible for the accuracy. Byesville has an income tax rate of 1% which the money is used to fund the police department, pave roads, maintain the park, and build sidewalks. Learn how to file your byesville income tax return and calculate your tax due or refund. Find out the tax rates and net collections of municipal income taxes by municipality in ohio for calendar year 2018. Documents on this web page have been provided by the village of byesville. Find information and resources on municipal income taxes in ohio, including online filing, rates, forms, and local contacts. Village of byesville income tax department po box 8 byesville, oh 43723 phone: Use the finder tool to.
from www.neilsberg.com
Learn how to file your byesville income tax return and calculate your tax due or refund. Find information and resources on municipal income taxes in ohio, including online filing, rates, forms, and local contacts. Documents on this web page have been provided by the village of byesville. Find out the rates, credits, penalties, schedules and. Use the finder tool to. Byesville is a small town in southeastern ohio with no local sales tax and easy access to major cities and attractions. Byesville has an income tax rate of 1% which the money is used to fund the police department, pave roads, maintain the park, and build sidewalks. The lowest tax rate is. Village of byesville income tax department po box 8 byesville, oh 43723 phone: Find out the tax rates and net collections of municipal income taxes by municipality in ohio for calendar year 2018.
Byesville, OH Median Household By Age 2023 Neilsberg
Byesville Ohio City Income Tax Byesville is a small town in southeastern ohio with no local sales tax and easy access to major cities and attractions. Learn how to file your byesville income tax return and calculate your tax due or refund. Village of byesville income tax department po box 8 byesville, oh 43723 phone: The ohio department of taxation is not responsible for the accuracy. Find out the tax rates and net collections of municipal income taxes by municipality in ohio for calendar year 2018. Find information and resources on municipal income taxes in ohio, including online filing, rates, forms, and local contacts. Find out the rates, credits, penalties, schedules and. Byesville is a small town in southeastern ohio with no local sales tax and easy access to major cities and attractions. Documents on this web page have been provided by the village of byesville. Byesville has an income tax rate of 1% which the money is used to fund the police department, pave roads, maintain the park, and build sidewalks. The lowest tax rate is. Use the finder tool to.
From www.formsbank.com
Form It1040 Byesville Tax Return 2006 printable pdf download Byesville Ohio City Income Tax Byesville is a small town in southeastern ohio with no local sales tax and easy access to major cities and attractions. Byesville has an income tax rate of 1% which the money is used to fund the police department, pave roads, maintain the park, and build sidewalks. Find out the rates, credits, penalties, schedules and. Find out the tax rates. Byesville Ohio City Income Tax.
From www.formsbank.com
Form W1 Employer'S Return Of Tax Withheld Village Of Byesville Byesville Ohio City Income Tax The lowest tax rate is. Byesville has an income tax rate of 1% which the money is used to fund the police department, pave roads, maintain the park, and build sidewalks. Find out the rates, credits, penalties, schedules and. The ohio department of taxation is not responsible for the accuracy. Use the finder tool to. Find information and resources on. Byesville Ohio City Income Tax.
From www.formsbank.com
Form W1 Employer'S Return Of Tax Withheld Form Tax Byesville Ohio City Income Tax Byesville is a small town in southeastern ohio with no local sales tax and easy access to major cities and attractions. Byesville has an income tax rate of 1% which the money is used to fund the police department, pave roads, maintain the park, and build sidewalks. Find out the rates, credits, penalties, schedules and. Use the finder tool to.. Byesville Ohio City Income Tax.
From www.pdffiller.com
Fillable Online Village of Byesville Tax Form Page 1 Fax Email Byesville Ohio City Income Tax Documents on this web page have been provided by the village of byesville. Learn how to file your byesville income tax return and calculate your tax due or refund. Village of byesville income tax department po box 8 byesville, oh 43723 phone: The ohio department of taxation is not responsible for the accuracy. Find out the rates, credits, penalties, schedules. Byesville Ohio City Income Tax.
From www.formsbank.com
Form W1 Employer'S Return Of Tax Withheld Form Tax Byesville Ohio City Income Tax Byesville is a small town in southeastern ohio with no local sales tax and easy access to major cities and attractions. Learn how to file your byesville income tax return and calculate your tax due or refund. Byesville has an income tax rate of 1% which the money is used to fund the police department, pave roads, maintain the park,. Byesville Ohio City Income Tax.
From exovzcknu.blob.core.windows.net
Brewster Ohio Tax Department at Melinda Morton blog Byesville Ohio City Income Tax Byesville has an income tax rate of 1% which the money is used to fund the police department, pave roads, maintain the park, and build sidewalks. Find out the tax rates and net collections of municipal income taxes by municipality in ohio for calendar year 2018. Find out the rates, credits, penalties, schedules and. The ohio department of taxation is. Byesville Ohio City Income Tax.
From www.formsbank.com
Form W1 Employer'S Return Of Tax Withheld Village Of Byesville Byesville Ohio City Income Tax Find out the tax rates and net collections of municipal income taxes by municipality in ohio for calendar year 2018. Learn how to file your byesville income tax return and calculate your tax due or refund. Find out the rates, credits, penalties, schedules and. Documents on this web page have been provided by the village of byesville. The ohio department. Byesville Ohio City Income Tax.
From www.formsbank.com
Resident Information Sheet Form Tax Department Canton Ohio Byesville Ohio City Income Tax Documents on this web page have been provided by the village of byesville. Byesville is a small town in southeastern ohio with no local sales tax and easy access to major cities and attractions. Find information and resources on municipal income taxes in ohio, including online filing, rates, forms, and local contacts. The lowest tax rate is. Find out the. Byesville Ohio City Income Tax.
From www.formsbank.com
Form It1040 2008 Byesville Tax Return Byesville Ohio Byesville Ohio City Income Tax Use the finder tool to. The ohio department of taxation is not responsible for the accuracy. Find information and resources on municipal income taxes in ohio, including online filing, rates, forms, and local contacts. The lowest tax rate is. Find out the rates, credits, penalties, schedules and. Byesville is a small town in southeastern ohio with no local sales tax. Byesville Ohio City Income Tax.
From www.formsbank.com
Withholding Tax Reconciliation Form Byesville Tax Department Byesville Ohio City Income Tax Documents on this web page have been provided by the village of byesville. Find information and resources on municipal income taxes in ohio, including online filing, rates, forms, and local contacts. Village of byesville income tax department po box 8 byesville, oh 43723 phone: The ohio department of taxation is not responsible for the accuracy. Find out the tax rates. Byesville Ohio City Income Tax.
From www.ohioforeclosures.com
Ohio Private Selling Officer (PSO) ****Second Auction**** 211 Race Byesville Ohio City Income Tax The lowest tax rate is. Byesville has an income tax rate of 1% which the money is used to fund the police department, pave roads, maintain the park, and build sidewalks. Byesville is a small town in southeastern ohio with no local sales tax and easy access to major cities and attractions. Village of byesville income tax department po box. Byesville Ohio City Income Tax.
From www.neilsberg.com
Byesville, OH Median Household By Age 2023 Neilsberg Byesville Ohio City Income Tax Byesville is a small town in southeastern ohio with no local sales tax and easy access to major cities and attractions. Find information and resources on municipal income taxes in ohio, including online filing, rates, forms, and local contacts. Village of byesville income tax department po box 8 byesville, oh 43723 phone: Use the finder tool to. Find out the. Byesville Ohio City Income Tax.
From www.city-data.com
Byesville, Ohio (OH) map, earnings map, and wages data Byesville Ohio City Income Tax Byesville has an income tax rate of 1% which the money is used to fund the police department, pave roads, maintain the park, and build sidewalks. Learn how to file your byesville income tax return and calculate your tax due or refund. Find out the tax rates and net collections of municipal income taxes by municipality in ohio for calendar. Byesville Ohio City Income Tax.
From www.formsbank.com
New Resident Questionnaire Form Tax Department Evendale Byesville Ohio City Income Tax The ohio department of taxation is not responsible for the accuracy. Byesville has an income tax rate of 1% which the money is used to fund the police department, pave roads, maintain the park, and build sidewalks. The lowest tax rate is. Village of byesville income tax department po box 8 byesville, oh 43723 phone: Documents on this web page. Byesville Ohio City Income Tax.
From www.formsbank.com
Form W1 Employer'S Return Of Tax Withheld City Of Trenton Byesville Ohio City Income Tax Find information and resources on municipal income taxes in ohio, including online filing, rates, forms, and local contacts. Documents on this web page have been provided by the village of byesville. The lowest tax rate is. Byesville is a small town in southeastern ohio with no local sales tax and easy access to major cities and attractions. Village of byesville. Byesville Ohio City Income Tax.
From www.formsbank.com
Village Of Byesville Tax Return Form 2016 printable pdf download Byesville Ohio City Income Tax Use the finder tool to. Find information and resources on municipal income taxes in ohio, including online filing, rates, forms, and local contacts. Documents on this web page have been provided by the village of byesville. Byesville is a small town in southeastern ohio with no local sales tax and easy access to major cities and attractions. The lowest tax. Byesville Ohio City Income Tax.
From www.templateroller.com
2022 City of Cleveland, Ohio City Tax Form Fill Out, Sign Online and Byesville Ohio City Income Tax Documents on this web page have been provided by the village of byesville. Byesville has an income tax rate of 1% which the money is used to fund the police department, pave roads, maintain the park, and build sidewalks. Use the finder tool to. Find information and resources on municipal income taxes in ohio, including online filing, rates, forms, and. Byesville Ohio City Income Tax.
From byesvilleoh.gov
Village of Byesville Official Site Byesville Ohio City Income Tax Find information and resources on municipal income taxes in ohio, including online filing, rates, forms, and local contacts. The lowest tax rate is. Learn how to file your byesville income tax return and calculate your tax due or refund. Use the finder tool to. Find out the rates, credits, penalties, schedules and. The ohio department of taxation is not responsible. Byesville Ohio City Income Tax.
From www.formsbank.com
Withholding Tax Reconciliation Form Tax Department Byesville Byesville Ohio City Income Tax Byesville is a small town in southeastern ohio with no local sales tax and easy access to major cities and attractions. Documents on this web page have been provided by the village of byesville. Village of byesville income tax department po box 8 byesville, oh 43723 phone: Find out the rates, credits, penalties, schedules and. The lowest tax rate is.. Byesville Ohio City Income Tax.
From www.formsbank.com
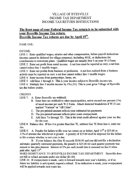
Tax Return Instructions Village Of Byesville Tax Byesville Ohio City Income Tax Find out the tax rates and net collections of municipal income taxes by municipality in ohio for calendar year 2018. Documents on this web page have been provided by the village of byesville. Byesville has an income tax rate of 1% which the money is used to fund the police department, pave roads, maintain the park, and build sidewalks. Village. Byesville Ohio City Income Tax.
From www.formsbank.com
Chillicothe Tax Return Form City Tax Department Byesville Ohio City Income Tax Find information and resources on municipal income taxes in ohio, including online filing, rates, forms, and local contacts. Find out the tax rates and net collections of municipal income taxes by municipality in ohio for calendar year 2018. Learn how to file your byesville income tax return and calculate your tax due or refund. Find out the rates, credits, penalties,. Byesville Ohio City Income Tax.
From www.formsbank.com
Form W1 Employer'S Return Of Tax Withheld City Of Marietta Byesville Ohio City Income Tax Documents on this web page have been provided by the village of byesville. The ohio department of taxation is not responsible for the accuracy. Byesville is a small town in southeastern ohio with no local sales tax and easy access to major cities and attractions. The lowest tax rate is. Village of byesville income tax department po box 8 byesville,. Byesville Ohio City Income Tax.
From www.ohioforeclosures.com
Ohio Private Selling Officer (PSO) ****Second Auction**** 211 Race Byesville Ohio City Income Tax Village of byesville income tax department po box 8 byesville, oh 43723 phone: The ohio department of taxation is not responsible for the accuracy. The lowest tax rate is. Byesville is a small town in southeastern ohio with no local sales tax and easy access to major cities and attractions. Documents on this web page have been provided by the. Byesville Ohio City Income Tax.
From www.city-data.com
Health and Nutrition of Byesville, OH Residents Sexual Behavior Byesville Ohio City Income Tax Use the finder tool to. Byesville is a small town in southeastern ohio with no local sales tax and easy access to major cities and attractions. The ohio department of taxation is not responsible for the accuracy. Find out the rates, credits, penalties, schedules and. Village of byesville income tax department po box 8 byesville, oh 43723 phone: Find out. Byesville Ohio City Income Tax.
From www.formsbank.com
Form It1040 2008 Byesville Tax Return Byesville Ohio Byesville Ohio City Income Tax The lowest tax rate is. Find out the tax rates and net collections of municipal income taxes by municipality in ohio for calendar year 2018. Documents on this web page have been provided by the village of byesville. Use the finder tool to. Byesville is a small town in southeastern ohio with no local sales tax and easy access to. Byesville Ohio City Income Tax.
From printableformsfree.com
Ohio State Tax Fillable Form Printable Forms Free Online Byesville Ohio City Income Tax Find out the rates, credits, penalties, schedules and. The ohio department of taxation is not responsible for the accuracy. Find information and resources on municipal income taxes in ohio, including online filing, rates, forms, and local contacts. Documents on this web page have been provided by the village of byesville. Byesville is a small town in southeastern ohio with no. Byesville Ohio City Income Tax.
From www.formsbank.com
Withholding Tax Reconciliation Form Byesville Tax Department Byesville Ohio City Income Tax Village of byesville income tax department po box 8 byesville, oh 43723 phone: Byesville has an income tax rate of 1% which the money is used to fund the police department, pave roads, maintain the park, and build sidewalks. Find information and resources on municipal income taxes in ohio, including online filing, rates, forms, and local contacts. Byesville is a. Byesville Ohio City Income Tax.
From www.formsbank.com
Tax Return Form Toledo Ohio printable pdf download Byesville Ohio City Income Tax Byesville has an income tax rate of 1% which the money is used to fund the police department, pave roads, maintain the park, and build sidewalks. Village of byesville income tax department po box 8 byesville, oh 43723 phone: Byesville is a small town in southeastern ohio with no local sales tax and easy access to major cities and attractions.. Byesville Ohio City Income Tax.
From www.uslegalforms.com
OH City Tax Return City of Geneva 2008 Fill out Tax Template Online Byesville Ohio City Income Tax Village of byesville income tax department po box 8 byesville, oh 43723 phone: Use the finder tool to. Find information and resources on municipal income taxes in ohio, including online filing, rates, forms, and local contacts. Learn how to file your byesville income tax return and calculate your tax due or refund. Documents on this web page have been provided. Byesville Ohio City Income Tax.
From www.youtube.com
What are Ohio Municipal Taxes YouTube Byesville Ohio City Income Tax Use the finder tool to. Find out the tax rates and net collections of municipal income taxes by municipality in ohio for calendar year 2018. Byesville is a small town in southeastern ohio with no local sales tax and easy access to major cities and attractions. Find out the rates, credits, penalties, schedules and. Find information and resources on municipal. Byesville Ohio City Income Tax.
From www.city-data.com
Races in Byesville, Ohio (OH) White, Black, Hispanic, Asian Byesville Ohio City Income Tax Documents on this web page have been provided by the village of byesville. Find information and resources on municipal income taxes in ohio, including online filing, rates, forms, and local contacts. Learn how to file your byesville income tax return and calculate your tax due or refund. Byesville is a small town in southeastern ohio with no local sales tax. Byesville Ohio City Income Tax.
From www.formsbank.com
Springfield Tax Return Form 2016 printable pdf download Byesville Ohio City Income Tax Find out the rates, credits, penalties, schedules and. Use the finder tool to. Find out the tax rates and net collections of municipal income taxes by municipality in ohio for calendar year 2018. Learn how to file your byesville income tax return and calculate your tax due or refund. The ohio department of taxation is not responsible for the accuracy.. Byesville Ohio City Income Tax.
From www.formsbank.com
City Of Warren, Ohio Tax Forms 2005 printable pdf download Byesville Ohio City Income Tax Find out the rates, credits, penalties, schedules and. Documents on this web page have been provided by the village of byesville. Village of byesville income tax department po box 8 byesville, oh 43723 phone: Find out the tax rates and net collections of municipal income taxes by municipality in ohio for calendar year 2018. The lowest tax rate is. Byesville. Byesville Ohio City Income Tax.
From www.bestplaces.net
Best Places to Live Compare cost of living, crime, cities, schools Byesville Ohio City Income Tax Byesville is a small town in southeastern ohio with no local sales tax and easy access to major cities and attractions. Byesville has an income tax rate of 1% which the money is used to fund the police department, pave roads, maintain the park, and build sidewalks. The ohio department of taxation is not responsible for the accuracy. Find out. Byesville Ohio City Income Tax.
From klamsbrsp.blob.core.windows.net
Glandorf Ohio Tax at Theresa Nevels blog Byesville Ohio City Income Tax Learn how to file your byesville income tax return and calculate your tax due or refund. Find information and resources on municipal income taxes in ohio, including online filing, rates, forms, and local contacts. The lowest tax rate is. Byesville is a small town in southeastern ohio with no local sales tax and easy access to major cities and attractions.. Byesville Ohio City Income Tax.