Gauge Size Reference . See a chart with wire properties, ampacity, resistance and insulation types. Enter a known value and get. Convert american wire gauge (awg) to diameter and area values in inches, millimeters or circular mil area using this tool. Metric and inch wire sizes:. Awg, aught (# / 0), mcm / kcmil: Learn how to measure and convert awg wire sizes, and find the right gauge for different electrical projects. 45 rows american wire gauge size calculator and chart. Compare awg with other wire gauges, such as circular mils, and download or print the chart. Find the diameter, cross sectional area and current rating of awg wire sizes. 35 rows find the weight and thickness of sheet metal and wire for different gauge numbers, including 14 gauge. 62 rows awg cross reference wire sizing chart : Find the diameter or thickness of wires in inches or millimeters using wire gauge charts for awg, swg, and iec standards.
from blog.ashcroft.com
45 rows american wire gauge size calculator and chart. 62 rows awg cross reference wire sizing chart : 35 rows find the weight and thickness of sheet metal and wire for different gauge numbers, including 14 gauge. Enter a known value and get. Find the diameter or thickness of wires in inches or millimeters using wire gauge charts for awg, swg, and iec standards. See a chart with wire properties, ampacity, resistance and insulation types. Awg, aught (# / 0), mcm / kcmil: Find the diameter, cross sectional area and current rating of awg wire sizes. Convert american wire gauge (awg) to diameter and area values in inches, millimeters or circular mil area using this tool. Metric and inch wire sizes:.
Choosing the Right Pressure Gauge Dial Size
Gauge Size Reference Compare awg with other wire gauges, such as circular mils, and download or print the chart. Find the diameter, cross sectional area and current rating of awg wire sizes. Awg, aught (# / 0), mcm / kcmil: 35 rows find the weight and thickness of sheet metal and wire for different gauge numbers, including 14 gauge. Compare awg with other wire gauges, such as circular mils, and download or print the chart. Find the diameter or thickness of wires in inches or millimeters using wire gauge charts for awg, swg, and iec standards. Metric and inch wire sizes:. Learn how to measure and convert awg wire sizes, and find the right gauge for different electrical projects. Convert american wire gauge (awg) to diameter and area values in inches, millimeters or circular mil area using this tool. Enter a known value and get. 62 rows awg cross reference wire sizing chart : See a chart with wire properties, ampacity, resistance and insulation types. 45 rows american wire gauge size calculator and chart.
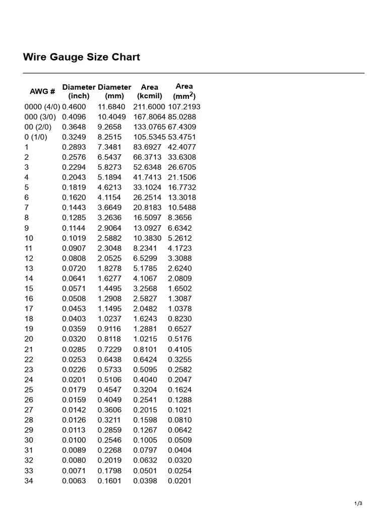
From jewelclark.com
Gauge conversion chart Jewel Clark Gauge Size Reference Find the diameter, cross sectional area and current rating of awg wire sizes. Compare awg with other wire gauges, such as circular mils, and download or print the chart. Metric and inch wire sizes:. Enter a known value and get. 45 rows american wire gauge size calculator and chart. See a chart with wire properties, ampacity, resistance and insulation types.. Gauge Size Reference.
From technologyandsoftware3d.blogspot.com
Sheet Metal Gauge Sizes In Mm Iweky Gauge Size Reference Find the diameter, cross sectional area and current rating of awg wire sizes. Find the diameter or thickness of wires in inches or millimeters using wire gauge charts for awg, swg, and iec standards. Awg, aught (# / 0), mcm / kcmil: Learn how to measure and convert awg wire sizes, and find the right gauge for different electrical projects.. Gauge Size Reference.
From mungfali.com
Metric Wire Gauge Conversion Chart Gauge Size Reference 45 rows american wire gauge size calculator and chart. 62 rows awg cross reference wire sizing chart : See a chart with wire properties, ampacity, resistance and insulation types. Enter a known value and get. Convert american wire gauge (awg) to diameter and area values in inches, millimeters or circular mil area using this tool. Find the diameter or thickness. Gauge Size Reference.
From www.3jindustry.com
American Wire Gauge (AWG) Sizes and Properties Chart 3JIndustry Gauge Size Reference Convert american wire gauge (awg) to diameter and area values in inches, millimeters or circular mil area using this tool. 35 rows find the weight and thickness of sheet metal and wire for different gauge numbers, including 14 gauge. Metric and inch wire sizes:. Learn how to measure and convert awg wire sizes, and find the right gauge for different. Gauge Size Reference.
From ar.inspiredpencil.com
Steel Gauge Size Chart Gauge Size Reference Convert american wire gauge (awg) to diameter and area values in inches, millimeters or circular mil area using this tool. 35 rows find the weight and thickness of sheet metal and wire for different gauge numbers, including 14 gauge. 62 rows awg cross reference wire sizing chart : See a chart with wire properties, ampacity, resistance and insulation types. Compare. Gauge Size Reference.
From guidetransbordoy.z13.web.core.windows.net
Metal Gauge Thickness Chart Inches Gauge Size Reference Compare awg with other wire gauges, such as circular mils, and download or print the chart. 35 rows find the weight and thickness of sheet metal and wire for different gauge numbers, including 14 gauge. Find the diameter or thickness of wires in inches or millimeters using wire gauge charts for awg, swg, and iec standards. 62 rows awg cross. Gauge Size Reference.
From handypdf.com
2024 Wire Gauge Chart Fillable, Printable PDF & Forms Handypdf Gauge Size Reference Enter a known value and get. Metric and inch wire sizes:. Awg, aught (# / 0), mcm / kcmil: 35 rows find the weight and thickness of sheet metal and wire for different gauge numbers, including 14 gauge. Find the diameter, cross sectional area and current rating of awg wire sizes. 45 rows american wire gauge size calculator and chart.. Gauge Size Reference.
From circuitfixhueber.z19.web.core.windows.net
Wiring Gauge Chart Amps Gauge Size Reference Awg, aught (# / 0), mcm / kcmil: 45 rows american wire gauge size calculator and chart. Find the diameter or thickness of wires in inches or millimeters using wire gauge charts for awg, swg, and iec standards. Find the diameter, cross sectional area and current rating of awg wire sizes. Metric and inch wire sizes:. Convert american wire gauge. Gauge Size Reference.
From chartwalls.blogspot.com
Conversion Chart For American Wire Gauge To Metric System Chart Walls Gauge Size Reference Enter a known value and get. 35 rows find the weight and thickness of sheet metal and wire for different gauge numbers, including 14 gauge. Convert american wire gauge (awg) to diameter and area values in inches, millimeters or circular mil area using this tool. Metric and inch wire sizes:. Find the diameter, cross sectional area and current rating of. Gauge Size Reference.
From electronics360.globalspec.com
Understanding wire gauge sizes Electronics360 Gauge Size Reference Learn how to measure and convert awg wire sizes, and find the right gauge for different electrical projects. 45 rows american wire gauge size calculator and chart. 62 rows awg cross reference wire sizing chart : Find the diameter, cross sectional area and current rating of awg wire sizes. Metric and inch wire sizes:. Find the diameter or thickness of. Gauge Size Reference.
From klaolqrnv.blob.core.windows.net
Gauges Up A Size at Dennis Orlandi blog Gauge Size Reference Enter a known value and get. 62 rows awg cross reference wire sizing chart : Awg, aught (# / 0), mcm / kcmil: Convert american wire gauge (awg) to diameter and area values in inches, millimeters or circular mil area using this tool. 35 rows find the weight and thickness of sheet metal and wire for different gauge numbers, including. Gauge Size Reference.
From www.electricaltechnology.org
Standard Wire Gauge “SWG” Calculator SWG Size Chart & Table Gauge Size Reference Learn how to measure and convert awg wire sizes, and find the right gauge for different electrical projects. 45 rows american wire gauge size calculator and chart. Metric and inch wire sizes:. See a chart with wire properties, ampacity, resistance and insulation types. Convert american wire gauge (awg) to diameter and area values in inches, millimeters or circular mil area. Gauge Size Reference.
From www.pipingmaterial.ae
Stainless steel gauge chart ASTM A480 gauge in mm Gauge Size Reference Find the diameter, cross sectional area and current rating of awg wire sizes. 35 rows find the weight and thickness of sheet metal and wire for different gauge numbers, including 14 gauge. Find the diameter or thickness of wires in inches or millimeters using wire gauge charts for awg, swg, and iec standards. Enter a known value and get. Awg,. Gauge Size Reference.
From lasercuttingpros.net
Sheet Metal Gauge Chart Laser Cutting Pros Gauge Size Reference Enter a known value and get. Metric and inch wire sizes:. Convert american wire gauge (awg) to diameter and area values in inches, millimeters or circular mil area using this tool. 35 rows find the weight and thickness of sheet metal and wire for different gauge numbers, including 14 gauge. 62 rows awg cross reference wire sizing chart : Learn. Gauge Size Reference.
From www.scribd.com
Wire Gauge Size Chart PDF Gauge Size Reference 62 rows awg cross reference wire sizing chart : Metric and inch wire sizes:. 35 rows find the weight and thickness of sheet metal and wire for different gauge numbers, including 14 gauge. Compare awg with other wire gauges, such as circular mils, and download or print the chart. Enter a known value and get. Find the diameter or thickness. Gauge Size Reference.
From louisrichardson.z13.web.core.windows.net
Auto Wire Gauge Chart Gauge Size Reference See a chart with wire properties, ampacity, resistance and insulation types. Compare awg with other wire gauges, such as circular mils, and download or print the chart. 45 rows american wire gauge size calculator and chart. Convert american wire gauge (awg) to diameter and area values in inches, millimeters or circular mil area using this tool. Metric and inch wire. Gauge Size Reference.
From cookinglove.com
Gauge chart Gauge Size Reference 35 rows find the weight and thickness of sheet metal and wire for different gauge numbers, including 14 gauge. Convert american wire gauge (awg) to diameter and area values in inches, millimeters or circular mil area using this tool. Compare awg with other wire gauges, such as circular mils, and download or print the chart. Enter a known value and. Gauge Size Reference.
From be-cu.com
Gauge Size Chart for Steel, Stainless, Aluminum, Brass and More What Gauge Size Reference Metric and inch wire sizes:. See a chart with wire properties, ampacity, resistance and insulation types. Find the diameter or thickness of wires in inches or millimeters using wire gauge charts for awg, swg, and iec standards. Learn how to measure and convert awg wire sizes, and find the right gauge for different electrical projects. 35 rows find the weight. Gauge Size Reference.
From www.engraveithouston.com
Engrave It Houston — Stainless Steel Gauge Chart Gauge Size Reference Find the diameter or thickness of wires in inches or millimeters using wire gauge charts for awg, swg, and iec standards. Convert american wire gauge (awg) to diameter and area values in inches, millimeters or circular mil area using this tool. Enter a known value and get. Find the diameter, cross sectional area and current rating of awg wire sizes.. Gauge Size Reference.
From blog.ashcroft.com
Choosing the Right Pressure Gauge Dial Size Gauge Size Reference Compare awg with other wire gauges, such as circular mils, and download or print the chart. See a chart with wire properties, ampacity, resistance and insulation types. Metric and inch wire sizes:. Find the diameter, cross sectional area and current rating of awg wire sizes. 35 rows find the weight and thickness of sheet metal and wire for different gauge. Gauge Size Reference.
From dokumen.tips
(PDF) data you can use, a wire and sheet metal gauge size chart in Gauge Size Reference Compare awg with other wire gauges, such as circular mils, and download or print the chart. 35 rows find the weight and thickness of sheet metal and wire for different gauge numbers, including 14 gauge. Enter a known value and get. Awg, aught (# / 0), mcm / kcmil: See a chart with wire properties, ampacity, resistance and insulation types.. Gauge Size Reference.
From learnmech.com
Sheet metal gauge to mm Gauge to Thickness Chart Download Gauge Size Reference Find the diameter or thickness of wires in inches or millimeters using wire gauge charts for awg, swg, and iec standards. Compare awg with other wire gauges, such as circular mils, and download or print the chart. Awg, aught (# / 0), mcm / kcmil: 62 rows awg cross reference wire sizing chart : Convert american wire gauge (awg) to. Gauge Size Reference.
From cookinglove.com
Gauge chart Gauge Size Reference Find the diameter or thickness of wires in inches or millimeters using wire gauge charts for awg, swg, and iec standards. Enter a known value and get. 35 rows find the weight and thickness of sheet metal and wire for different gauge numbers, including 14 gauge. Convert american wire gauge (awg) to diameter and area values in inches, millimeters or. Gauge Size Reference.
From www.angi.com
Wire Gauge Chart Gauge Size Reference 45 rows american wire gauge size calculator and chart. Metric and inch wire sizes:. See a chart with wire properties, ampacity, resistance and insulation types. Find the diameter or thickness of wires in inches or millimeters using wire gauge charts for awg, swg, and iec standards. 62 rows awg cross reference wire sizing chart : Enter a known value and. Gauge Size Reference.
From mavink.com
Steel Wire Gauge Chart Gauge Size Reference Convert american wire gauge (awg) to diameter and area values in inches, millimeters or circular mil area using this tool. Learn how to measure and convert awg wire sizes, and find the right gauge for different electrical projects. Find the diameter, cross sectional area and current rating of awg wire sizes. Enter a known value and get. Metric and inch. Gauge Size Reference.
From allpointsfasteners.com
Sheet Metal Gauge Thickness Chart All Points Fasteners Gauge Size Reference See a chart with wire properties, ampacity, resistance and insulation types. Find the diameter, cross sectional area and current rating of awg wire sizes. Enter a known value and get. 35 rows find the weight and thickness of sheet metal and wire for different gauge numbers, including 14 gauge. Find the diameter or thickness of wires in inches or millimeters. Gauge Size Reference.
From glass-bent.blogspot.com
Stainless Steel Sheet Gauge Thickness Chart Pin On Welding And Gauge Size Reference See a chart with wire properties, ampacity, resistance and insulation types. Awg, aught (# / 0), mcm / kcmil: 35 rows find the weight and thickness of sheet metal and wire for different gauge numbers, including 14 gauge. Learn how to measure and convert awg wire sizes, and find the right gauge for different electrical projects. Compare awg with other. Gauge Size Reference.
From www.gtsparkplugs.com
Sheet Metal Gauge Chart GTSparkplugs Gauge Size Reference See a chart with wire properties, ampacity, resistance and insulation types. 45 rows american wire gauge size calculator and chart. Learn how to measure and convert awg wire sizes, and find the right gauge for different electrical projects. 35 rows find the weight and thickness of sheet metal and wire for different gauge numbers, including 14 gauge. Enter a known. Gauge Size Reference.
From www.homedepot.com
How to Read a Wire Gauge Chart The Home Depot Gauge Size Reference Metric and inch wire sizes:. Convert american wire gauge (awg) to diameter and area values in inches, millimeters or circular mil area using this tool. Find the diameter or thickness of wires in inches or millimeters using wire gauge charts for awg, swg, and iec standards. 35 rows find the weight and thickness of sheet metal and wire for different. Gauge Size Reference.
From vycodeshita.blogspot.com
Gauge Mm Conversion Chart Gauge Size Reference Convert american wire gauge (awg) to diameter and area values in inches, millimeters or circular mil area using this tool. See a chart with wire properties, ampacity, resistance and insulation types. Compare awg with other wire gauges, such as circular mils, and download or print the chart. Find the diameter or thickness of wires in inches or millimeters using wire. Gauge Size Reference.
From precmfgco.com
A Guide to Wire Gauge Sizes Precision Manufacturing Company Inc. Gauge Size Reference See a chart with wire properties, ampacity, resistance and insulation types. 35 rows find the weight and thickness of sheet metal and wire for different gauge numbers, including 14 gauge. Find the diameter or thickness of wires in inches or millimeters using wire gauge charts for awg, swg, and iec standards. Metric and inch wire sizes:. 62 rows awg cross. Gauge Size Reference.
From orientacionfamiliar.grupobolivar.com
Printable Gauge Size Chart Printable Word Searches Gauge Size Reference See a chart with wire properties, ampacity, resistance and insulation types. Awg, aught (# / 0), mcm / kcmil: 62 rows awg cross reference wire sizing chart : Find the diameter, cross sectional area and current rating of awg wire sizes. Learn how to measure and convert awg wire sizes, and find the right gauge for different electrical projects. 35. Gauge Size Reference.
From www.3jindustry.com
American Wire Gauge (AWG) Sizes and Properties Chart 3JIndustry Gauge Size Reference Enter a known value and get. 45 rows american wire gauge size calculator and chart. 35 rows find the weight and thickness of sheet metal and wire for different gauge numbers, including 14 gauge. Compare awg with other wire gauges, such as circular mils, and download or print the chart. 62 rows awg cross reference wire sizing chart : Convert. Gauge Size Reference.
From learningscrammingv9.z21.web.core.windows.net
Wire Gauge Thickness Chart Gauge Size Reference See a chart with wire properties, ampacity, resistance and insulation types. Convert american wire gauge (awg) to diameter and area values in inches, millimeters or circular mil area using this tool. Find the diameter or thickness of wires in inches or millimeters using wire gauge charts for awg, swg, and iec standards. Metric and inch wire sizes:. 62 rows awg. Gauge Size Reference.
From tillyclark.z13.web.core.windows.net
Sheet Metal Gauge Chart Printable Gauge Size Reference Find the diameter, cross sectional area and current rating of awg wire sizes. Awg, aught (# / 0), mcm / kcmil: 62 rows awg cross reference wire sizing chart : Enter a known value and get. Metric and inch wire sizes:. See a chart with wire properties, ampacity, resistance and insulation types. 35 rows find the weight and thickness of. Gauge Size Reference.