Microwave Oven Wavelength Frequency . Although microwaves were first produced and studied in 1886 by hertz, their practical application had to await the invention of suitable generators, such as the klystron and magnetron. the radiation used in microwave ovens is not resonant for water molecules and industrial microwave ovens use 915 mhz (probably, because. The microwave region extends from 1,000 to 300,000 mhz (or 30 cm to 1 mm wavelength). microwave ovens cook unevenly because a pattern of standing waves forms inside the oven chamber, and the pattern creates an. By federal regulation, microwave ovens are limited to 5. modern microwave ovens operate at the frequency 2,450 mhz. microwave oven wavelengths, specifically, fall within the range of 12.24 to 12.28 centimeters, corresponding to. Using the formula, velocity = frequency ×. i found that in a typical microwave oven, the frequency is about 2450 mhz.
from byjus.com
Although microwaves were first produced and studied in 1886 by hertz, their practical application had to await the invention of suitable generators, such as the klystron and magnetron. microwave oven wavelengths, specifically, fall within the range of 12.24 to 12.28 centimeters, corresponding to. By federal regulation, microwave ovens are limited to 5. modern microwave ovens operate at the frequency 2,450 mhz. Using the formula, velocity = frequency ×. The microwave region extends from 1,000 to 300,000 mhz (or 30 cm to 1 mm wavelength). the radiation used in microwave ovens is not resonant for water molecules and industrial microwave ovens use 915 mhz (probably, because. microwave ovens cook unevenly because a pattern of standing waves forms inside the oven chamber, and the pattern creates an. i found that in a typical microwave oven, the frequency is about 2450 mhz.
Microwave Spectrum What is Spectrum?
Microwave Oven Wavelength Frequency i found that in a typical microwave oven, the frequency is about 2450 mhz. the radiation used in microwave ovens is not resonant for water molecules and industrial microwave ovens use 915 mhz (probably, because. microwave oven wavelengths, specifically, fall within the range of 12.24 to 12.28 centimeters, corresponding to. microwave ovens cook unevenly because a pattern of standing waves forms inside the oven chamber, and the pattern creates an. The microwave region extends from 1,000 to 300,000 mhz (or 30 cm to 1 mm wavelength). Using the formula, velocity = frequency ×. i found that in a typical microwave oven, the frequency is about 2450 mhz. By federal regulation, microwave ovens are limited to 5. modern microwave ovens operate at the frequency 2,450 mhz. Although microwaves were first produced and studied in 1886 by hertz, their practical application had to await the invention of suitable generators, such as the klystron and magnetron.
From quizspringless.z21.web.core.windows.net
What Is Wavelength Of Microwave Microwave Oven Wavelength Frequency the radiation used in microwave ovens is not resonant for water molecules and industrial microwave ovens use 915 mhz (probably, because. modern microwave ovens operate at the frequency 2,450 mhz. i found that in a typical microwave oven, the frequency is about 2450 mhz. The microwave region extends from 1,000 to 300,000 mhz (or 30 cm to. Microwave Oven Wavelength Frequency.
From science.nasa.gov
Introduction to the Spectrum Science Mission Directorate Microwave Oven Wavelength Frequency modern microwave ovens operate at the frequency 2,450 mhz. Although microwaves were first produced and studied in 1886 by hertz, their practical application had to await the invention of suitable generators, such as the klystron and magnetron. i found that in a typical microwave oven, the frequency is about 2450 mhz. The microwave region extends from 1,000 to. Microwave Oven Wavelength Frequency.
From slideplayer.com
Light and the Spectrum ppt download Microwave Oven Wavelength Frequency The microwave region extends from 1,000 to 300,000 mhz (or 30 cm to 1 mm wavelength). the radiation used in microwave ovens is not resonant for water molecules and industrial microwave ovens use 915 mhz (probably, because. Although microwaves were first produced and studied in 1886 by hertz, their practical application had to await the invention of suitable generators,. Microwave Oven Wavelength Frequency.
From www.numerade.com
SOLVED A microwave oven is designed to operate at a frequency of 2.2 Microwave Oven Wavelength Frequency Using the formula, velocity = frequency ×. the radiation used in microwave ovens is not resonant for water molecules and industrial microwave ovens use 915 mhz (probably, because. Although microwaves were first produced and studied in 1886 by hertz, their practical application had to await the invention of suitable generators, such as the klystron and magnetron. microwave oven. Microwave Oven Wavelength Frequency.
From www.youtube.com
Microwave Frequencies Introduction to Microwaves Microwave Microwave Oven Wavelength Frequency The microwave region extends from 1,000 to 300,000 mhz (or 30 cm to 1 mm wavelength). By federal regulation, microwave ovens are limited to 5. the radiation used in microwave ovens is not resonant for water molecules and industrial microwave ovens use 915 mhz (probably, because. Although microwaves were first produced and studied in 1886 by hertz, their practical. Microwave Oven Wavelength Frequency.
From dxoxtcpnv.blob.core.windows.net
Wavelength Of Microwaves Frequency at Connie blog Microwave Oven Wavelength Frequency i found that in a typical microwave oven, the frequency is about 2450 mhz. By federal regulation, microwave ovens are limited to 5. Using the formula, velocity = frequency ×. the radiation used in microwave ovens is not resonant for water molecules and industrial microwave ovens use 915 mhz (probably, because. microwave oven wavelengths, specifically, fall within. Microwave Oven Wavelength Frequency.
From www.numerade.com
SOLVED microwave oven emits radiation at a frequency of 6.00x10^10 Hz Microwave Oven Wavelength Frequency modern microwave ovens operate at the frequency 2,450 mhz. By federal regulation, microwave ovens are limited to 5. The microwave region extends from 1,000 to 300,000 mhz (or 30 cm to 1 mm wavelength). i found that in a typical microwave oven, the frequency is about 2450 mhz. Although microwaves were first produced and studied in 1886 by. Microwave Oven Wavelength Frequency.
From www.pastimebarandgrill.com
What is the cooking frequency of a microwave oven if its wavelength is Microwave Oven Wavelength Frequency the radiation used in microwave ovens is not resonant for water molecules and industrial microwave ovens use 915 mhz (probably, because. i found that in a typical microwave oven, the frequency is about 2450 mhz. By federal regulation, microwave ovens are limited to 5. microwave oven wavelengths, specifically, fall within the range of 12.24 to 12.28 centimeters,. Microwave Oven Wavelength Frequency.
From exozzjwxk.blob.core.windows.net
What Is The Average Wavelength Of A Microwave at Refugio Stroud blog Microwave Oven Wavelength Frequency i found that in a typical microwave oven, the frequency is about 2450 mhz. modern microwave ovens operate at the frequency 2,450 mhz. The microwave region extends from 1,000 to 300,000 mhz (or 30 cm to 1 mm wavelength). the radiation used in microwave ovens is not resonant for water molecules and industrial microwave ovens use 915. Microwave Oven Wavelength Frequency.
From www.numerade.com
SOLVED 'Part A microwave oven produces waves with Microwave Oven Wavelength Frequency Although microwaves were first produced and studied in 1886 by hertz, their practical application had to await the invention of suitable generators, such as the klystron and magnetron. modern microwave ovens operate at the frequency 2,450 mhz. microwave ovens cook unevenly because a pattern of standing waves forms inside the oven chamber, and the pattern creates an. . Microwave Oven Wavelength Frequency.
From www.numerade.com
SOLVED A typical microwave oven produces radiation at a frequency of 2 Microwave Oven Wavelength Frequency the radiation used in microwave ovens is not resonant for water molecules and industrial microwave ovens use 915 mhz (probably, because. i found that in a typical microwave oven, the frequency is about 2450 mhz. microwave ovens cook unevenly because a pattern of standing waves forms inside the oven chamber, and the pattern creates an. The microwave. Microwave Oven Wavelength Frequency.
From www.slideserve.com
PPT MICROWAVE HEATING PowerPoint Presentation, free download ID6021084 Microwave Oven Wavelength Frequency microwave ovens cook unevenly because a pattern of standing waves forms inside the oven chamber, and the pattern creates an. Using the formula, velocity = frequency ×. The microwave region extends from 1,000 to 300,000 mhz (or 30 cm to 1 mm wavelength). By federal regulation, microwave ovens are limited to 5. the radiation used in microwave ovens. Microwave Oven Wavelength Frequency.
From studylibuncoping.z4.web.core.windows.net
What Is Wavelength Of Microwave Microwave Oven Wavelength Frequency Although microwaves were first produced and studied in 1886 by hertz, their practical application had to await the invention of suitable generators, such as the klystron and magnetron. microwave oven wavelengths, specifically, fall within the range of 12.24 to 12.28 centimeters, corresponding to. the radiation used in microwave ovens is not resonant for water molecules and industrial microwave. Microwave Oven Wavelength Frequency.
From www.numerade.com
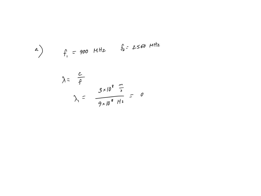
SOLVED Two microwave frequencies are authorized for use in microwave Microwave Oven Wavelength Frequency microwave ovens cook unevenly because a pattern of standing waves forms inside the oven chamber, and the pattern creates an. Although microwaves were first produced and studied in 1886 by hertz, their practical application had to await the invention of suitable generators, such as the klystron and magnetron. modern microwave ovens operate at the frequency 2,450 mhz. . Microwave Oven Wavelength Frequency.
From exouvidyk.blob.core.windows.net
Microwave Diagram Science at Essie Reyes blog Microwave Oven Wavelength Frequency By federal regulation, microwave ovens are limited to 5. The microwave region extends from 1,000 to 300,000 mhz (or 30 cm to 1 mm wavelength). Although microwaves were first produced and studied in 1886 by hertz, their practical application had to await the invention of suitable generators, such as the klystron and magnetron. microwave ovens cook unevenly because a. Microwave Oven Wavelength Frequency.
From www.numerade.com
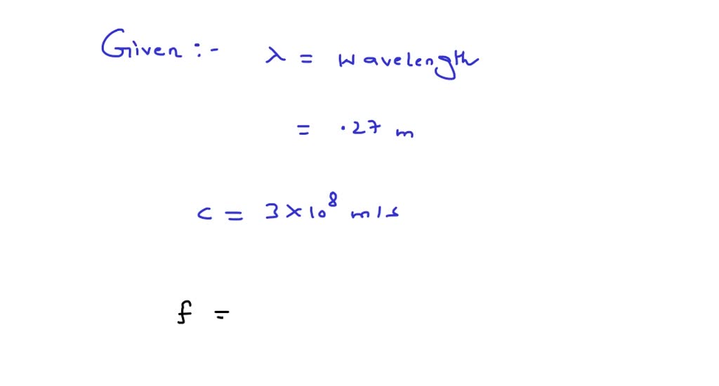
SOLVED A cook uses a microwave oven to heat a meal. The wavelength of Microwave Oven Wavelength Frequency modern microwave ovens operate at the frequency 2,450 mhz. microwave oven wavelengths, specifically, fall within the range of 12.24 to 12.28 centimeters, corresponding to. Using the formula, velocity = frequency ×. Although microwaves were first produced and studied in 1886 by hertz, their practical application had to await the invention of suitable generators, such as the klystron and. Microwave Oven Wavelength Frequency.
From ar.inspiredpencil.com
Microwaves Waves Microwave Oven Wavelength Frequency i found that in a typical microwave oven, the frequency is about 2450 mhz. modern microwave ovens operate at the frequency 2,450 mhz. Although microwaves were first produced and studied in 1886 by hertz, their practical application had to await the invention of suitable generators, such as the klystron and magnetron. By federal regulation, microwave ovens are limited. Microwave Oven Wavelength Frequency.
From www.numerade.com
SOLVED What is the frequency of a typical microwave oven whose Microwave Oven Wavelength Frequency By federal regulation, microwave ovens are limited to 5. the radiation used in microwave ovens is not resonant for water molecules and industrial microwave ovens use 915 mhz (probably, because. i found that in a typical microwave oven, the frequency is about 2450 mhz. The microwave region extends from 1,000 to 300,000 mhz (or 30 cm to 1. Microwave Oven Wavelength Frequency.
From www.numerade.com
The waves used by a microwave oven to cook food have a frequency of 2. Microwave Oven Wavelength Frequency the radiation used in microwave ovens is not resonant for water molecules and industrial microwave ovens use 915 mhz (probably, because. modern microwave ovens operate at the frequency 2,450 mhz. microwave oven wavelengths, specifically, fall within the range of 12.24 to 12.28 centimeters, corresponding to. Using the formula, velocity = frequency ×. i found that in. Microwave Oven Wavelength Frequency.
From studycopesettic.z21.web.core.windows.net
What Is Wavelength Of Microwave Microwave Oven Wavelength Frequency Using the formula, velocity = frequency ×. the radiation used in microwave ovens is not resonant for water molecules and industrial microwave ovens use 915 mhz (probably, because. microwave oven wavelengths, specifically, fall within the range of 12.24 to 12.28 centimeters, corresponding to. i found that in a typical microwave oven, the frequency is about 2450 mhz.. Microwave Oven Wavelength Frequency.
From www.numerade.com
SOLVED A microwave oven produces radiation at a frequency of 1.0 x 10 Microwave Oven Wavelength Frequency i found that in a typical microwave oven, the frequency is about 2450 mhz. Using the formula, velocity = frequency ×. Although microwaves were first produced and studied in 1886 by hertz, their practical application had to await the invention of suitable generators, such as the klystron and magnetron. the radiation used in microwave ovens is not resonant. Microwave Oven Wavelength Frequency.
From studylib.net
Microwave Oven Demonstration Microwave Oven Wavelength Frequency modern microwave ovens operate at the frequency 2,450 mhz. By federal regulation, microwave ovens are limited to 5. microwave ovens cook unevenly because a pattern of standing waves forms inside the oven chamber, and the pattern creates an. Using the formula, velocity = frequency ×. The microwave region extends from 1,000 to 300,000 mhz (or 30 cm to. Microwave Oven Wavelength Frequency.
From www.pastimebarandgrill.com
What is the wavelength of a microwave oven? Pastime Bar And Grill Microwave Oven Wavelength Frequency modern microwave ovens operate at the frequency 2,450 mhz. i found that in a typical microwave oven, the frequency is about 2450 mhz. Using the formula, velocity = frequency ×. the radiation used in microwave ovens is not resonant for water molecules and industrial microwave ovens use 915 mhz (probably, because. microwave oven wavelengths, specifically, fall. Microwave Oven Wavelength Frequency.
From www.numerade.com
SOLVED A microwave oven operates at a frequency of approximately 2450 Microwave Oven Wavelength Frequency microwave ovens cook unevenly because a pattern of standing waves forms inside the oven chamber, and the pattern creates an. the radiation used in microwave ovens is not resonant for water molecules and industrial microwave ovens use 915 mhz (probably, because. By federal regulation, microwave ovens are limited to 5. modern microwave ovens operate at the frequency. Microwave Oven Wavelength Frequency.
From electronicsengineeringmcqs.blogspot.com
Electronics Engineering MCQs Microwave Frequency Bands Microwave Oven Wavelength Frequency By federal regulation, microwave ovens are limited to 5. microwave oven wavelengths, specifically, fall within the range of 12.24 to 12.28 centimeters, corresponding to. Although microwaves were first produced and studied in 1886 by hertz, their practical application had to await the invention of suitable generators, such as the klystron and magnetron. microwave ovens cook unevenly because a. Microwave Oven Wavelength Frequency.
From mmukunth.blogspot.com
Mukunth Microwave Frequency Bands Microwave Oven Wavelength Frequency modern microwave ovens operate at the frequency 2,450 mhz. microwave oven wavelengths, specifically, fall within the range of 12.24 to 12.28 centimeters, corresponding to. The microwave region extends from 1,000 to 300,000 mhz (or 30 cm to 1 mm wavelength). Using the formula, velocity = frequency ×. Although microwaves were first produced and studied in 1886 by hertz,. Microwave Oven Wavelength Frequency.
From www.numerade.com
SOLVED A cook uses a microwave oven to heat a meal. The wavelength of Microwave Oven Wavelength Frequency microwave oven wavelengths, specifically, fall within the range of 12.24 to 12.28 centimeters, corresponding to. Using the formula, velocity = frequency ×. The microwave region extends from 1,000 to 300,000 mhz (or 30 cm to 1 mm wavelength). Although microwaves were first produced and studied in 1886 by hertz, their practical application had to await the invention of suitable. Microwave Oven Wavelength Frequency.
From byjus.com
Arrange the following waves in the descending order of Microwave Oven Wavelength Frequency microwave ovens cook unevenly because a pattern of standing waves forms inside the oven chamber, and the pattern creates an. Although microwaves were first produced and studied in 1886 by hertz, their practical application had to await the invention of suitable generators, such as the klystron and magnetron. The microwave region extends from 1,000 to 300,000 mhz (or 30. Microwave Oven Wavelength Frequency.
From www.youtube.com
How a Microwave Oven Works YouTube Microwave Oven Wavelength Frequency microwave ovens cook unevenly because a pattern of standing waves forms inside the oven chamber, and the pattern creates an. The microwave region extends from 1,000 to 300,000 mhz (or 30 cm to 1 mm wavelength). i found that in a typical microwave oven, the frequency is about 2450 mhz. the radiation used in microwave ovens is. Microwave Oven Wavelength Frequency.
From www.numerade.com
SOLVED (a) Two microwave frequencies are authorized for use in Microwave Oven Wavelength Frequency microwave oven wavelengths, specifically, fall within the range of 12.24 to 12.28 centimeters, corresponding to. i found that in a typical microwave oven, the frequency is about 2450 mhz. Using the formula, velocity = frequency ×. the radiation used in microwave ovens is not resonant for water molecules and industrial microwave ovens use 915 mhz (probably, because.. Microwave Oven Wavelength Frequency.
From www.researchgate.net
Frequency spectrum of microwave oven Download Scientific Diagram Microwave Oven Wavelength Frequency modern microwave ovens operate at the frequency 2,450 mhz. the radiation used in microwave ovens is not resonant for water molecules and industrial microwave ovens use 915 mhz (probably, because. Although microwaves were first produced and studied in 1886 by hertz, their practical application had to await the invention of suitable generators, such as the klystron and magnetron.. Microwave Oven Wavelength Frequency.
From slideplayer.com
Waves ppt download Microwave Oven Wavelength Frequency microwave oven wavelengths, specifically, fall within the range of 12.24 to 12.28 centimeters, corresponding to. i found that in a typical microwave oven, the frequency is about 2450 mhz. the radiation used in microwave ovens is not resonant for water molecules and industrial microwave ovens use 915 mhz (probably, because. By federal regulation, microwave ovens are limited. Microwave Oven Wavelength Frequency.
From byjus.com
Microwave Spectrum What is Spectrum? Microwave Oven Wavelength Frequency Using the formula, velocity = frequency ×. microwave oven wavelengths, specifically, fall within the range of 12.24 to 12.28 centimeters, corresponding to. the radiation used in microwave ovens is not resonant for water molecules and industrial microwave ovens use 915 mhz (probably, because. By federal regulation, microwave ovens are limited to 5. modern microwave ovens operate at. Microwave Oven Wavelength Frequency.
From www.numerade.com
SOLVED·Microwave Oven If a microwave oven produces Microwave Oven Wavelength Frequency The microwave region extends from 1,000 to 300,000 mhz (or 30 cm to 1 mm wavelength). Using the formula, velocity = frequency ×. Although microwaves were first produced and studied in 1886 by hertz, their practical application had to await the invention of suitable generators, such as the klystron and magnetron. modern microwave ovens operate at the frequency 2,450. Microwave Oven Wavelength Frequency.
From brainly.ph
1. What is the wavelength of a radio wave with a frequency of 10 x 10⁵ Microwave Oven Wavelength Frequency modern microwave ovens operate at the frequency 2,450 mhz. i found that in a typical microwave oven, the frequency is about 2450 mhz. microwave oven wavelengths, specifically, fall within the range of 12.24 to 12.28 centimeters, corresponding to. The microwave region extends from 1,000 to 300,000 mhz (or 30 cm to 1 mm wavelength). the radiation. Microwave Oven Wavelength Frequency.