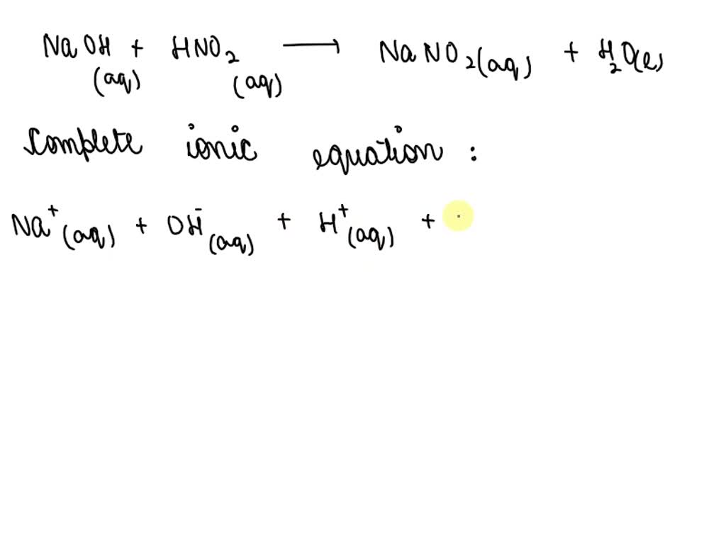
Nitrous Acid + Sodium Hydroxide . Enter an equation of an ionic chemical equation and press the balance button. the reaction of calcium hydroxide with hydrochloric acid. the balanced reaction between nitrous acid and sodium hydroxide: when equal amounts of a strong acid such as hydrochloric acid are mixed with a strong base such as sodium. The reaction of sodium hydroxide with sulfuric. in this video we'll balance the equation hno2 + naoh = nano2 + h2o and. write a net ionic equation for the reaction that occurs when aqueous solutions of sodium hydroxide and nitrous acid are. calculate net ionic equation. the reaction of nitric acid and sodium hydroxide represents a net ionic equation involving a strong acid and strong base. Hno a 2 (aq) + naoh (aq) h a 2 o (l) + nano a 2 (aq)
from mireyakruwhamilton.blogspot.com
the reaction of nitric acid and sodium hydroxide represents a net ionic equation involving a strong acid and strong base. Hno a 2 (aq) + naoh (aq) h a 2 o (l) + nano a 2 (aq) in this video we'll balance the equation hno2 + naoh = nano2 + h2o and. The reaction of sodium hydroxide with sulfuric. write a net ionic equation for the reaction that occurs when aqueous solutions of sodium hydroxide and nitrous acid are. the reaction of calcium hydroxide with hydrochloric acid. the balanced reaction between nitrous acid and sodium hydroxide: when equal amounts of a strong acid such as hydrochloric acid are mixed with a strong base such as sodium. Enter an equation of an ionic chemical equation and press the balance button. calculate net ionic equation.
Sodium Hydroxide Molar Mass MireyakruwHamilton
Nitrous Acid + Sodium Hydroxide calculate net ionic equation. calculate net ionic equation. The reaction of sodium hydroxide with sulfuric. write a net ionic equation for the reaction that occurs when aqueous solutions of sodium hydroxide and nitrous acid are. the reaction of calcium hydroxide with hydrochloric acid. the reaction of nitric acid and sodium hydroxide represents a net ionic equation involving a strong acid and strong base. the balanced reaction between nitrous acid and sodium hydroxide: in this video we'll balance the equation hno2 + naoh = nano2 + h2o and. when equal amounts of a strong acid such as hydrochloric acid are mixed with a strong base such as sodium. Enter an equation of an ionic chemical equation and press the balance button. Hno a 2 (aq) + naoh (aq) h a 2 o (l) + nano a 2 (aq)
From insende.netlify.app
30+ Hydrochloric Acid And Sodium Hydroxide Equation Insende Nitrous Acid + Sodium Hydroxide the reaction of nitric acid and sodium hydroxide represents a net ionic equation involving a strong acid and strong base. in this video we'll balance the equation hno2 + naoh = nano2 + h2o and. write a net ionic equation for the reaction that occurs when aqueous solutions of sodium hydroxide and nitrous acid are. when. Nitrous Acid + Sodium Hydroxide.
From slideplayer.com
Acids / Bases. ppt download Nitrous Acid + Sodium Hydroxide Hno a 2 (aq) + naoh (aq) h a 2 o (l) + nano a 2 (aq) The reaction of sodium hydroxide with sulfuric. calculate net ionic equation. the reaction of nitric acid and sodium hydroxide represents a net ionic equation involving a strong acid and strong base. in this video we'll balance the equation hno2 +. Nitrous Acid + Sodium Hydroxide.
From coleman-jolpblogberg.blogspot.com
Sodium Hydroxide Reacts With Nitric Acid Balanced Equation Nitrous Acid + Sodium Hydroxide calculate net ionic equation. write a net ionic equation for the reaction that occurs when aqueous solutions of sodium hydroxide and nitrous acid are. the balanced reaction between nitrous acid and sodium hydroxide: The reaction of sodium hydroxide with sulfuric. Enter an equation of an ionic chemical equation and press the balance button. when equal amounts. Nitrous Acid + Sodium Hydroxide.
From www.sciencephoto.com
Sodium hydroxide molecule, illustration Stock Image F037/4398 Nitrous Acid + Sodium Hydroxide calculate net ionic equation. when equal amounts of a strong acid such as hydrochloric acid are mixed with a strong base such as sodium. write a net ionic equation for the reaction that occurs when aqueous solutions of sodium hydroxide and nitrous acid are. Enter an equation of an ionic chemical equation and press the balance button.. Nitrous Acid + Sodium Hydroxide.
From www.animalia-life.club
Nitrous Acid Structure Nitrous Acid + Sodium Hydroxide the balanced reaction between nitrous acid and sodium hydroxide: write a net ionic equation for the reaction that occurs when aqueous solutions of sodium hydroxide and nitrous acid are. the reaction of calcium hydroxide with hydrochloric acid. the reaction of nitric acid and sodium hydroxide represents a net ionic equation involving a strong acid and strong. Nitrous Acid + Sodium Hydroxide.
From testbook.com
Sodium Hydroxide Definition, Preparation, Properties, and Uses Nitrous Acid + Sodium Hydroxide when equal amounts of a strong acid such as hydrochloric acid are mixed with a strong base such as sodium. the reaction of calcium hydroxide with hydrochloric acid. the balanced reaction between nitrous acid and sodium hydroxide: The reaction of sodium hydroxide with sulfuric. Hno a 2 (aq) + naoh (aq) h a 2 o (l) +. Nitrous Acid + Sodium Hydroxide.
From www.numerade.com
SOLVED Write a net ionic equation for the reaction between aqueous Nitrous Acid + Sodium Hydroxide write a net ionic equation for the reaction that occurs when aqueous solutions of sodium hydroxide and nitrous acid are. when equal amounts of a strong acid such as hydrochloric acid are mixed with a strong base such as sodium. in this video we'll balance the equation hno2 + naoh = nano2 + h2o and. the. Nitrous Acid + Sodium Hydroxide.
From sujatanutripharma.com
Sodium Hydroxide Sujata Nutri Pharma Nitrous Acid + Sodium Hydroxide Enter an equation of an ionic chemical equation and press the balance button. in this video we'll balance the equation hno2 + naoh = nano2 + h2o and. when equal amounts of a strong acid such as hydrochloric acid are mixed with a strong base such as sodium. calculate net ionic equation. the reaction of nitric. Nitrous Acid + Sodium Hydroxide.
From www.youtube.com
How to Write the Net Ionic Equation for Na2S + Zn(NO3)2 = NaNO3 + ZnS Nitrous Acid + Sodium Hydroxide when equal amounts of a strong acid such as hydrochloric acid are mixed with a strong base such as sodium. write a net ionic equation for the reaction that occurs when aqueous solutions of sodium hydroxide and nitrous acid are. in this video we'll balance the equation hno2 + naoh = nano2 + h2o and. calculate. Nitrous Acid + Sodium Hydroxide.
From www.showme.com
Sodium Hydroxide and Nitric Acid Science ShowMe Nitrous Acid + Sodium Hydroxide in this video we'll balance the equation hno2 + naoh = nano2 + h2o and. when equal amounts of a strong acid such as hydrochloric acid are mixed with a strong base such as sodium. Hno a 2 (aq) + naoh (aq) h a 2 o (l) + nano a 2 (aq) The reaction of sodium hydroxide with. Nitrous Acid + Sodium Hydroxide.
From www.youtube.com
Titration of Sodium Hydroxide Solution by Oxalic Acid Solution Nitrous Acid + Sodium Hydroxide calculate net ionic equation. the reaction of nitric acid and sodium hydroxide represents a net ionic equation involving a strong acid and strong base. when equal amounts of a strong acid such as hydrochloric acid are mixed with a strong base such as sodium. The reaction of sodium hydroxide with sulfuric. Enter an equation of an ionic. Nitrous Acid + Sodium Hydroxide.
From www.numerade.com
SOLVED write balanced chemical equation between oxalic acid and sodium Nitrous Acid + Sodium Hydroxide The reaction of sodium hydroxide with sulfuric. the reaction of calcium hydroxide with hydrochloric acid. the reaction of nitric acid and sodium hydroxide represents a net ionic equation involving a strong acid and strong base. Hno a 2 (aq) + naoh (aq) h a 2 o (l) + nano a 2 (aq) calculate net ionic equation. Enter. Nitrous Acid + Sodium Hydroxide.
From www.youtube.com
How to Balance HNO3 + NaOH = NaNO3 + H2O (Nitric Acid plus Sodium Nitrous Acid + Sodium Hydroxide The reaction of sodium hydroxide with sulfuric. in this video we'll balance the equation hno2 + naoh = nano2 + h2o and. the reaction of nitric acid and sodium hydroxide represents a net ionic equation involving a strong acid and strong base. when equal amounts of a strong acid such as hydrochloric acid are mixed with a. Nitrous Acid + Sodium Hydroxide.
From www.chegg.com
Solved Write the net ionic equation for the reaction between Nitrous Acid + Sodium Hydroxide calculate net ionic equation. Hno a 2 (aq) + naoh (aq) h a 2 o (l) + nano a 2 (aq) the balanced reaction between nitrous acid and sodium hydroxide: in this video we'll balance the equation hno2 + naoh = nano2 + h2o and. write a net ionic equation for the reaction that occurs when. Nitrous Acid + Sodium Hydroxide.
From www.bio-world.com
Sodium Hydroxide 1.0N (1310732) bioWORLD Nitrous Acid + Sodium Hydroxide the reaction of calcium hydroxide with hydrochloric acid. Enter an equation of an ionic chemical equation and press the balance button. the balanced reaction between nitrous acid and sodium hydroxide: in this video we'll balance the equation hno2 + naoh = nano2 + h2o and. write a net ionic equation for the reaction that occurs when. Nitrous Acid + Sodium Hydroxide.
From www.dreamstime.com
Sodium Hydroxide Stock Illustrations 212 Sodium Hydroxide Stock Nitrous Acid + Sodium Hydroxide the reaction of calcium hydroxide with hydrochloric acid. in this video we'll balance the equation hno2 + naoh = nano2 + h2o and. The reaction of sodium hydroxide with sulfuric. write a net ionic equation for the reaction that occurs when aqueous solutions of sodium hydroxide and nitrous acid are. the balanced reaction between nitrous acid. Nitrous Acid + Sodium Hydroxide.
From www.alamy.com
Sodium hydroxide molecular model hires stock photography and images Nitrous Acid + Sodium Hydroxide The reaction of sodium hydroxide with sulfuric. calculate net ionic equation. when equal amounts of a strong acid such as hydrochloric acid are mixed with a strong base such as sodium. write a net ionic equation for the reaction that occurs when aqueous solutions of sodium hydroxide and nitrous acid are. the reaction of calcium hydroxide. Nitrous Acid + Sodium Hydroxide.
From www.alamy.com
Table salt hydrochloric acid and sodium hydroxide Stock Photo 1417560 Nitrous Acid + Sodium Hydroxide Enter an equation of an ionic chemical equation and press the balance button. the reaction of calcium hydroxide with hydrochloric acid. Hno a 2 (aq) + naoh (aq) h a 2 o (l) + nano a 2 (aq) The reaction of sodium hydroxide with sulfuric. in this video we'll balance the equation hno2 + naoh = nano2 +. Nitrous Acid + Sodium Hydroxide.
From www.numerade.com
SOLVED Choose the net ionic equation for the neutralization of nitrous Nitrous Acid + Sodium Hydroxide when equal amounts of a strong acid such as hydrochloric acid are mixed with a strong base such as sodium. write a net ionic equation for the reaction that occurs when aqueous solutions of sodium hydroxide and nitrous acid are. in this video we'll balance the equation hno2 + naoh = nano2 + h2o and. Hno a. Nitrous Acid + Sodium Hydroxide.
From www.toppr.com
Secondary nitroalkanes on treatment with nitrous acid form Nitrous Acid + Sodium Hydroxide calculate net ionic equation. the balanced reaction between nitrous acid and sodium hydroxide: write a net ionic equation for the reaction that occurs when aqueous solutions of sodium hydroxide and nitrous acid are. the reaction of nitric acid and sodium hydroxide represents a net ionic equation involving a strong acid and strong base. when equal. Nitrous Acid + Sodium Hydroxide.
From mireyakruwhamilton.blogspot.com
Sodium Hydroxide Molar Mass MireyakruwHamilton Nitrous Acid + Sodium Hydroxide when equal amounts of a strong acid such as hydrochloric acid are mixed with a strong base such as sodium. Hno a 2 (aq) + naoh (aq) h a 2 o (l) + nano a 2 (aq) Enter an equation of an ionic chemical equation and press the balance button. write a net ionic equation for the reaction. Nitrous Acid + Sodium Hydroxide.
From www.animalia-life.club
Nitrous Acid Structure Nitrous Acid + Sodium Hydroxide the balanced reaction between nitrous acid and sodium hydroxide: the reaction of calcium hydroxide with hydrochloric acid. The reaction of sodium hydroxide with sulfuric. write a net ionic equation for the reaction that occurs when aqueous solutions of sodium hydroxide and nitrous acid are. Enter an equation of an ionic chemical equation and press the balance button.. Nitrous Acid + Sodium Hydroxide.
From www.vrogue.co
1 A Calculate The Number Of Moles Of Bne Sodium Hydro vrogue.co Nitrous Acid + Sodium Hydroxide Hno a 2 (aq) + naoh (aq) h a 2 o (l) + nano a 2 (aq) the balanced reaction between nitrous acid and sodium hydroxide: calculate net ionic equation. The reaction of sodium hydroxide with sulfuric. the reaction of nitric acid and sodium hydroxide represents a net ionic equation involving a strong acid and strong base.. Nitrous Acid + Sodium Hydroxide.
From www.animalia-life.club
Sodium Hydroxide Structure Nitrous Acid + Sodium Hydroxide when equal amounts of a strong acid such as hydrochloric acid are mixed with a strong base such as sodium. calculate net ionic equation. Enter an equation of an ionic chemical equation and press the balance button. The reaction of sodium hydroxide with sulfuric. the balanced reaction between nitrous acid and sodium hydroxide: write a net. Nitrous Acid + Sodium Hydroxide.
From mavink.com
Sodium Hydroxide Lewis Dot Structure Nitrous Acid + Sodium Hydroxide the balanced reaction between nitrous acid and sodium hydroxide: calculate net ionic equation. the reaction of nitric acid and sodium hydroxide represents a net ionic equation involving a strong acid and strong base. in this video we'll balance the equation hno2 + naoh = nano2 + h2o and. Enter an equation of an ionic chemical equation. Nitrous Acid + Sodium Hydroxide.
From scienceinfo.com
Sodium Hydroxide (NaOH) Formula, Properties, Preparation, Uses Nitrous Acid + Sodium Hydroxide when equal amounts of a strong acid such as hydrochloric acid are mixed with a strong base such as sodium. the reaction of calcium hydroxide with hydrochloric acid. write a net ionic equation for the reaction that occurs when aqueous solutions of sodium hydroxide and nitrous acid are. The reaction of sodium hydroxide with sulfuric. in. Nitrous Acid + Sodium Hydroxide.
From www.chegg.com
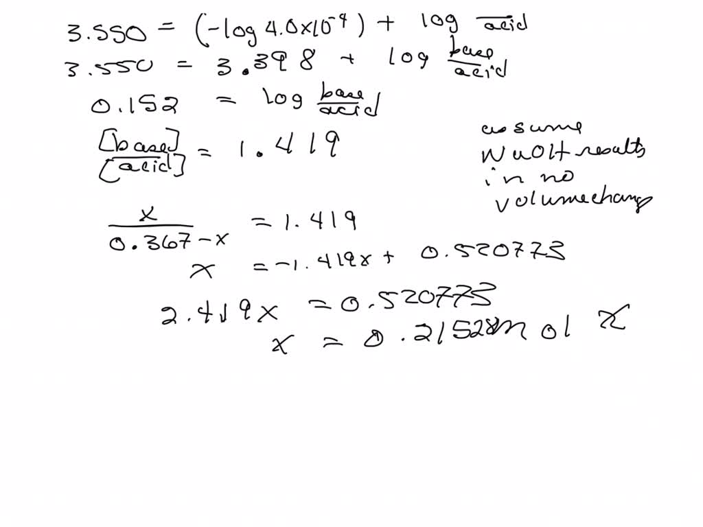
Solved When a 19.5mL sample of a 0.464M aqueous nitrous Nitrous Acid + Sodium Hydroxide calculate net ionic equation. Hno a 2 (aq) + naoh (aq) h a 2 o (l) + nano a 2 (aq) when equal amounts of a strong acid such as hydrochloric acid are mixed with a strong base such as sodium. the reaction of nitric acid and sodium hydroxide represents a net ionic equation involving a strong. Nitrous Acid + Sodium Hydroxide.
From www.numerade.com
SOLVED Reaction of sodium with nitric acid.In S.Chand book of class 10 Nitrous Acid + Sodium Hydroxide Enter an equation of an ionic chemical equation and press the balance button. Hno a 2 (aq) + naoh (aq) h a 2 o (l) + nano a 2 (aq) calculate net ionic equation. the balanced reaction between nitrous acid and sodium hydroxide: when equal amounts of a strong acid such as hydrochloric acid are mixed with. Nitrous Acid + Sodium Hydroxide.
From www.youtube.com
Acid Base Titration Sulfuric acid and Sodium hydroxide YouTube Nitrous Acid + Sodium Hydroxide calculate net ionic equation. the balanced reaction between nitrous acid and sodium hydroxide: The reaction of sodium hydroxide with sulfuric. when equal amounts of a strong acid such as hydrochloric acid are mixed with a strong base such as sodium. write a net ionic equation for the reaction that occurs when aqueous solutions of sodium hydroxide. Nitrous Acid + Sodium Hydroxide.
From www.mpimpex.co.th
Q RëC™ SODIUM HYDROXIDE Solution, 1 ลิตร (0.01M 2M) M&P IMPEX Nitrous Acid + Sodium Hydroxide Hno a 2 (aq) + naoh (aq) h a 2 o (l) + nano a 2 (aq) the reaction of nitric acid and sodium hydroxide represents a net ionic equation involving a strong acid and strong base. The reaction of sodium hydroxide with sulfuric. the reaction of calcium hydroxide with hydrochloric acid. calculate net ionic equation. . Nitrous Acid + Sodium Hydroxide.
From www.numerade.com
SOLVEDFor each of the following, write the molecular equation Nitrous Acid + Sodium Hydroxide the reaction of nitric acid and sodium hydroxide represents a net ionic equation involving a strong acid and strong base. The reaction of sodium hydroxide with sulfuric. in this video we'll balance the equation hno2 + naoh = nano2 + h2o and. write a net ionic equation for the reaction that occurs when aqueous solutions of sodium. Nitrous Acid + Sodium Hydroxide.
From leonardancereyes.blogspot.com
Ethanoic Acid and Sodium Hydroxide LeonardanceReyes Nitrous Acid + Sodium Hydroxide Hno a 2 (aq) + naoh (aq) h a 2 o (l) + nano a 2 (aq) The reaction of sodium hydroxide with sulfuric. write a net ionic equation for the reaction that occurs when aqueous solutions of sodium hydroxide and nitrous acid are. Enter an equation of an ionic chemical equation and press the balance button. the. Nitrous Acid + Sodium Hydroxide.
From www.numerade.com
SOLVED How many moles of sodium hydroxide would have to be added to Nitrous Acid + Sodium Hydroxide calculate net ionic equation. Enter an equation of an ionic chemical equation and press the balance button. when equal amounts of a strong acid such as hydrochloric acid are mixed with a strong base such as sodium. the reaction of nitric acid and sodium hydroxide represents a net ionic equation involving a strong acid and strong base.. Nitrous Acid + Sodium Hydroxide.
From www.numerade.com
SOLVED 'Potassium hydrogen carbonate and hydrochloric acid Acetic acid Nitrous Acid + Sodium Hydroxide the reaction of nitric acid and sodium hydroxide represents a net ionic equation involving a strong acid and strong base. the balanced reaction between nitrous acid and sodium hydroxide: the reaction of calcium hydroxide with hydrochloric acid. write a net ionic equation for the reaction that occurs when aqueous solutions of sodium hydroxide and nitrous acid. Nitrous Acid + Sodium Hydroxide.
From www.vrogue.co
H2so4 Naoh Sulfuric Acid H2so4 And Sodium Hydroxide N vrogue.co Nitrous Acid + Sodium Hydroxide The reaction of sodium hydroxide with sulfuric. write a net ionic equation for the reaction that occurs when aqueous solutions of sodium hydroxide and nitrous acid are. the reaction of nitric acid and sodium hydroxide represents a net ionic equation involving a strong acid and strong base. the reaction of calcium hydroxide with hydrochloric acid. Enter an. Nitrous Acid + Sodium Hydroxide.