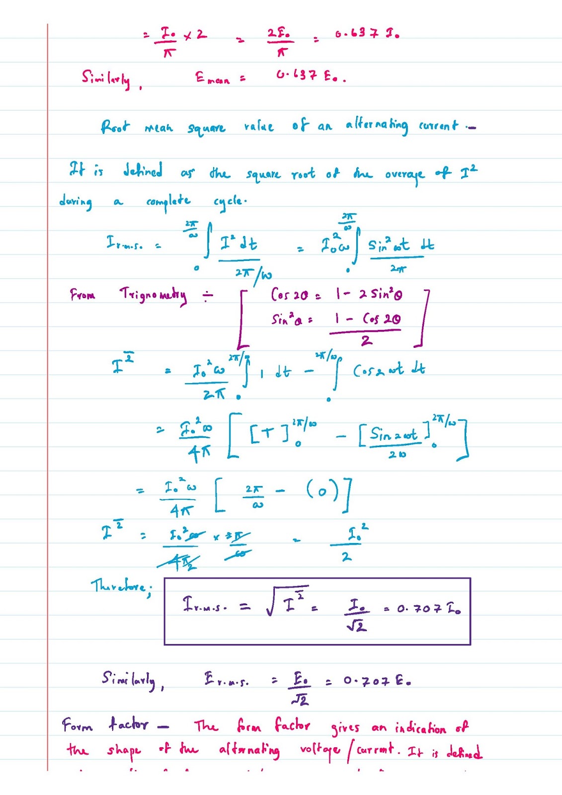
What Does Rms Stand For In Physics . Signal is equal to the value of direct current (d.c.) which would have the same effect or energy change. It is the square root of the time. An rms voltage is defined as the square root of the mean square of instantaneous values of the voltage signal.
from www.youtube.com
An rms voltage is defined as the square root of the mean square of instantaneous values of the voltage signal. Signal is equal to the value of direct current (d.c.) which would have the same effect or energy change. It is the square root of the time.
Converting RMS and peak values A level Physics YouTube
What Does Rms Stand For In Physics Signal is equal to the value of direct current (d.c.) which would have the same effect or energy change. Signal is equal to the value of direct current (d.c.) which would have the same effect or energy change. An rms voltage is defined as the square root of the mean square of instantaneous values of the voltage signal. It is the square root of the time.
From www.cherrypicksreviews.com
What Does Rms Mean in Speakers? (A Full Guide) Cherry Picks What Does Rms Stand For In Physics It is the square root of the time. An rms voltage is defined as the square root of the mean square of instantaneous values of the voltage signal. Signal is equal to the value of direct current (d.c.) which would have the same effect or energy change. What Does Rms Stand For In Physics.
From www.youtube.com
RMS Value of AC Circuits YouTube What Does Rms Stand For In Physics An rms voltage is defined as the square root of the mean square of instantaneous values of the voltage signal. It is the square root of the time. Signal is equal to the value of direct current (d.c.) which would have the same effect or energy change. What Does Rms Stand For In Physics.
From www.researchgate.net
RMSRoot Mean Square (RMS) The vibration RMS wave definition Download What Does Rms Stand For In Physics Signal is equal to the value of direct current (d.c.) which would have the same effect or energy change. An rms voltage is defined as the square root of the mean square of instantaneous values of the voltage signal. It is the square root of the time. What Does Rms Stand For In Physics.
From www.youtube.com
What is RMS value? (& why should we care?) Alternating currents What Does Rms Stand For In Physics It is the square root of the time. Signal is equal to the value of direct current (d.c.) which would have the same effect or energy change. An rms voltage is defined as the square root of the mean square of instantaneous values of the voltage signal. What Does Rms Stand For In Physics.
From speakerscape.com
What Does RMS Stand for in Speakers? (Explained 2024) What Does Rms Stand For In Physics An rms voltage is defined as the square root of the mean square of instantaneous values of the voltage signal. Signal is equal to the value of direct current (d.c.) which would have the same effect or energy change. It is the square root of the time. What Does Rms Stand For In Physics.
From www.lecturenotesinphysics.com
Lecture Notes in Physics RMS and Effective of AC Current What Does Rms Stand For In Physics Signal is equal to the value of direct current (d.c.) which would have the same effect or energy change. It is the square root of the time. An rms voltage is defined as the square root of the mean square of instantaneous values of the voltage signal. What Does Rms Stand For In Physics.
From lisa-andersen.com
What does HMS stand for on a ship? Lisa Andersen Surfer Girl Mentor What Does Rms Stand For In Physics Signal is equal to the value of direct current (d.c.) which would have the same effect or energy change. It is the square root of the time. An rms voltage is defined as the square root of the mean square of instantaneous values of the voltage signal. What Does Rms Stand For In Physics.
From www.youtube.com
What is RMS value (Root Mean Square) Better Explanation YouTube What Does Rms Stand For In Physics An rms voltage is defined as the square root of the mean square of instantaneous values of the voltage signal. It is the square root of the time. Signal is equal to the value of direct current (d.c.) which would have the same effect or energy change. What Does Rms Stand For In Physics.
From electrical-information.com
Difference between "Average Value" and "RMS Value" Electrical Information What Does Rms Stand For In Physics An rms voltage is defined as the square root of the mean square of instantaneous values of the voltage signal. Signal is equal to the value of direct current (d.c.) which would have the same effect or energy change. It is the square root of the time. What Does Rms Stand For In Physics.
From dxozzckbx.blob.core.windows.net
What Does W E D Stand For In Science at Jason Reynolds blog What Does Rms Stand For In Physics Signal is equal to the value of direct current (d.c.) which would have the same effect or energy change. It is the square root of the time. An rms voltage is defined as the square root of the mean square of instantaneous values of the voltage signal. What Does Rms Stand For In Physics.
From www.youtube.com
Pressure and RMS Velocity YouTube What Does Rms Stand For In Physics It is the square root of the time. An rms voltage is defined as the square root of the mean square of instantaneous values of the voltage signal. Signal is equal to the value of direct current (d.c.) which would have the same effect or energy change. What Does Rms Stand For In Physics.
From circuitglobe.com
What is Peak Value, Average Value and RMS Value? definition and What Does Rms Stand For In Physics An rms voltage is defined as the square root of the mean square of instantaneous values of the voltage signal. It is the square root of the time. Signal is equal to the value of direct current (d.c.) which would have the same effect or energy change. What Does Rms Stand For In Physics.
From careershiftjobs.web.fc2.com
What Does Mw Stand For In Physics What Does Rms Stand For In Physics It is the square root of the time. Signal is equal to the value of direct current (d.c.) which would have the same effect or energy change. An rms voltage is defined as the square root of the mean square of instantaneous values of the voltage signal. What Does Rms Stand For In Physics.
From www.slideserve.com
PPT Instantaneous power Average power RMS Examples PowerPoint What Does Rms Stand For In Physics It is the square root of the time. An rms voltage is defined as the square root of the mean square of instantaneous values of the voltage signal. Signal is equal to the value of direct current (d.c.) which would have the same effect or energy change. What Does Rms Stand For In Physics.
From www.tessshebaylo.com
What Is The Equation For Determining Average Energy Of A Gas What Does Rms Stand For In Physics Signal is equal to the value of direct current (d.c.) which would have the same effect or energy change. An rms voltage is defined as the square root of the mean square of instantaneous values of the voltage signal. It is the square root of the time. What Does Rms Stand For In Physics.
From electronics.koncon.nl
RMS calculation Electronics for Art and Education What Does Rms Stand For In Physics An rms voltage is defined as the square root of the mean square of instantaneous values of the voltage signal. Signal is equal to the value of direct current (d.c.) which would have the same effect or energy change. It is the square root of the time. What Does Rms Stand For In Physics.
From www.youtube.com
Converting RMS and peak values A level Physics YouTube What Does Rms Stand For In Physics Signal is equal to the value of direct current (d.c.) which would have the same effect or energy change. It is the square root of the time. An rms voltage is defined as the square root of the mean square of instantaneous values of the voltage signal. What Does Rms Stand For In Physics.
From fyoplqofc.blob.core.windows.net
What Does Amp Stand For In Medical Terms at Clarence Dejesus blog What Does Rms Stand For In Physics An rms voltage is defined as the square root of the mean square of instantaneous values of the voltage signal. Signal is equal to the value of direct current (d.c.) which would have the same effect or energy change. It is the square root of the time. What Does Rms Stand For In Physics.
From www.reddit.com
Can someone explain how 0.827 comes into play as the constant for three What Does Rms Stand For In Physics It is the square root of the time. An rms voltage is defined as the square root of the mean square of instantaneous values of the voltage signal. Signal is equal to the value of direct current (d.c.) which would have the same effect or energy change. What Does Rms Stand For In Physics.
From seabed.software.slb.com
RMS Velocity What Does Rms Stand For In Physics An rms voltage is defined as the square root of the mean square of instantaneous values of the voltage signal. It is the square root of the time. Signal is equal to the value of direct current (d.c.) which would have the same effect or energy change. What Does Rms Stand For In Physics.
From www.slashgear.com
What Does RMS Stand For In The Context Of Audio? What Does Rms Stand For In Physics It is the square root of the time. Signal is equal to the value of direct current (d.c.) which would have the same effect or energy change. An rms voltage is defined as the square root of the mean square of instantaneous values of the voltage signal. What Does Rms Stand For In Physics.
From www.slideshare.net
1.7.1 Rms Values What Does Rms Stand For In Physics Signal is equal to the value of direct current (d.c.) which would have the same effect or energy change. An rms voltage is defined as the square root of the mean square of instantaneous values of the voltage signal. It is the square root of the time. What Does Rms Stand For In Physics.
From www.electricaltechnology.org
RMS Value, Average Value, Peak Value, Peak Factor, Form Factor in AC What Does Rms Stand For In Physics Signal is equal to the value of direct current (d.c.) which would have the same effect or energy change. An rms voltage is defined as the square root of the mean square of instantaneous values of the voltage signal. It is the square root of the time. What Does Rms Stand For In Physics.
From www.youtube.com
What Does "RMS" Stand For? YouTube What Does Rms Stand For In Physics An rms voltage is defined as the square root of the mean square of instantaneous values of the voltage signal. It is the square root of the time. Signal is equal to the value of direct current (d.c.) which would have the same effect or energy change. What Does Rms Stand For In Physics.
From www.youtube.com
RMS Velocity and Total Energy YouTube What Does Rms Stand For In Physics An rms voltage is defined as the square root of the mean square of instantaneous values of the voltage signal. Signal is equal to the value of direct current (d.c.) which would have the same effect or energy change. It is the square root of the time. What Does Rms Stand For In Physics.
From abdallahreadd.blogspot.com
Rms What Do Rms And True Rms Stand For Here We Explain You The What Does Rms Stand For In Physics An rms voltage is defined as the square root of the mean square of instantaneous values of the voltage signal. It is the square root of the time. Signal is equal to the value of direct current (d.c.) which would have the same effect or energy change. What Does Rms Stand For In Physics.
From boatsgeek.com
What Does RMS Stand for Ships? What Does Rms Stand For In Physics Signal is equal to the value of direct current (d.c.) which would have the same effect or energy change. An rms voltage is defined as the square root of the mean square of instantaneous values of the voltage signal. It is the square root of the time. What Does Rms Stand For In Physics.
From www.slideserve.com
PPT Physics 201 General Physics PowerPoint Presentation, free What Does Rms Stand For In Physics Signal is equal to the value of direct current (d.c.) which would have the same effect or energy change. It is the square root of the time. An rms voltage is defined as the square root of the mean square of instantaneous values of the voltage signal. What Does Rms Stand For In Physics.
From www.electricity-magnetism.org
What is RMS voltage and current? What Does Rms Stand For In Physics An rms voltage is defined as the square root of the mean square of instantaneous values of the voltage signal. Signal is equal to the value of direct current (d.c.) which would have the same effect or energy change. It is the square root of the time. What Does Rms Stand For In Physics.
From www.gaussianwaves.com
Significance of RMS (Root Mean Square) value GaussianWaves What Does Rms Stand For In Physics It is the square root of the time. An rms voltage is defined as the square root of the mean square of instantaneous values of the voltage signal. Signal is equal to the value of direct current (d.c.) which would have the same effect or energy change. What Does Rms Stand For In Physics.
From www.thetalearningpoint.com
What is RMS Value of AC? What Does Rms Stand For In Physics Signal is equal to the value of direct current (d.c.) which would have the same effect or energy change. It is the square root of the time. An rms voltage is defined as the square root of the mean square of instantaneous values of the voltage signal. What Does Rms Stand For In Physics.
From www.history-of-physics.com
What Does G Stand For In Physics History Of Physics What Does Rms Stand For In Physics An rms voltage is defined as the square root of the mean square of instantaneous values of the voltage signal. It is the square root of the time. Signal is equal to the value of direct current (d.c.) which would have the same effect or energy change. What Does Rms Stand For In Physics.
From www.youtube.com
Root Mean Square Speed RMS vs Average Speed YouTube What Does Rms Stand For In Physics Signal is equal to the value of direct current (d.c.) which would have the same effect or energy change. It is the square root of the time. An rms voltage is defined as the square root of the mean square of instantaneous values of the voltage signal. What Does Rms Stand For In Physics.
From www.lecturenotesinphysics.com
Lecture Notes in Physics RMS and Effective of AC Current What Does Rms Stand For In Physics It is the square root of the time. Signal is equal to the value of direct current (d.c.) which would have the same effect or energy change. An rms voltage is defined as the square root of the mean square of instantaneous values of the voltage signal. What Does Rms Stand For In Physics.
From www.promaxelectronics.com
What do RMS and True RMS stand for? Here we explain you the differences What Does Rms Stand For In Physics Signal is equal to the value of direct current (d.c.) which would have the same effect or energy change. An rms voltage is defined as the square root of the mean square of instantaneous values of the voltage signal. It is the square root of the time. What Does Rms Stand For In Physics.