Copper Chloride Dissociation Equation . Since hcl is a strong acid, k a is immeasurably large and k b ≈ 0 (chloride ions don’t undergo appreciable hydrolysis). It is important to be. An ionic crystal lattice breaks apart when it is dissolved in water. Dissociation is the separation of ions that occurs when a solid ionic compound dissolves. The ions are now written with their respective charges, and the (aq) phase label. Jaroslav already gave you a good hint: Assume full dissociation, which leads to the following equation: When nacl dissolves in water, the ions separate and go their own way in solution;
from express.adobe.com
Assume full dissociation, which leads to the following equation: Since hcl is a strong acid, k a is immeasurably large and k b ≈ 0 (chloride ions don’t undergo appreciable hydrolysis). It is important to be. An ionic crystal lattice breaks apart when it is dissolved in water. When nacl dissolves in water, the ions separate and go their own way in solution; Dissociation is the separation of ions that occurs when a solid ionic compound dissolves. The ions are now written with their respective charges, and the (aq) phase label. Jaroslav already gave you a good hint:
Zinc and Copper Chloride Reaction
Copper Chloride Dissociation Equation When nacl dissolves in water, the ions separate and go their own way in solution; The ions are now written with their respective charges, and the (aq) phase label. Assume full dissociation, which leads to the following equation: Since hcl is a strong acid, k a is immeasurably large and k b ≈ 0 (chloride ions don’t undergo appreciable hydrolysis). An ionic crystal lattice breaks apart when it is dissolved in water. Dissociation is the separation of ions that occurs when a solid ionic compound dissolves. It is important to be. Jaroslav already gave you a good hint: When nacl dissolves in water, the ions separate and go their own way in solution;
From www.youtube.com
Electrolysis half equations for copper chloride YouTube Copper Chloride Dissociation Equation An ionic crystal lattice breaks apart when it is dissolved in water. When nacl dissolves in water, the ions separate and go their own way in solution; Assume full dissociation, which leads to the following equation: Jaroslav already gave you a good hint: It is important to be. The ions are now written with their respective charges, and the (aq). Copper Chloride Dissociation Equation.
From www.numerade.com
SOLVED The solubility of copper(I) chloride is 3.91 mg per 100.0 mL of Copper Chloride Dissociation Equation The ions are now written with their respective charges, and the (aq) phase label. When nacl dissolves in water, the ions separate and go their own way in solution; Dissociation is the separation of ions that occurs when a solid ionic compound dissolves. An ionic crystal lattice breaks apart when it is dissolved in water. It is important to be.. Copper Chloride Dissociation Equation.
From www.youtube.com
How to write the equation for CuO + H2O Copper (II) oxide + Water Copper Chloride Dissociation Equation Since hcl is a strong acid, k a is immeasurably large and k b ≈ 0 (chloride ions don’t undergo appreciable hydrolysis). Jaroslav already gave you a good hint: Dissociation is the separation of ions that occurs when a solid ionic compound dissolves. An ionic crystal lattice breaks apart when it is dissolved in water. When nacl dissolves in water,. Copper Chloride Dissociation Equation.
From www.numerade.com
SOLVED The solubility equilibrium constant for the dissolution of Copper Chloride Dissociation Equation Assume full dissociation, which leads to the following equation: When nacl dissolves in water, the ions separate and go their own way in solution; An ionic crystal lattice breaks apart when it is dissolved in water. Dissociation is the separation of ions that occurs when a solid ionic compound dissolves. The ions are now written with their respective charges, and. Copper Chloride Dissociation Equation.
From www.youtube.com
Electrolysis of Copper Chloride solution National 5 YouTube Copper Chloride Dissociation Equation Jaroslav already gave you a good hint: Assume full dissociation, which leads to the following equation: Since hcl is a strong acid, k a is immeasurably large and k b ≈ 0 (chloride ions don’t undergo appreciable hydrolysis). Dissociation is the separation of ions that occurs when a solid ionic compound dissolves. An ionic crystal lattice breaks apart when it. Copper Chloride Dissociation Equation.
From www.youtube.com
How to Write the Net Ionic Equation for CuCl2 + NaOH = Cu(OH)2 + NaCl Copper Chloride Dissociation Equation It is important to be. Dissociation is the separation of ions that occurs when a solid ionic compound dissolves. The ions are now written with their respective charges, and the (aq) phase label. When nacl dissolves in water, the ions separate and go their own way in solution; Jaroslav already gave you a good hint: Assume full dissociation, which leads. Copper Chloride Dissociation Equation.
From www.slideshare.net
Chapter 14.1 Compounds in Aqueous Solutions Copper Chloride Dissociation Equation It is important to be. Dissociation is the separation of ions that occurs when a solid ionic compound dissolves. An ionic crystal lattice breaks apart when it is dissolved in water. Jaroslav already gave you a good hint: Since hcl is a strong acid, k a is immeasurably large and k b ≈ 0 (chloride ions don’t undergo appreciable hydrolysis).. Copper Chloride Dissociation Equation.
From www.youtube.com
Electrolysis of concentrated copper (II) chloride (aq) CuCL2 GCSE Copper Chloride Dissociation Equation The ions are now written with their respective charges, and the (aq) phase label. Since hcl is a strong acid, k a is immeasurably large and k b ≈ 0 (chloride ions don’t undergo appreciable hydrolysis). It is important to be. Assume full dissociation, which leads to the following equation: When nacl dissolves in water, the ions separate and go. Copper Chloride Dissociation Equation.
From www.numerade.com
SOLVED write and balance equations for each of the following the Copper Chloride Dissociation Equation When nacl dissolves in water, the ions separate and go their own way in solution; The ions are now written with their respective charges, and the (aq) phase label. An ionic crystal lattice breaks apart when it is dissolved in water. Assume full dissociation, which leads to the following equation: Dissociation is the separation of ions that occurs when a. Copper Chloride Dissociation Equation.
From www.coursehero.com
[Solved] 12.Calculate the solubility of copper (II) chloride CuClz ksp Copper Chloride Dissociation Equation The ions are now written with their respective charges, and the (aq) phase label. It is important to be. Jaroslav already gave you a good hint: Assume full dissociation, which leads to the following equation: An ionic crystal lattice breaks apart when it is dissolved in water. Since hcl is a strong acid, k a is immeasurably large and k. Copper Chloride Dissociation Equation.
From parisancerobertson.blogspot.com
Copper Ii Chloride Formula ParisanceRobertson Copper Chloride Dissociation Equation Jaroslav already gave you a good hint: Since hcl is a strong acid, k a is immeasurably large and k b ≈ 0 (chloride ions don’t undergo appreciable hydrolysis). An ionic crystal lattice breaks apart when it is dissolved in water. Dissociation is the separation of ions that occurs when a solid ionic compound dissolves. Assume full dissociation, which leads. Copper Chloride Dissociation Equation.
From www.studocu.com
Exp 4 Determination of the chemical Formula of Copper Chloride Hydrate Copper Chloride Dissociation Equation Dissociation is the separation of ions that occurs when a solid ionic compound dissolves. When nacl dissolves in water, the ions separate and go their own way in solution; The ions are now written with their respective charges, and the (aq) phase label. Since hcl is a strong acid, k a is immeasurably large and k b ≈ 0 (chloride. Copper Chloride Dissociation Equation.
From www.youtube.com
Synthesis of Copper Chloride YouTube Copper Chloride Dissociation Equation Jaroslav already gave you a good hint: Dissociation is the separation of ions that occurs when a solid ionic compound dissolves. It is important to be. Since hcl is a strong acid, k a is immeasurably large and k b ≈ 0 (chloride ions don’t undergo appreciable hydrolysis). When nacl dissolves in water, the ions separate and go their own. Copper Chloride Dissociation Equation.
From www.scribd.com
Electrolysis of concentrated aqueous copper chloride1 PDF Copper Chloride Dissociation Equation Since hcl is a strong acid, k a is immeasurably large and k b ≈ 0 (chloride ions don’t undergo appreciable hydrolysis). Assume full dissociation, which leads to the following equation: An ionic crystal lattice breaks apart when it is dissolved in water. The ions are now written with their respective charges, and the (aq) phase label. When nacl dissolves. Copper Chloride Dissociation Equation.
From www.chegg.com
Solved Empirical Formula of Copper Chloride Results Date Copper Chloride Dissociation Equation Since hcl is a strong acid, k a is immeasurably large and k b ≈ 0 (chloride ions don’t undergo appreciable hydrolysis). When nacl dissolves in water, the ions separate and go their own way in solution; It is important to be. The ions are now written with their respective charges, and the (aq) phase label. Assume full dissociation, which. Copper Chloride Dissociation Equation.
From mrehingerschemistry.ehinger.nu
8.4. Electrolysis Mr. Ehinger's Chemistry Copper Chloride Dissociation Equation An ionic crystal lattice breaks apart when it is dissolved in water. Dissociation is the separation of ions that occurs when a solid ionic compound dissolves. Jaroslav already gave you a good hint: When nacl dissolves in water, the ions separate and go their own way in solution; It is important to be. Since hcl is a strong acid, k. Copper Chloride Dissociation Equation.
From www.numerade.com
SOLVED Write dissociation reactions of the following ionic compounds Copper Chloride Dissociation Equation It is important to be. The ions are now written with their respective charges, and the (aq) phase label. When nacl dissolves in water, the ions separate and go their own way in solution; Jaroslav already gave you a good hint: Since hcl is a strong acid, k a is immeasurably large and k b ≈ 0 (chloride ions don’t. Copper Chloride Dissociation Equation.
From www.numerade.com
⏩SOLVEDCopper(Il) chloride and lead(II) nitrate react in aqueous Copper Chloride Dissociation Equation Jaroslav already gave you a good hint: Dissociation is the separation of ions that occurs when a solid ionic compound dissolves. The ions are now written with their respective charges, and the (aq) phase label. Since hcl is a strong acid, k a is immeasurably large and k b ≈ 0 (chloride ions don’t undergo appreciable hydrolysis). When nacl dissolves. Copper Chloride Dissociation Equation.
From www.doubtnut.com
How the following conversions are made? (a). Copper chloride from co Copper Chloride Dissociation Equation Assume full dissociation, which leads to the following equation: Dissociation is the separation of ions that occurs when a solid ionic compound dissolves. The ions are now written with their respective charges, and the (aq) phase label. When nacl dissolves in water, the ions separate and go their own way in solution; An ionic crystal lattice breaks apart when it. Copper Chloride Dissociation Equation.
From www.youtube.com
The electrolysis of copper (II) chloride. YouTube Copper Chloride Dissociation Equation Jaroslav already gave you a good hint: The ions are now written with their respective charges, and the (aq) phase label. Since hcl is a strong acid, k a is immeasurably large and k b ≈ 0 (chloride ions don’t undergo appreciable hydrolysis). An ionic crystal lattice breaks apart when it is dissolved in water. When nacl dissolves in water,. Copper Chloride Dissociation Equation.
From www.youtube.com
Metal complexes 12. Reversible ligand substitution with CuCl2 YouTube Copper Chloride Dissociation Equation Jaroslav already gave you a good hint: An ionic crystal lattice breaks apart when it is dissolved in water. Since hcl is a strong acid, k a is immeasurably large and k b ≈ 0 (chloride ions don’t undergo appreciable hydrolysis). Assume full dissociation, which leads to the following equation: When nacl dissolves in water, the ions separate and go. Copper Chloride Dissociation Equation.
From www.youtube.com
Empirical Formula Lab Chemical Formula of Copper Chloride Hydrate Copper Chloride Dissociation Equation When nacl dissolves in water, the ions separate and go their own way in solution; The ions are now written with their respective charges, and the (aq) phase label. An ionic crystal lattice breaks apart when it is dissolved in water. It is important to be. Since hcl is a strong acid, k a is immeasurably large and k b. Copper Chloride Dissociation Equation.
From www.chegg.com
Solved When Copper (II) Chloride Reacts With Sodium Nitra... Copper Chloride Dissociation Equation Jaroslav already gave you a good hint: It is important to be. An ionic crystal lattice breaks apart when it is dissolved in water. Dissociation is the separation of ions that occurs when a solid ionic compound dissolves. The ions are now written with their respective charges, and the (aq) phase label. Assume full dissociation, which leads to the following. Copper Chloride Dissociation Equation.
From www.pw.live
Copper II Chloride Formula, Structure, Properties, Uses Copper Chloride Dissociation Equation An ionic crystal lattice breaks apart when it is dissolved in water. It is important to be. Assume full dissociation, which leads to the following equation: Dissociation is the separation of ions that occurs when a solid ionic compound dissolves. Since hcl is a strong acid, k a is immeasurably large and k b ≈ 0 (chloride ions don’t undergo. Copper Chloride Dissociation Equation.
From www.numerade.com
SOLVED (b) Complete and balance the chemical reactions i) Fe + O2 â Copper Chloride Dissociation Equation Dissociation is the separation of ions that occurs when a solid ionic compound dissolves. The ions are now written with their respective charges, and the (aq) phase label. It is important to be. When nacl dissolves in water, the ions separate and go their own way in solution; Jaroslav already gave you a good hint: Since hcl is a strong. Copper Chloride Dissociation Equation.
From www.slideshare.net
IGCSE Electricity Copper Chloride Dissociation Equation Dissociation is the separation of ions that occurs when a solid ionic compound dissolves. Assume full dissociation, which leads to the following equation: Since hcl is a strong acid, k a is immeasurably large and k b ≈ 0 (chloride ions don’t undergo appreciable hydrolysis). When nacl dissolves in water, the ions separate and go their own way in solution;. Copper Chloride Dissociation Equation.
From www.youtube.com
Write the balanced chemical equation of the following word equation Copper Chloride Dissociation Equation Since hcl is a strong acid, k a is immeasurably large and k b ≈ 0 (chloride ions don’t undergo appreciable hydrolysis). Dissociation is the separation of ions that occurs when a solid ionic compound dissolves. An ionic crystal lattice breaks apart when it is dissolved in water. It is important to be. Assume full dissociation, which leads to the. Copper Chloride Dissociation Equation.
From studylib.net
The Empirical Formula of a Copper Chloride Copper Chloride Dissociation Equation The ions are now written with their respective charges, and the (aq) phase label. Assume full dissociation, which leads to the following equation: It is important to be. Since hcl is a strong acid, k a is immeasurably large and k b ≈ 0 (chloride ions don’t undergo appreciable hydrolysis). Jaroslav already gave you a good hint: An ionic crystal. Copper Chloride Dissociation Equation.
From brainly.in
Write the chemical formula of copper 2 chloride using criss cross Copper Chloride Dissociation Equation When nacl dissolves in water, the ions separate and go their own way in solution; Assume full dissociation, which leads to the following equation: Jaroslav already gave you a good hint: The ions are now written with their respective charges, and the (aq) phase label. Dissociation is the separation of ions that occurs when a solid ionic compound dissolves. Since. Copper Chloride Dissociation Equation.
From express.adobe.com
Zinc and Copper Chloride Reaction Copper Chloride Dissociation Equation The ions are now written with their respective charges, and the (aq) phase label. When nacl dissolves in water, the ions separate and go their own way in solution; Assume full dissociation, which leads to the following equation: Since hcl is a strong acid, k a is immeasurably large and k b ≈ 0 (chloride ions don’t undergo appreciable hydrolysis).. Copper Chloride Dissociation Equation.
From www.numerade.com
SOLVED 1. When copper(II) chloride reacts with sodium nitrate, copper Copper Chloride Dissociation Equation An ionic crystal lattice breaks apart when it is dissolved in water. Jaroslav already gave you a good hint: It is important to be. Assume full dissociation, which leads to the following equation: The ions are now written with their respective charges, and the (aq) phase label. Since hcl is a strong acid, k a is immeasurably large and k. Copper Chloride Dissociation Equation.
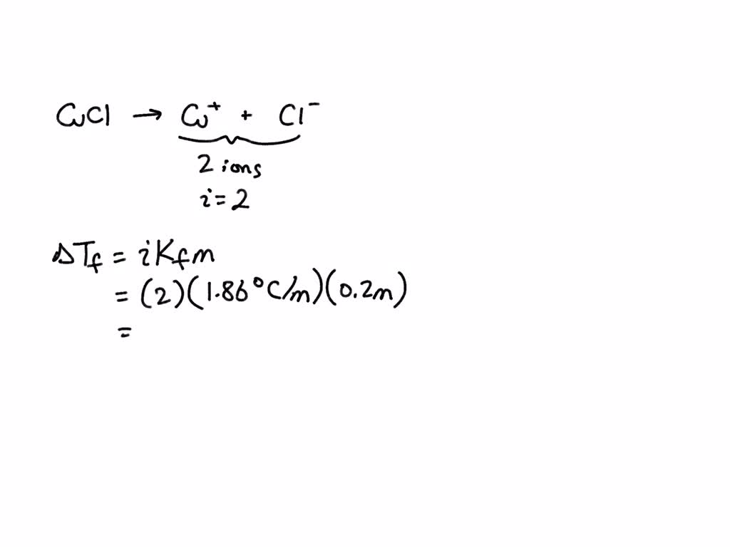
From www.numerade.com
SOLVED Calculate the freezing point = of a 0.2 m copper (I) chloride Copper Chloride Dissociation Equation Jaroslav already gave you a good hint: Since hcl is a strong acid, k a is immeasurably large and k b ≈ 0 (chloride ions don’t undergo appreciable hydrolysis). An ionic crystal lattice breaks apart when it is dissolved in water. It is important to be. When nacl dissolves in water, the ions separate and go their own way in. Copper Chloride Dissociation Equation.
From spmscience.blog.onlinetuition.com.my
Electrolysis of Copper (II) Chloride Solution SPM Science Copper Chloride Dissociation Equation When nacl dissolves in water, the ions separate and go their own way in solution; Assume full dissociation, which leads to the following equation: The ions are now written with their respective charges, and the (aq) phase label. Since hcl is a strong acid, k a is immeasurably large and k b ≈ 0 (chloride ions don’t undergo appreciable hydrolysis).. Copper Chloride Dissociation Equation.
From www.youtube.com
Type of Reaction for Cu + HCl (Copper + Hydrochloric acid) YouTube Copper Chloride Dissociation Equation It is important to be. Jaroslav already gave you a good hint: Assume full dissociation, which leads to the following equation: The ions are now written with their respective charges, and the (aq) phase label. An ionic crystal lattice breaks apart when it is dissolved in water. Dissociation is the separation of ions that occurs when a solid ionic compound. Copper Chloride Dissociation Equation.
From www.youtube.com
How to Balance C5H9O + O2 = CO2 + H2O YouTube Copper Chloride Dissociation Equation Jaroslav already gave you a good hint: Since hcl is a strong acid, k a is immeasurably large and k b ≈ 0 (chloride ions don’t undergo appreciable hydrolysis). Dissociation is the separation of ions that occurs when a solid ionic compound dissolves. Assume full dissociation, which leads to the following equation: When nacl dissolves in water, the ions separate. Copper Chloride Dissociation Equation.