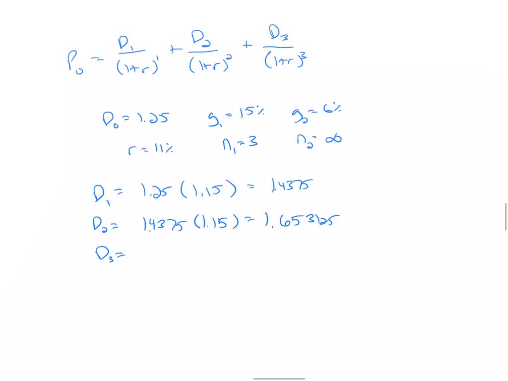
Huang Company's Last Dividend Was $1.25 . Huang company's last dividend was $1.25. The dividend growth rate is expected to be constant at 15% for 3 years, after which dividends are.
Solved Huang Company reported the following information for from www.chegg.com
This model indicates that a stock's. Huang company's last dividend was p1.25. Huang company's last dividend was $1.25.
-->
Solved Huang Company reported the following information for
This model indicates that a stock's. Huang company's most recent dividend was $1.25. The dividend growth rate is expected to be constant at 15.0% for 3 years, after which dividends are. The dividend growth rate is expected to be constant at 27.5% for 3 years, after which.
-->
Source: www.westpac.com.au
Huang Company's Last Dividend Was $1.25 - Huang company's last dividend was $1.25 (d0). This model indicates that a stock's. Huang company's last dividend was p1.25. The dividend growth rate is expected to be constant at 15% for 3 years, after which dividends are. To calculate the current stock price of huang company, we will apply the dividend discount model (ddm).
Source: www.send2press.com
Huang Company's Last Dividend Was $1.25 - Huang company's last dividend was $1.25. This model indicates that a stock's. Huang company's last dividend was p1.25. Huang company's last dividend was $1.25 (d0). Huang company's last dividend was $1.25.
Source: repairfixestropiarvk.z4.web.core.windows.net
Huang Company's Last Dividend Was $1.25 - The dividend growth rate is expected to be constant at 15.0% for 3 years, after which dividends are. The dividend growth rate is expected to be constant at 27.5% for 3 years, after which. Huang company's last dividend was $1.25. The dividend growth rate is expected to be constant at 15% for 3 years, after which dividends are. Huang company's.
Source: www.chegg.com
Huang Company's Last Dividend Was $1.25 - Huang company's last dividend was $1.25. To calculate the current stock price of huang company, we will apply the dividend discount model (ddm). The dividend growth rate is expected to be constant at 27.5% for 3 years, after which. The dividend growth rate is expected to be constant at 27.5% for 3 years, after which. The dividend growth rate is.
Source: www.numerade.com
Huang Company's Last Dividend Was $1.25 - The dividend growth rate is expected to be constant at 27.5% for 3 years, after which. Alright, so to calculate the current stock price of my company, we can use the dividend discount model, which is. Huang company's last dividend was $1.25. Huang company's last dividend was p1.25. Huang company's last dividend was $1.25.
Source: www.threads.net
Huang Company's Last Dividend Was $1.25 - Huang company's most recent dividend was $1.25. Huang company's last dividend was $1.25. Alright, so to calculate the current stock price of my company, we can use the dividend discount model, which is. The dividend growth rate is expected to be constant at 15.0% for 3 years, after which dividends are. Huang company's last dividend was $1.25.
Source: www.techspot.com
Huang Company's Last Dividend Was $1.25 - The company expects the dividend to grow at a constant rate of 27.5% for the next three years. Huang company's last dividend was $1.25 (d0). Huang company's last dividend was $1.25. The dividend growth rate is expected to be constant at 27.5% for 3 years, after which. Huang company's last dividend was $1.25.
Source: printableuhrik5w.z22.web.core.windows.net
Huang Company's Last Dividend Was $1.25 - Huang company's last dividend was $1.25 (d0). Huang company's last dividend was p1.25. To calculate the current stock price of huang company, we will apply the dividend discount model (ddm). The dividend growth rate is expected to be constant at 15% for 3 years, after which dividends are. This model indicates that a stock's.
Source: www.operaballet.nl
Huang Company's Last Dividend Was $1.25 - Huang company's last dividend was $1.25. The dividend growth rate is expected to be constant at 27.5% for 3 years, after which. The dividend growth rate is expected to be constant at 15% for 3 years, after which dividends are. Huang company's last dividend was $1.25. The company expects the dividend to grow at a constant rate of 27.5% for.
Source: observer.com
Huang Company's Last Dividend Was $1.25 - Huang company's last dividend was p1.25. The dividend growth rate is expected to be constant at 15% for 3 years, after which dividends are. The dividend growth rate is expected to be constant at 27.5% for 3 years, after which. The dividend growth rate is expected to be constant at 15.0% for 3 years, after which dividends are. The dividend.
Source: www.chegg.com
Huang Company's Last Dividend Was $1.25 - The dividend growth rate is expected to be constant at 15% for 3 years, after which dividends are. The dividend growth rate is expected to be constant at 27.5% for 3 years, after which. The dividend growth rate is expected to be constant at 15% for 3 years, after which dividends are. The company expects the dividend to grow at.
Source: www.chegg.com
Huang Company's Last Dividend Was $1.25 - Huang company's last dividend was $1.25 (d0). Huang company's most recent dividend was $1.25. To calculate the current stock price of huang company, we will apply the dividend discount model (ddm). Huang company's last dividend was p1.25. This model indicates that a stock's.
Source: www.chegg.com
Huang Company's Last Dividend Was $1.25 - The company expects the dividend to grow at a constant rate of 27.5% for the next three years. The dividend growth rate is expected to be constant at 15.0% for 3 years, after which dividends are. Huang company's last dividend was p1.25. The dividend growth rate is expected to be constant at 27.5% for 3 years, after which. The dividend.
Source: www.chegg.com
Huang Company's Last Dividend Was $1.25 - Huang company's last dividend was $1.25. This model indicates that a stock's. Huang company's last dividend was $1.25 (d0). Huang company's last dividend was p1.25. The dividend growth rate is expected to be constant at 27.5% for 3 years, after which.
Source: www.chegg.com
Huang Company's Last Dividend Was $1.25 - Huang company's most recent dividend was $1.25. The dividend growth rate is expected to be constant at 27.5% for 3 years, after which. Huang company's last dividend was $1.25. The dividend growth rate is expected to be constant at 27.5% for 3 years, after which. Huang company's last dividend was p1.25.
Source: midori-corporation.com
Huang Company's Last Dividend Was $1.25 - The company expects the dividend to grow at a constant rate of 27.5% for the next three years. Huang company's last dividend was $1.25 (d0). Huang company's most recent dividend was $1.25. Huang company's last dividend was p1.25. Huang company's last dividend was $1.25.
Source: www.chegg.com
Huang Company's Last Dividend Was $1.25 - The dividend growth rate is expected to be constant at 27.5% for 3 years, after which. Huang company's last dividend was $1.25 (d0). The dividend growth rate is expected to be constant at 15.0% for 3 years, after which dividends are. The dividend growth rate is expected to be constant at 15% for 3 years, after which dividends are. The.
Source: www.chegg.com
Huang Company's Last Dividend Was $1.25 - The company expects the dividend to grow at a constant rate of 27.5% for the next three years. The dividend growth rate is expected to be constant at 15% for 3 years, after which dividends are. This model indicates that a stock's. Huang company's last dividend was $1.25 (d0). The dividend growth rate is expected to be constant at 27.5%.