The National Average Sat Score Is 1028 . The latest national average (september 2024) on the sat® test is 1024, with a top score of 1600. Access information about the sat test format, scoring, and score reports.
SOLVED SAT Scores The national average SAT score (for verbal and math from www.numerade.com
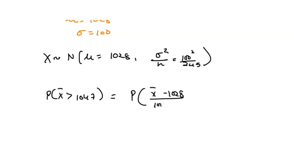
Sat scores the national average sat score (for verbal and math) is 1028. 53 rows what is the average sat® test score, both nationally and by state, and how does yours compare? Access information about the sat test format, scoring, and score reports.
-->
SOLVED SAT Scores The national average SAT score (for verbal and math
53 rows what is the average sat® test score, both nationally and by state, and how does yours compare? The average sat score of 2023 high school seniors taking the sat was 1028 out of 1600. The latest national average (september 2024) on the sat® test is 1024, with a top score of 1600. Access information about the sat test format, scoring, and score reports.
-->
Source: www.numerade.com
The National Average Sat Score Is 1028 - The latest national average (september 2024) on the sat® test is 1024, with a top score of 1600. The national average sat score is 1028. This data can help you understand where your score ranks. 20 rows find national and state average sat scores. 1 possible scores on each sat section range from 200 to.
Source: www.numerade.com
The National Average Sat Score Is 1028 - 20 rows find national and state average sat scores. 53 rows what is the average sat® test score, both nationally and by state, and how does yours compare? If we assume it follows a normal distribution with a standard deviation of 92, what is the probability. Access information about the sat test format, scoring, and score reports. The national average.
Source: prepexpert.com
The National Average Sat Score Is 1028 - The national average sat score is 1028. This data can help you understand where your score ranks. The latest national average (september 2024) on the sat® test is 1024, with a top score of 1600. Suppose that nothing is known about the shape of the distribution and that. Sat scores the national average sat score (for verbal and math) is.
Source: www.chegg.com
The National Average Sat Score Is 1028 - 53 rows what is the average sat® test score, both nationally and by state, and how does yours compare? The latest national average (september 2024) on the sat® test is 1024, with a top score of 1600. 20 rows find national and state average sat scores. This data can help you understand where your score ranks. Sat scores the national.
Source: www.numerade.com
The National Average Sat Score Is 1028 - Sat scores the national average sat score (for verbal and math) is 1028. 53 rows what is the average sat® test score, both nationally and by state, and how does yours compare? Access information about the sat test format, scoring, and score reports. The average sat score of 2023 high school seniors taking the sat was 1028 out of 1600..
Source: www.chegg.com
The National Average Sat Score Is 1028 - 20 rows find national and state average sat scores. By section, the national averages are: The national average sat score is 1028. The latest national average (september 2024) on the sat® test is 1024, with a top score of 1600. 53 rows what is the average sat® test score, both nationally and by state, and how does yours compare?
Source: www.numerade.com
The National Average Sat Score Is 1028 - If we assume it follows a normal distribution with a standard deviation of 92, what is the probability. Sat scores the national average sat score (for verbal and math) is 1028. By section, the national averages are: The average sat score of 2023 high school seniors taking the sat was 1028 out of 1600. The latest national average (september 2024).
Source: www.chegg.com
The National Average Sat Score Is 1028 - 1 possible scores on each sat section range from 200 to. 20 rows find national and state average sat scores. Sat scores the national average sat score (for verbal and math) is 1028. This data can help you understand where your score ranks. If we assume it follows a normal distribution with a standard deviation of 92, what is the.
Source: www.numerade.com
The National Average Sat Score Is 1028 - 53 rows what is the average sat® test score, both nationally and by state, and how does yours compare? Suppose that nothing is known about the shape of the distribution and that. Access information about the sat test format, scoring, and score reports. 20 rows find national and state average sat scores. The latest national average (september 2024) on the.
Source: www.thoughtco.com
The National Average Sat Score Is 1028 - 1 possible scores on each sat section range from 200 to. The latest national average (september 2024) on the sat® test is 1024, with a top score of 1600. By section, the national averages are: Suppose that nothing is known about the shape of the distribution and that. 53 rows what is the average sat® test score, both nationally and.
Source: www.chegg.com
The National Average Sat Score Is 1028 - 53 rows what is the average sat® test score, both nationally and by state, and how does yours compare? The latest national average (september 2024) on the sat® test is 1024, with a top score of 1600. Access information about the sat test format, scoring, and score reports. Sat scores the national average sat score (for verbal and math) is.
Source: www.chegg.com
The National Average Sat Score Is 1028 - If we assume it follows a normal distribution with a standard deviation of 92, what is the probability. 53 rows what is the average sat® test score, both nationally and by state, and how does yours compare? 1 possible scores on each sat section range from 200 to. This data can help you understand where your score ranks. Sat scores.
Source: www.numerade.com
The National Average Sat Score Is 1028 - 1 possible scores on each sat section range from 200 to. By section, the national averages are: The latest national average (september 2024) on the sat® test is 1024, with a top score of 1600. The average sat score of 2023 high school seniors taking the sat was 1028 out of 1600. 53 rows what is the average sat® test.
Source: www.chegg.com
The National Average Sat Score Is 1028 - The national average sat score is 1028. 53 rows what is the average sat® test score, both nationally and by state, and how does yours compare? The average sat score of 2023 high school seniors taking the sat was 1028 out of 1600. Suppose that nothing is known about the shape of the distribution and that. 1 possible scores on.
Source: studyx.ai
The National Average Sat Score Is 1028 - This data can help you understand where your score ranks. The national average sat score is 1028. By section, the national averages are: Suppose that nothing is known about the shape of the distribution and that. The average sat score of 2023 high school seniors taking the sat was 1028 out of 1600.
Source: www.gauthmath.com
The National Average Sat Score Is 1028 - This data can help you understand where your score ranks. The national average sat score is 1028. 53 rows what is the average sat® test score, both nationally and by state, and how does yours compare? By section, the national averages are: The average sat score of 2023 high school seniors taking the sat was 1028 out of 1600.
Source: www.numerade.com
The National Average Sat Score Is 1028 - 20 rows find national and state average sat scores. If we assume it follows a normal distribution with a standard deviation of 92, what is the probability. The national average sat score is 1028. Suppose that nothing is known about the shape of the distribution and that. The average sat score of 2023 high school seniors taking the sat was.
Source: www.numerade.com
The National Average Sat Score Is 1028 - The national average sat score is 1028. Access information about the sat test format, scoring, and score reports. 53 rows what is the average sat® test score, both nationally and by state, and how does yours compare? 1 possible scores on each sat section range from 200 to. 20 rows find national and state average sat scores.