50X 6% Equals . 6% off $50 is equal to $3. See detailed information with steps.
Privacy Screen Fence Heavy Duty 200 GSM Fencing Mesh Net Cover W/Cable from www.ebay.com
Now we can solve our fraction by writing it as an equation: The math calculator will evaluate your problem down to a final solution. So our fraction will look like:
-->
Privacy Screen Fence Heavy Duty 200 GSM Fencing Mesh Net Cover W/Cable
For example, if 25 out of 50 students in a classroom are male,. What is 6 percent of 50? Enter the expression you want to evaluate. We have 50 = 100% and x = 6%.
-->
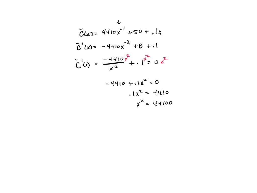
Source: www.gauthmath.com
50X 6% Equals - See detailed information with steps. Percentages are computed by multiplying the value of a ratio by 100. Another way to solve our problem is to find the value of 1% of the number and then multiply it by the number of percent (6). Get stepwise instructions to work out 6% of 50. In order to calculate 6% of 50 let's.
Source: quizdislodging.z4.web.core.windows.net
50X 6% Equals - Another way to solve our problem is to find the value of 1% of the number and then multiply it by the number of percent (6). What is 6 percent of 50? 6 percent of 50 is 3. In order to calculate 6% of 50 let's write it as fractional equation. We have 50 = 100% and x = 6%.
Source: www.reddit.com
50X 6% Equals - What is 6 percent of 50? 6 percent of 50 is 3. In order to calculate 6% of 50 let's write it as fractional equation. The math calculator will evaluate your problem down to a final solution. 6% off $50 is equal to $3.
Source: creazilla.com
50X 6% Equals - The math calculator will evaluate your problem down to a final solution. We have 50 = 100% and x = 6%. For example, if 25 out of 50 students in a classroom are male,. 6% off $50 is equal to $3. 6 percent of 50 is 3.
Source: www.numerade.com
50X 6% Equals - See detailed information with steps. 6% off $50 is equal to $3. Percentages are computed by multiplying the value of a ratio by 100. What is 6 percent of 50? In order to calculate 6% of 50 let's write it as fractional equation.
Source: www.youtube.com
50X 6% Equals - You can also add, subtraction, multiply,. Now we can solve our fraction by writing it as an equation: So our fraction will look like: Enter the expression you want to evaluate. 6 percent of 50 is 3.
Source: dawnchem.en.made-in-china.com
50X 6% Equals - 6 percent of 50 can be written as 6 percent *50 = (6/100)*50 = (6*50)/100 = 300/100 = 3 So our fraction will look like: Another way to solve our problem is to find the value of 1% of the number and then multiply it by the number of percent (6). We have 50 = 100% and x = 6%..
Source: www.gauthmath.com
50X 6% Equals - See detailed information with steps. The math calculator will evaluate your problem down to a final solution. Now we can solve our fraction by writing it as an equation: In offers and discount, 6 off 50 generally represents 6 percent off in $50. Get stepwise instructions to work out 6% of 50.
Source: www.zerohedge.com
50X 6% Equals - See detailed information with steps. Get stepwise instructions to work out 6% of 50. You can also add, subtraction, multiply,. In order to calculate 6% of 50 let's write it as fractional equation. Percentages are computed by multiplying the value of a ratio by 100.
Source: www.iconarchive.com
50X 6% Equals - In offers and discount, 6 off 50 generally represents 6 percent off in $50. 6 percent of 50 can be written as 6 percent *50 = (6/100)*50 = (6*50)/100 = 300/100 = 3 6 percent of 50 is 3. For example, if 25 out of 50 students in a classroom are male,. What is 6 percent of 50?
Source: creazilla.com
50X 6% Equals - For example, if 25 out of 50 students in a classroom are male,. Get stepwise instructions to work out 6% of 50. Enter the expression you want to evaluate. Percentages are computed by multiplying the value of a ratio by 100. See detailed information with steps.
Source: www.numerade.com
50X 6% Equals - It means the discount price is $3, so $3 has to be. 6 percent of 50 can be written as 6 percent *50 = (6/100)*50 = (6*50)/100 = 300/100 = 3 So our fraction will look like: Another way to solve our problem is to find the value of 1% of the number and then multiply it by the number.
Source: www.ebay.com
50X 6% Equals - 6 percent of 50 is 3. 6% off $50 is equal to $3. Percentages are computed by multiplying the value of a ratio by 100. The math calculator will evaluate your problem down to a final solution. Now we can solve our fraction by writing it as an equation:
Source: www.iconarchive.com
50X 6% Equals - You can also add, subtraction, multiply,. See detailed information with steps. We have 50 = 100% and x = 6%. What is 6 percent of 50? The math calculator will evaluate your problem down to a final solution.
Source: www.toppr.com
50X 6% Equals - See detailed information with steps. For example, if 25 out of 50 students in a classroom are male,. We have 50 = 100% and x = 6%. Enter the expression you want to evaluate. 6 percent of 50 is 3.
Source: www.gauthmath.com
50X 6% Equals - For example, if 25 out of 50 students in a classroom are male,. In offers and discount, 6 off 50 generally represents 6 percent off in $50. Enter the expression you want to evaluate. So our fraction will look like: In order to calculate 6% of 50 let's write it as fractional equation.
Source: www.belezaruiva.com.br
50X 6% Equals - So our fraction will look like: Get stepwise instructions to work out 6% of 50. You can also add, subtraction, multiply,. In offers and discount, 6 off 50 generally represents 6 percent off in $50. 6 percent of 50 can be written as 6 percent *50 = (6/100)*50 = (6*50)/100 = 300/100 = 3
Source: www.gauthmath.com
50X 6% Equals - For example, if 25 out of 50 students in a classroom are male,. In order to calculate 6% of 50 let's write it as fractional equation. 6 percent of 50 can be written as 6 percent *50 = (6/100)*50 = (6*50)/100 = 300/100 = 3 Now we can solve our fraction by writing it as an equation: Enter the expression.