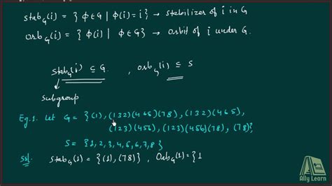
Emily Andrews Blog