A Laser Emits A Narrow Beam Of Light . a laser emits a narrow beam of light. P = s a (1) p = sa\tag{1} p = s a (1) where. the intensity of the laser beam is approximately 261,863.85 watts per square meter. lasers produce a narrow beam of light in which all of the light waves have very similar wavelengths. the radius of the given beam is r = 1.0 × 10 − 3 m. a laser normally produces a very narrow beam of light in a single wavelength, in this case, green. Convert the power to watts. The power of the beam is p = 1.2 × 10 − 3 w To find the intensity of the. The power given is in milliwatts, we need to convert it to watts for our. the average power of the laser beam of light can be calculated using the equation below: Modern physics describes light and other forms of electromagnetic. the intensity (i) of a laser beam can be calculated using the formula that relates power (p) to the area (a) of the.
from www.nsmedicaldevices.com
lasers produce a narrow beam of light in which all of the light waves have very similar wavelengths. The power of the beam is p = 1.2 × 10 − 3 w To find the intensity of the. the radius of the given beam is r = 1.0 × 10 − 3 m. the intensity of the laser beam is approximately 261,863.85 watts per square meter. a laser normally produces a very narrow beam of light in a single wavelength, in this case, green. The power given is in milliwatts, we need to convert it to watts for our. a laser emits a narrow beam of light. Modern physics describes light and other forms of electromagnetic. the intensity (i) of a laser beam can be calculated using the formula that relates power (p) to the area (a) of the.
How the medical industry is benefitting from ultrafast femtosecond lasers
A Laser Emits A Narrow Beam Of Light The power given is in milliwatts, we need to convert it to watts for our. The power of the beam is p = 1.2 × 10 − 3 w the average power of the laser beam of light can be calculated using the equation below: a laser normally produces a very narrow beam of light in a single wavelength, in this case, green. Convert the power to watts. the intensity (i) of a laser beam can be calculated using the formula that relates power (p) to the area (a) of the. the intensity of the laser beam is approximately 261,863.85 watts per square meter. P = s a (1) p = sa\tag{1} p = s a (1) where. lasers produce a narrow beam of light in which all of the light waves have very similar wavelengths. To find the intensity of the. Modern physics describes light and other forms of electromagnetic. the radius of the given beam is r = 1.0 × 10 − 3 m. The power given is in milliwatts, we need to convert it to watts for our. a laser emits a narrow beam of light.
From www.chegg.com
Solved A laser emits a cylindrical beam of light 2.6 mm in A Laser Emits A Narrow Beam Of Light the average power of the laser beam of light can be calculated using the equation below: Convert the power to watts. P = s a (1) p = sa\tag{1} p = s a (1) where. a laser normally produces a very narrow beam of light in a single wavelength, in this case, green. the intensity (i) of. A Laser Emits A Narrow Beam Of Light.
From www.chegg.com
Solved A laser emits a narrow beam of light. The radius of A Laser Emits A Narrow Beam Of Light the intensity (i) of a laser beam can be calculated using the formula that relates power (p) to the area (a) of the. a laser normally produces a very narrow beam of light in a single wavelength, in this case, green. lasers produce a narrow beam of light in which all of the light waves have very. A Laser Emits A Narrow Beam Of Light.
From www.chegg.com
Solved Laser Safety A 0.95 mW laser emits a narrow beam of A Laser Emits A Narrow Beam Of Light the intensity of the laser beam is approximately 261,863.85 watts per square meter. the intensity (i) of a laser beam can be calculated using the formula that relates power (p) to the area (a) of the. the average power of the laser beam of light can be calculated using the equation below: Convert the power to watts.. A Laser Emits A Narrow Beam Of Light.
From brainly.in
A 0.1 watt LASER beam with an aperture of 5.0 mm emits a light of A Laser Emits A Narrow Beam Of Light Convert the power to watts. The power of the beam is p = 1.2 × 10 − 3 w P = s a (1) p = sa\tag{1} p = s a (1) where. Modern physics describes light and other forms of electromagnetic. the intensity (i) of a laser beam can be calculated using the formula that relates power (p). A Laser Emits A Narrow Beam Of Light.
From www.chegg.com
Solved Laser Safety A 0.95 mW laser emits a narrow beam of A Laser Emits A Narrow Beam Of Light the intensity of the laser beam is approximately 261,863.85 watts per square meter. The power given is in milliwatts, we need to convert it to watts for our. lasers produce a narrow beam of light in which all of the light waves have very similar wavelengths. To find the intensity of the. Convert the power to watts. The. A Laser Emits A Narrow Beam Of Light.
From www.americanlaserstudyclub.org
Laser Physics Basics American Laser Study Club A Laser Emits A Narrow Beam Of Light the intensity of the laser beam is approximately 261,863.85 watts per square meter. To find the intensity of the. P = s a (1) p = sa\tag{1} p = s a (1) where. lasers produce a narrow beam of light in which all of the light waves have very similar wavelengths. The power given is in milliwatts, we. A Laser Emits A Narrow Beam Of Light.
From www.numerade.com
SOLVED A 0.75 mW laser emits a narrow beam of light that enters the A Laser Emits A Narrow Beam Of Light The power given is in milliwatts, we need to convert it to watts for our. the radius of the given beam is r = 1.0 × 10 − 3 m. Modern physics describes light and other forms of electromagnetic. lasers produce a narrow beam of light in which all of the light waves have very similar wavelengths. Convert. A Laser Emits A Narrow Beam Of Light.
From www.numerade.com
SOLVED A laser emits a narrow beam of light. The radius of the beam is A Laser Emits A Narrow Beam Of Light the intensity of the laser beam is approximately 261,863.85 watts per square meter. Convert the power to watts. The power given is in milliwatts, we need to convert it to watts for our. a laser emits a narrow beam of light. a laser normally produces a very narrow beam of light in a single wavelength, in this. A Laser Emits A Narrow Beam Of Light.
From www.chegg.com
Solved () A laser emits a narrow beam of light. The diameter A Laser Emits A Narrow Beam Of Light a laser normally produces a very narrow beam of light in a single wavelength, in this case, green. the intensity of the laser beam is approximately 261,863.85 watts per square meter. Modern physics describes light and other forms of electromagnetic. a laser emits a narrow beam of light. Convert the power to watts. P = s a. A Laser Emits A Narrow Beam Of Light.
From www.britannica.com
What makes a laser beam emits light Britannica A Laser Emits A Narrow Beam Of Light the intensity of the laser beam is approximately 261,863.85 watts per square meter. Convert the power to watts. the radius of the given beam is r = 1.0 × 10 − 3 m. the average power of the laser beam of light can be calculated using the equation below: The power of the beam is p =. A Laser Emits A Narrow Beam Of Light.
From www.chegg.com
Solved Laser Safety A 0.65 mW laser emits a narrow beam of A Laser Emits A Narrow Beam Of Light P = s a (1) p = sa\tag{1} p = s a (1) where. the radius of the given beam is r = 1.0 × 10 − 3 m. lasers produce a narrow beam of light in which all of the light waves have very similar wavelengths. the intensity (i) of a laser beam can be calculated. A Laser Emits A Narrow Beam Of Light.
From www.electronicsweekly.com
3.3THz laser emits 2W in single narrow beam A Laser Emits A Narrow Beam Of Light a laser normally produces a very narrow beam of light in a single wavelength, in this case, green. To find the intensity of the. a laser emits a narrow beam of light. the radius of the given beam is r = 1.0 × 10 − 3 m. the intensity of the laser beam is approximately 261,863.85. A Laser Emits A Narrow Beam Of Light.
From www.chegg.com
Solved Laser Safety A 0.75 mW laser emits a narrow beam of A Laser Emits A Narrow Beam Of Light a laser emits a narrow beam of light. lasers produce a narrow beam of light in which all of the light waves have very similar wavelengths. The power of the beam is p = 1.2 × 10 − 3 w the intensity (i) of a laser beam can be calculated using the formula that relates power (p). A Laser Emits A Narrow Beam Of Light.
From slideplayer.com
Phy2005 Applied Physics II Spring 2017 Announcements ppt download A Laser Emits A Narrow Beam Of Light lasers produce a narrow beam of light in which all of the light waves have very similar wavelengths. P = s a (1) p = sa\tag{1} p = s a (1) where. To find the intensity of the. the intensity (i) of a laser beam can be calculated using the formula that relates power (p) to the area. A Laser Emits A Narrow Beam Of Light.
From www.chegg.com
Solved Laser Safety A 0.75 mW laser emits a narrow beam of A Laser Emits A Narrow Beam Of Light To find the intensity of the. lasers produce a narrow beam of light in which all of the light waves have very similar wavelengths. the radius of the given beam is r = 1.0 × 10 − 3 m. the intensity (i) of a laser beam can be calculated using the formula that relates power (p) to. A Laser Emits A Narrow Beam Of Light.
From www.numerade.com
SOLVED A 0.75mW laser emits a narrow beam of light that enters the A Laser Emits A Narrow Beam Of Light lasers produce a narrow beam of light in which all of the light waves have very similar wavelengths. the average power of the laser beam of light can be calculated using the equation below: a laser emits a narrow beam of light. a laser normally produces a very narrow beam of light in a single wavelength,. A Laser Emits A Narrow Beam Of Light.
From www.youtube.com
A green laser pointer emits light with a wavelength of 550 nm. What is A Laser Emits A Narrow Beam Of Light the intensity of the laser beam is approximately 261,863.85 watts per square meter. P = s a (1) p = sa\tag{1} p = s a (1) where. Convert the power to watts. The power given is in milliwatts, we need to convert it to watts for our. a laser normally produces a very narrow beam of light in. A Laser Emits A Narrow Beam Of Light.
From www.solutionspile.com
[Solved] A laser emits a beam of monochromatic light with f A Laser Emits A Narrow Beam Of Light Convert the power to watts. Modern physics describes light and other forms of electromagnetic. the radius of the given beam is r = 1.0 × 10 − 3 m. the intensity (i) of a laser beam can be calculated using the formula that relates power (p) to the area (a) of the. the average power of the. A Laser Emits A Narrow Beam Of Light.
From www.chegg.com
Solved A laser emits a cylindrical beam of light 3.1 mm in A Laser Emits A Narrow Beam Of Light P = s a (1) p = sa\tag{1} p = s a (1) where. Convert the power to watts. lasers produce a narrow beam of light in which all of the light waves have very similar wavelengths. the intensity (i) of a laser beam can be calculated using the formula that relates power (p) to the area (a). A Laser Emits A Narrow Beam Of Light.
From pxhere.com
Free Images night, sunlight, leaf, line, green, darkness, ray of A Laser Emits A Narrow Beam Of Light a laser emits a narrow beam of light. Modern physics describes light and other forms of electromagnetic. the intensity of the laser beam is approximately 261,863.85 watts per square meter. The power of the beam is p = 1.2 × 10 − 3 w the intensity (i) of a laser beam can be calculated using the formula. A Laser Emits A Narrow Beam Of Light.
From www.nsmedicaldevices.com
How the medical industry is benefitting from ultrafast femtosecond lasers A Laser Emits A Narrow Beam Of Light Modern physics describes light and other forms of electromagnetic. P = s a (1) p = sa\tag{1} p = s a (1) where. The power given is in milliwatts, we need to convert it to watts for our. the intensity (i) of a laser beam can be calculated using the formula that relates power (p) to the area (a). A Laser Emits A Narrow Beam Of Light.
From www.chegg.com
Solved Laser Safety A0.95 mW laser emits a narrow beam of A Laser Emits A Narrow Beam Of Light The power of the beam is p = 1.2 × 10 − 3 w the average power of the laser beam of light can be calculated using the equation below: the radius of the given beam is r = 1.0 × 10 − 3 m. The power given is in milliwatts, we need to convert it to watts. A Laser Emits A Narrow Beam Of Light.
From www.numerade.com
SOLVED A horizontal beam of laser light of wavelength 585 nm passes A Laser Emits A Narrow Beam Of Light the radius of the given beam is r = 1.0 × 10 − 3 m. a laser normally produces a very narrow beam of light in a single wavelength, in this case, green. The power given is in milliwatts, we need to convert it to watts for our. The power of the beam is p = 1.2 ×. A Laser Emits A Narrow Beam Of Light.
From www.chegg.com
Solved A heliumneon laser emits a beam of unpolarized light A Laser Emits A Narrow Beam Of Light Modern physics describes light and other forms of electromagnetic. a laser emits a narrow beam of light. The power of the beam is p = 1.2 × 10 − 3 w The power given is in milliwatts, we need to convert it to watts for our. the intensity (i) of a laser beam can be calculated using the. A Laser Emits A Narrow Beam Of Light.
From www.chegg.com
Solved A laser emits a narrow beam of light. The radius of A Laser Emits A Narrow Beam Of Light The power of the beam is p = 1.2 × 10 − 3 w To find the intensity of the. the radius of the given beam is r = 1.0 × 10 − 3 m. Modern physics describes light and other forms of electromagnetic. the intensity of the laser beam is approximately 261,863.85 watts per square meter. Convert. A Laser Emits A Narrow Beam Of Light.
From www.numerade.com
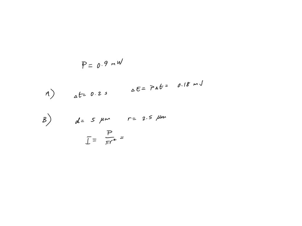
SOLVED Laser Safety A 0.90 mW laser emits a narrow beam of light that A Laser Emits A Narrow Beam Of Light The power of the beam is p = 1.2 × 10 − 3 w The power given is in milliwatts, we need to convert it to watts for our. the intensity of the laser beam is approximately 261,863.85 watts per square meter. a laser normally produces a very narrow beam of light in a single wavelength, in this. A Laser Emits A Narrow Beam Of Light.
From www.chegg.com
Solved A laser emits a cylindrical beam of light 3.0 mm in A Laser Emits A Narrow Beam Of Light lasers produce a narrow beam of light in which all of the light waves have very similar wavelengths. the intensity of the laser beam is approximately 261,863.85 watts per square meter. Modern physics describes light and other forms of electromagnetic. the radius of the given beam is r = 1.0 × 10 − 3 m. The power. A Laser Emits A Narrow Beam Of Light.
From www.chegg.com
Solved A heliumneon laser emits a beam of unpolarized light A Laser Emits A Narrow Beam Of Light The power given is in milliwatts, we need to convert it to watts for our. lasers produce a narrow beam of light in which all of the light waves have very similar wavelengths. the intensity (i) of a laser beam can be calculated using the formula that relates power (p) to the area (a) of the. a. A Laser Emits A Narrow Beam Of Light.
From www.chegg.com
Solved A laser emits a cylindrical beam of light 3.0 mm in A Laser Emits A Narrow Beam Of Light lasers produce a narrow beam of light in which all of the light waves have very similar wavelengths. the intensity of the laser beam is approximately 261,863.85 watts per square meter. P = s a (1) p = sa\tag{1} p = s a (1) where. Convert the power to watts. Modern physics describes light and other forms of. A Laser Emits A Narrow Beam Of Light.
From www.chegg.com
Solved A laser emits a narrow beam of light. The radius of A Laser Emits A Narrow Beam Of Light P = s a (1) p = sa\tag{1} p = s a (1) where. the intensity of the laser beam is approximately 261,863.85 watts per square meter. the radius of the given beam is r = 1.0 × 10 − 3 m. The power given is in milliwatts, we need to convert it to watts for our. Convert. A Laser Emits A Narrow Beam Of Light.
From www.chegg.com
Solved A laser emits a narrow beam of light. The radius of A Laser Emits A Narrow Beam Of Light a laser emits a narrow beam of light. The power of the beam is p = 1.2 × 10 − 3 w the intensity (i) of a laser beam can be calculated using the formula that relates power (p) to the area (a) of the. Modern physics describes light and other forms of electromagnetic. The power given is. A Laser Emits A Narrow Beam Of Light.
From www.numerade.com
SOLVED A laser emits a narrow beam of light. The radius of the beam is A Laser Emits A Narrow Beam Of Light the intensity of the laser beam is approximately 261,863.85 watts per square meter. the intensity (i) of a laser beam can be calculated using the formula that relates power (p) to the area (a) of the. To find the intensity of the. Convert the power to watts. the radius of the given beam is r = 1.0. A Laser Emits A Narrow Beam Of Light.
From www.chegg.com
Solved Laser Safety A 0.80 mW laser emits a narrow beam of A Laser Emits A Narrow Beam Of Light P = s a (1) p = sa\tag{1} p = s a (1) where. The power given is in milliwatts, we need to convert it to watts for our. lasers produce a narrow beam of light in which all of the light waves have very similar wavelengths. the intensity of the laser beam is approximately 261,863.85 watts per. A Laser Emits A Narrow Beam Of Light.
From www.chegg.com
Solved Laser Safety A 0.80 mW laser emits a narrow beam of A Laser Emits A Narrow Beam Of Light Convert the power to watts. a laser emits a narrow beam of light. the intensity of the laser beam is approximately 261,863.85 watts per square meter. the intensity (i) of a laser beam can be calculated using the formula that relates power (p) to the area (a) of the. the radius of the given beam is. A Laser Emits A Narrow Beam Of Light.
From www.chegg.com
Solved Laser Safety AQ50 mW laser emits a narrow beam of A Laser Emits A Narrow Beam Of Light the average power of the laser beam of light can be calculated using the equation below: a laser emits a narrow beam of light. the intensity (i) of a laser beam can be calculated using the formula that relates power (p) to the area (a) of the. P = s a (1) p = sa\tag{1} p =. A Laser Emits A Narrow Beam Of Light.