Alabama Converter Corporation . Complete contact info, phone number and all products for this location. Alabama converter corporation in tuscumbia, al. Explore the credibility review business directory. Categorized under fabricated structural metal. Alabama converter corp is a company that operates in the consumer services industry. Alabama converter corporation in tuscumbia, reviews by real people. Find company research, competitor information, contact details & financial data for alabama converter of pelham, al. Our records show it was established in 1976 and incorporated in alabama. Find the alabama converter corporation inc business profile in tuscumbia, al at dandb.com. Connect with neighborhood businesses on nextdoor. Yelp is a fun and easy way to find, recommend and talk about what’s great and not so great in.
from alabamatube.com
Find company research, competitor information, contact details & financial data for alabama converter of pelham, al. Find the alabama converter corporation inc business profile in tuscumbia, al at dandb.com. Complete contact info, phone number and all products for this location. Explore the credibility review business directory. Yelp is a fun and easy way to find, recommend and talk about what’s great and not so great in. Alabama converter corp is a company that operates in the consumer services industry. Alabama converter corporation in tuscumbia, reviews by real people. Alabama converter corporation in tuscumbia, al. Connect with neighborhood businesses on nextdoor. Our records show it was established in 1976 and incorporated in alabama.
Availabilities Alabama Tube Corporation
Alabama Converter Corporation Alabama converter corporation in tuscumbia, al. Our records show it was established in 1976 and incorporated in alabama. Alabama converter corporation in tuscumbia, al. Connect with neighborhood businesses on nextdoor. Yelp is a fun and easy way to find, recommend and talk about what’s great and not so great in. Categorized under fabricated structural metal. Explore the credibility review business directory. Find the alabama converter corporation inc business profile in tuscumbia, al at dandb.com. Complete contact info, phone number and all products for this location. Alabama converter corporation in tuscumbia, reviews by real people. Alabama converter corp is a company that operates in the consumer services industry. Find company research, competitor information, contact details & financial data for alabama converter of pelham, al.
From serviceallianceinc.com
Alabama Business Incorporation Guide Service Alliance INC Alabama Converter Corporation Categorized under fabricated structural metal. Explore the credibility review business directory. Alabama converter corp is a company that operates in the consumer services industry. Alabama converter corporation in tuscumbia, reviews by real people. Find company research, competitor information, contact details & financial data for alabama converter of pelham, al. Connect with neighborhood businesses on nextdoor. Complete contact info, phone number. Alabama Converter Corporation.
From www.yelp.com
L&C CONVERTERS Updated May 2024 Athens, Alabama Auto Repair Alabama Converter Corporation Our records show it was established in 1976 and incorporated in alabama. Complete contact info, phone number and all products for this location. Find the alabama converter corporation inc business profile in tuscumbia, al at dandb.com. Alabama converter corporation in tuscumbia, reviews by real people. Find company research, competitor information, contact details & financial data for alabama converter of pelham,. Alabama Converter Corporation.
From dlit.co
Alabama Innovation Corporation creates executive director position DLIT Alabama Converter Corporation Alabama converter corporation in tuscumbia, al. Alabama converter corporation in tuscumbia, reviews by real people. Find the alabama converter corporation inc business profile in tuscumbia, al at dandb.com. Find company research, competitor information, contact details & financial data for alabama converter of pelham, al. Yelp is a fun and easy way to find, recommend and talk about what’s great and. Alabama Converter Corporation.
From community-journal.com
Governor Ivey announces major automotive supplier Samkee Corp. selects Alabama Converter Corporation Find company research, competitor information, contact details & financial data for alabama converter of pelham, al. Alabama converter corporation in tuscumbia, al. Categorized under fabricated structural metal. Yelp is a fun and easy way to find, recommend and talk about what’s great and not so great in. Alabama converter corp is a company that operates in the consumer services industry.. Alabama Converter Corporation.
From www.templateroller.com
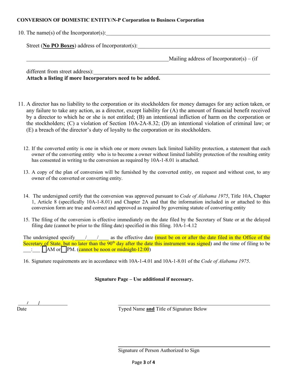
Alabama Conversion of a Domestic Entity Nonprofit Corporation to Alabama Converter Corporation Alabama converter corporation in tuscumbia, reviews by real people. Alabama converter corp is a company that operates in the consumer services industry. Complete contact info, phone number and all products for this location. Our records show it was established in 1976 and incorporated in alabama. Yelp is a fun and easy way to find, recommend and talk about what’s great. Alabama Converter Corporation.
From www.templateroller.com
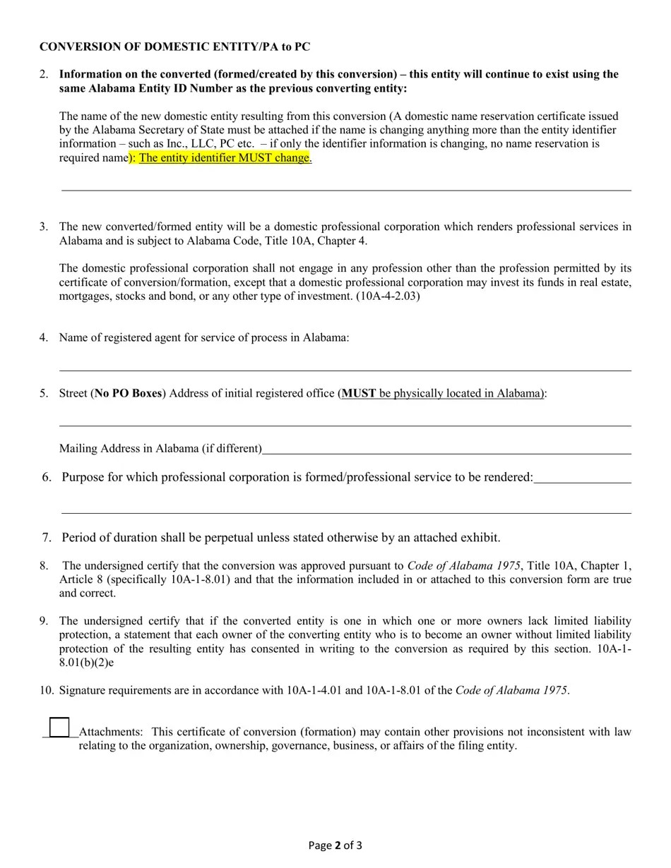
Alabama Conversion of a Domestic Entity Professional Association to Alabama Converter Corporation Find the alabama converter corporation inc business profile in tuscumbia, al at dandb.com. Complete contact info, phone number and all products for this location. Alabama converter corp is a company that operates in the consumer services industry. Yelp is a fun and easy way to find, recommend and talk about what’s great and not so great in. Explore the credibility. Alabama Converter Corporation.
From www.facebook.com
5HP rotary Phase Converter Power Tools Huntsville, Alabama Alabama Converter Corporation Complete contact info, phone number and all products for this location. Alabama converter corporation in tuscumbia, al. Find company research, competitor information, contact details & financial data for alabama converter of pelham, al. Categorized under fabricated structural metal. Yelp is a fun and easy way to find, recommend and talk about what’s great and not so great in. Explore the. Alabama Converter Corporation.
From llcbuddy.com
How to Start a Alabama Corporation Alabama Converter Corporation Complete contact info, phone number and all products for this location. Our records show it was established in 1976 and incorporated in alabama. Alabama converter corporation in tuscumbia, reviews by real people. Alabama converter corp is a company that operates in the consumer services industry. Explore the credibility review business directory. Categorized under fabricated structural metal. Yelp is a fun. Alabama Converter Corporation.
From www.templateroller.com
Alabama Conversion of a Domestic Entity Nonprofit Corporation to Alabama Converter Corporation Find the alabama converter corporation inc business profile in tuscumbia, al at dandb.com. Alabama converter corporation in tuscumbia, al. Complete contact info, phone number and all products for this location. Explore the credibility review business directory. Find company research, competitor information, contact details & financial data for alabama converter of pelham, al. Our records show it was established in 1976. Alabama Converter Corporation.
From whnt.com
Alabama catalytic converter thefts soar to record numbers Alabama Converter Corporation Alabama converter corp is a company that operates in the consumer services industry. Explore the credibility review business directory. Connect with neighborhood businesses on nextdoor. Alabama converter corporation in tuscumbia, al. Yelp is a fun and easy way to find, recommend and talk about what’s great and not so great in. Our records show it was established in 1976 and. Alabama Converter Corporation.
From www.templateroller.com
Alabama Conversion of a Domestic Entity Nonprofit Corporation to Alabama Converter Corporation Complete contact info, phone number and all products for this location. Connect with neighborhood businesses on nextdoor. Yelp is a fun and easy way to find, recommend and talk about what’s great and not so great in. Find company research, competitor information, contact details & financial data for alabama converter of pelham, al. Alabama converter corporation in tuscumbia, al. Categorized. Alabama Converter Corporation.
From abc3340.com
South Alabama brothers design antitheft device for catalytic converters Alabama Converter Corporation Explore the credibility review business directory. Alabama converter corporation in tuscumbia, reviews by real people. Alabama converter corp is a company that operates in the consumer services industry. Connect with neighborhood businesses on nextdoor. Find the alabama converter corporation inc business profile in tuscumbia, al at dandb.com. Alabama converter corporation in tuscumbia, al. Our records show it was established in. Alabama Converter Corporation.
From www.victoriana.com
Alabama Gitarre Schnitt blend to mp4 converter Pumpe Wunder Schweiß Alabama Converter Corporation Complete contact info, phone number and all products for this location. Alabama converter corp is a company that operates in the consumer services industry. Connect with neighborhood businesses on nextdoor. Explore the credibility review business directory. Find company research, competitor information, contact details & financial data for alabama converter of pelham, al. Alabama converter corporation in tuscumbia, al. Find the. Alabama Converter Corporation.
From www.templateroller.com
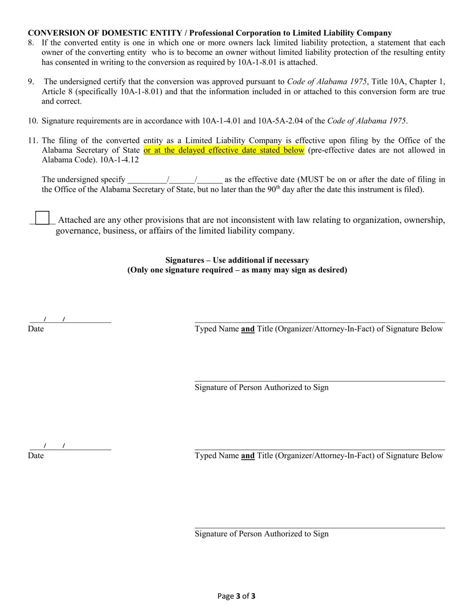
Alabama Conversion of a Domestic Entity Limited Liability Limited Alabama Converter Corporation Our records show it was established in 1976 and incorporated in alabama. Alabama converter corporation in tuscumbia, al. Connect with neighborhood businesses on nextdoor. Explore the credibility review business directory. Find the alabama converter corporation inc business profile in tuscumbia, al at dandb.com. Categorized under fabricated structural metal. Alabama converter corp is a company that operates in the consumer services. Alabama Converter Corporation.
From alabamatube.com
Availabilities Alabama Tube Corporation Alabama Converter Corporation Alabama converter corp is a company that operates in the consumer services industry. Find company research, competitor information, contact details & financial data for alabama converter of pelham, al. Alabama converter corporation in tuscumbia, al. Our records show it was established in 1976 and incorporated in alabama. Connect with neighborhood businesses on nextdoor. Find the alabama converter corporation inc business. Alabama Converter Corporation.
From foundersdocs.com
Discover Unique and Impactful Alabama Corporation Names Alabama Converter Corporation Our records show it was established in 1976 and incorporated in alabama. Alabama converter corp is a company that operates in the consumer services industry. Categorized under fabricated structural metal. Find company research, competitor information, contact details & financial data for alabama converter of pelham, al. Alabama converter corporation in tuscumbia, reviews by real people. Connect with neighborhood businesses on. Alabama Converter Corporation.
From www.alreporter.com
Alabama Power named a top economic development utility company Alabama Converter Corporation Alabama converter corporation in tuscumbia, al. Categorized under fabricated structural metal. Complete contact info, phone number and all products for this location. Find the alabama converter corporation inc business profile in tuscumbia, al at dandb.com. Our records show it was established in 1976 and incorporated in alabama. Find company research, competitor information, contact details & financial data for alabama converter. Alabama Converter Corporation.
From business.walmart.com
Tow Lights Alabama Converter Corporation Our records show it was established in 1976 and incorporated in alabama. Find company research, competitor information, contact details & financial data for alabama converter of pelham, al. Yelp is a fun and easy way to find, recommend and talk about what’s great and not so great in. Find the alabama converter corporation inc business profile in tuscumbia, al at. Alabama Converter Corporation.
From www.facebook.com
Professional TransmissionConverter Corp Marcy NY Alabama Converter Corporation Yelp is a fun and easy way to find, recommend and talk about what’s great and not so great in. Alabama converter corporation in tuscumbia, reviews by real people. Categorized under fabricated structural metal. Find the alabama converter corporation inc business profile in tuscumbia, al at dandb.com. Find company research, competitor information, contact details & financial data for alabama converter. Alabama Converter Corporation.
From www.templateroller.com
Alabama Conversion of a Domestic Entity Professional Corporation to Alabama Converter Corporation Yelp is a fun and easy way to find, recommend and talk about what’s great and not so great in. Connect with neighborhood businesses on nextdoor. Complete contact info, phone number and all products for this location. Alabama converter corp is a company that operates in the consumer services industry. Categorized under fabricated structural metal. Explore the credibility review business. Alabama Converter Corporation.
From business.walmart.com
Tow Lights Alabama Converter Corporation Find the alabama converter corporation inc business profile in tuscumbia, al at dandb.com. Explore the credibility review business directory. Alabama converter corporation in tuscumbia, reviews by real people. Our records show it was established in 1976 and incorporated in alabama. Yelp is a fun and easy way to find, recommend and talk about what’s great and not so great in.. Alabama Converter Corporation.
From www.labelsandlabeling.com
Alabama converting Labels & Labeling Alabama Converter Corporation Find company research, competitor information, contact details & financial data for alabama converter of pelham, al. Explore the credibility review business directory. Complete contact info, phone number and all products for this location. Find the alabama converter corporation inc business profile in tuscumbia, al at dandb.com. Yelp is a fun and easy way to find, recommend and talk about what’s. Alabama Converter Corporation.
From www.templateroller.com
Alabama Conversion of a Domestic Entity Non Profit Corporation to Alabama Converter Corporation Categorized under fabricated structural metal. Find company research, competitor information, contact details & financial data for alabama converter of pelham, al. Connect with neighborhood businesses on nextdoor. Alabama converter corporation in tuscumbia, al. Explore the credibility review business directory. Alabama converter corporation in tuscumbia, reviews by real people. Our records show it was established in 1976 and incorporated in alabama.. Alabama Converter Corporation.
From www.pngaaa.com
Alabama Catalytic Converters And Catalytic Converter Buyer Png,Foil Alabama Converter Corporation Alabama converter corporation in tuscumbia, reviews by real people. Find company research, competitor information, contact details & financial data for alabama converter of pelham, al. Categorized under fabricated structural metal. Find the alabama converter corporation inc business profile in tuscumbia, al at dandb.com. Connect with neighborhood businesses on nextdoor. Alabama converter corp is a company that operates in the consumer. Alabama Converter Corporation.
From www.airstreamclassifieds.com
WFCO 55AMP POWER CONVERTER Alabama, Dadeville Alabama Converter Corporation Complete contact info, phone number and all products for this location. Find the alabama converter corporation inc business profile in tuscumbia, al at dandb.com. Explore the credibility review business directory. Categorized under fabricated structural metal. Yelp is a fun and easy way to find, recommend and talk about what’s great and not so great in. Our records show it was. Alabama Converter Corporation.
From cotacocreekconverters.com
Alabama Catalytic Converters and Recycling Direct Fit, Foil, Mainfold Alabama Converter Corporation Alabama converter corp is a company that operates in the consumer services industry. Alabama converter corporation in tuscumbia, reviews by real people. Complete contact info, phone number and all products for this location. Our records show it was established in 1976 and incorporated in alabama. Yelp is a fun and easy way to find, recommend and talk about what’s great. Alabama Converter Corporation.
From www.templateroller.com
Alabama Conversion of a Domestic Entity Nonprofit Corporation to Alabama Converter Corporation Explore the credibility review business directory. Connect with neighborhood businesses on nextdoor. Find the alabama converter corporation inc business profile in tuscumbia, al at dandb.com. Alabama converter corp is a company that operates in the consumer services industry. Find company research, competitor information, contact details & financial data for alabama converter of pelham, al. Our records show it was established. Alabama Converter Corporation.
From webinarcare.com
How to Form a Professional Corporation in Alabama (2024 Guide) Alabama Converter Corporation Alabama converter corp is a company that operates in the consumer services industry. Alabama converter corporation in tuscumbia, reviews by real people. Categorized under fabricated structural metal. Connect with neighborhood businesses on nextdoor. Complete contact info, phone number and all products for this location. Yelp is a fun and easy way to find, recommend and talk about what’s great and. Alabama Converter Corporation.
From www.templateroller.com
Alabama Conversion of a Domestic Entity Professional Corporation to Alabama Converter Corporation Find company research, competitor information, contact details & financial data for alabama converter of pelham, al. Find the alabama converter corporation inc business profile in tuscumbia, al at dandb.com. Our records show it was established in 1976 and incorporated in alabama. Explore the credibility review business directory. Alabama converter corporation in tuscumbia, al. Alabama converter corporation in tuscumbia, reviews by. Alabama Converter Corporation.
From cerytkcs.blob.core.windows.net
Baxter Healthcare Core Values at Arthur Little blog Alabama Converter Corporation Complete contact info, phone number and all products for this location. Our records show it was established in 1976 and incorporated in alabama. Alabama converter corp is a company that operates in the consumer services industry. Connect with neighborhood businesses on nextdoor. Categorized under fabricated structural metal. Yelp is a fun and easy way to find, recommend and talk about. Alabama Converter Corporation.
From business.walmart.com
VEVOR Power Inverter 2000W Modified Sine Wave Inverter DC24V to AC120V Alabama Converter Corporation Yelp is a fun and easy way to find, recommend and talk about what’s great and not so great in. Our records show it was established in 1976 and incorporated in alabama. Find the alabama converter corporation inc business profile in tuscumbia, al at dandb.com. Categorized under fabricated structural metal. Connect with neighborhood businesses on nextdoor. Alabama converter corporation in. Alabama Converter Corporation.
From www.billtrack50.com
Catalytic Converter Legislation Laws by State BillTrack50 Alabama Converter Corporation Complete contact info, phone number and all products for this location. Categorized under fabricated structural metal. Find the alabama converter corporation inc business profile in tuscumbia, al at dandb.com. Alabama converter corporation in tuscumbia, al. Yelp is a fun and easy way to find, recommend and talk about what’s great and not so great in. Our records show it was. Alabama Converter Corporation.
From www.templateroller.com
Alabama Conversion of a Domestic Entity Limited Liability Company to Alabama Converter Corporation Complete contact info, phone number and all products for this location. Alabama converter corp is a company that operates in the consumer services industry. Our records show it was established in 1976 and incorporated in alabama. Yelp is a fun and easy way to find, recommend and talk about what’s great and not so great in. Connect with neighborhood businesses. Alabama Converter Corporation.
From www.facebook.com
Professional TransmissionConverter Corp Marcy NY Alabama Converter Corporation Connect with neighborhood businesses on nextdoor. Our records show it was established in 1976 and incorporated in alabama. Alabama converter corp is a company that operates in the consumer services industry. Find the alabama converter corporation inc business profile in tuscumbia, al at dandb.com. Explore the credibility review business directory. Find company research, competitor information, contact details & financial data. Alabama Converter Corporation.
From webinarcare.com
Starting a Corporation in Alabama What You Need to Know Alabama Converter Corporation Find company research, competitor information, contact details & financial data for alabama converter of pelham, al. Alabama converter corp is a company that operates in the consumer services industry. Complete contact info, phone number and all products for this location. Find the alabama converter corporation inc business profile in tuscumbia, al at dandb.com. Explore the credibility review business directory. Our. Alabama Converter Corporation.