Zinc Carbonate Undergoes Calcination Balanced Equation . (v) zinc carbonate undergoes calcination. Write a balanced chemical equation for the reaction taking place when zinc carbonate is calcinated. The steps involved in the extraction of zinc are: To balance a chemical equation, enter an equation of a chemical reaction and press the balance button. However, this equation isn't balanced because the number of atoms for each element is not the same on both sides of the equation. The balanced equation will appear above. Concentrated carbonate of zinc is converted to its oxide by calcination.
from slideplayer.com
The steps involved in the extraction of zinc are: However, this equation isn't balanced because the number of atoms for each element is not the same on both sides of the equation. Concentrated carbonate of zinc is converted to its oxide by calcination. Write a balanced chemical equation for the reaction taking place when zinc carbonate is calcinated. (v) zinc carbonate undergoes calcination. The balanced equation will appear above. To balance a chemical equation, enter an equation of a chemical reaction and press the balance button.
Balancing Equations Part ppt download
Zinc Carbonate Undergoes Calcination Balanced Equation (v) zinc carbonate undergoes calcination. To balance a chemical equation, enter an equation of a chemical reaction and press the balance button. (v) zinc carbonate undergoes calcination. The steps involved in the extraction of zinc are: However, this equation isn't balanced because the number of atoms for each element is not the same on both sides of the equation. Write a balanced chemical equation for the reaction taking place when zinc carbonate is calcinated. The balanced equation will appear above. Concentrated carbonate of zinc is converted to its oxide by calcination.
From www.numerade.com
SOLVED Predict the precipitation reaction if zinc chloride reacts with sodium carbonate Zinc Carbonate Undergoes Calcination Balanced Equation The steps involved in the extraction of zinc are: (v) zinc carbonate undergoes calcination. The balanced equation will appear above. However, this equation isn't balanced because the number of atoms for each element is not the same on both sides of the equation. Concentrated carbonate of zinc is converted to its oxide by calcination. To balance a chemical equation, enter. Zinc Carbonate Undergoes Calcination Balanced Equation.
From www.numerade.com
SOLVED balanced chemical equation for i) Action of an acid on a base ii) Action of heat on zinc Zinc Carbonate Undergoes Calcination Balanced Equation However, this equation isn't balanced because the number of atoms for each element is not the same on both sides of the equation. The balanced equation will appear above. To balance a chemical equation, enter an equation of a chemical reaction and press the balance button. Concentrated carbonate of zinc is converted to its oxide by calcination. The steps involved. Zinc Carbonate Undergoes Calcination Balanced Equation.
From www.toppr.com
Identify the type of reactions taking place in each of the following cases and write the Zinc Carbonate Undergoes Calcination Balanced Equation To balance a chemical equation, enter an equation of a chemical reaction and press the balance button. (v) zinc carbonate undergoes calcination. Concentrated carbonate of zinc is converted to its oxide by calcination. The balanced equation will appear above. However, this equation isn't balanced because the number of atoms for each element is not the same on both sides of. Zinc Carbonate Undergoes Calcination Balanced Equation.
From www.doubtnut.com
Give a balanced equation for the conversion of zinc sulphate to zinc Zinc Carbonate Undergoes Calcination Balanced Equation To balance a chemical equation, enter an equation of a chemical reaction and press the balance button. The steps involved in the extraction of zinc are: The balanced equation will appear above. (v) zinc carbonate undergoes calcination. Write a balanced chemical equation for the reaction taking place when zinc carbonate is calcinated. However, this equation isn't balanced because the number. Zinc Carbonate Undergoes Calcination Balanced Equation.
From www.numerade.com
SOLVED The of zinc carbonate, \mathrm{ZnCO}_{3}(\mathrm{s}), into zinc oxide Zinc Carbonate Undergoes Calcination Balanced Equation To balance a chemical equation, enter an equation of a chemical reaction and press the balance button. However, this equation isn't balanced because the number of atoms for each element is not the same on both sides of the equation. Write a balanced chemical equation for the reaction taking place when zinc carbonate is calcinated. Concentrated carbonate of zinc is. Zinc Carbonate Undergoes Calcination Balanced Equation.
From ramonnewscook.blogspot.com
Zinc Nitrate + Sodium Carbonate Balanced Equation Zinc Carbonate Undergoes Calcination Balanced Equation Write a balanced chemical equation for the reaction taking place when zinc carbonate is calcinated. The balanced equation will appear above. The steps involved in the extraction of zinc are: Concentrated carbonate of zinc is converted to its oxide by calcination. However, this equation isn't balanced because the number of atoms for each element is not the same on both. Zinc Carbonate Undergoes Calcination Balanced Equation.
From www.youtube.com
How to write chemical formula of zinc carbonateMolecular formula of zinc carbonate YouTube Zinc Carbonate Undergoes Calcination Balanced Equation The balanced equation will appear above. Concentrated carbonate of zinc is converted to its oxide by calcination. Write a balanced chemical equation for the reaction taking place when zinc carbonate is calcinated. To balance a chemical equation, enter an equation of a chemical reaction and press the balance button. However, this equation isn't balanced because the number of atoms for. Zinc Carbonate Undergoes Calcination Balanced Equation.
From www.toppr.com
Write balanced chemical equations for the followinga) Calcium carbonate reacts with Zinc Carbonate Undergoes Calcination Balanced Equation The steps involved in the extraction of zinc are: To balance a chemical equation, enter an equation of a chemical reaction and press the balance button. Concentrated carbonate of zinc is converted to its oxide by calcination. The balanced equation will appear above. (v) zinc carbonate undergoes calcination. However, this equation isn't balanced because the number of atoms for each. Zinc Carbonate Undergoes Calcination Balanced Equation.
From brainly.in
Write balanced chemical equation for the reactions taking place when i. Zinc carbonate is Zinc Carbonate Undergoes Calcination Balanced Equation (v) zinc carbonate undergoes calcination. However, this equation isn't balanced because the number of atoms for each element is not the same on both sides of the equation. The steps involved in the extraction of zinc are: The balanced equation will appear above. Concentrated carbonate of zinc is converted to its oxide by calcination. To balance a chemical equation, enter. Zinc Carbonate Undergoes Calcination Balanced Equation.
From brainly.in
Give balanced equation A to D for the following conversions Zinc →Zinc sulphate→Zinc Carbonate Zinc Carbonate Undergoes Calcination Balanced Equation Concentrated carbonate of zinc is converted to its oxide by calcination. To balance a chemical equation, enter an equation of a chemical reaction and press the balance button. (v) zinc carbonate undergoes calcination. However, this equation isn't balanced because the number of atoms for each element is not the same on both sides of the equation. Write a balanced chemical. Zinc Carbonate Undergoes Calcination Balanced Equation.
From slideplayer.com
Objective 4…TAKS 10th and 11th grades Home slide ppt download Zinc Carbonate Undergoes Calcination Balanced Equation The balanced equation will appear above. However, this equation isn't balanced because the number of atoms for each element is not the same on both sides of the equation. (v) zinc carbonate undergoes calcination. Write a balanced chemical equation for the reaction taking place when zinc carbonate is calcinated. Concentrated carbonate of zinc is converted to its oxide by calcination.. Zinc Carbonate Undergoes Calcination Balanced Equation.
From ramonnewscook.blogspot.com
Zinc Nitrate + Sodium Carbonate Balanced Equation Zinc Carbonate Undergoes Calcination Balanced Equation Write a balanced chemical equation for the reaction taking place when zinc carbonate is calcinated. Concentrated carbonate of zinc is converted to its oxide by calcination. (v) zinc carbonate undergoes calcination. The balanced equation will appear above. However, this equation isn't balanced because the number of atoms for each element is not the same on both sides of the equation.. Zinc Carbonate Undergoes Calcination Balanced Equation.
From www.numerade.com
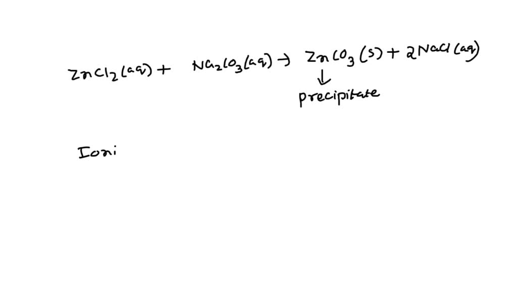
SOLVED Write net ionic equation for the reaction that occurs when zinc carbonate and Zinc Carbonate Undergoes Calcination Balanced Equation To balance a chemical equation, enter an equation of a chemical reaction and press the balance button. (v) zinc carbonate undergoes calcination. Concentrated carbonate of zinc is converted to its oxide by calcination. The steps involved in the extraction of zinc are: However, this equation isn't balanced because the number of atoms for each element is not the same on. Zinc Carbonate Undergoes Calcination Balanced Equation.
From www.youtube.com
How to Write the Formula for Zinc bicarbonate (Zinc hydrogen carbonate) YouTube Zinc Carbonate Undergoes Calcination Balanced Equation Write a balanced chemical equation for the reaction taking place when zinc carbonate is calcinated. Concentrated carbonate of zinc is converted to its oxide by calcination. The steps involved in the extraction of zinc are: (v) zinc carbonate undergoes calcination. The balanced equation will appear above. To balance a chemical equation, enter an equation of a chemical reaction and press. Zinc Carbonate Undergoes Calcination Balanced Equation.
From www.nagwa.com
Question Video Identifying the Correct Chemical Equation for the of Zinc Zinc Carbonate Undergoes Calcination Balanced Equation Write a balanced chemical equation for the reaction taking place when zinc carbonate is calcinated. However, this equation isn't balanced because the number of atoms for each element is not the same on both sides of the equation. The balanced equation will appear above. Concentrated carbonate of zinc is converted to its oxide by calcination. (v) zinc carbonate undergoes calcination.. Zinc Carbonate Undergoes Calcination Balanced Equation.
From www.chegg.com
Solved Consider the insoluble compound zinc carbonate, Zinc Carbonate Undergoes Calcination Balanced Equation The balanced equation will appear above. To balance a chemical equation, enter an equation of a chemical reaction and press the balance button. However, this equation isn't balanced because the number of atoms for each element is not the same on both sides of the equation. (v) zinc carbonate undergoes calcination. Write a balanced chemical equation for the reaction taking. Zinc Carbonate Undergoes Calcination Balanced Equation.
From brainly.in
Chemical formula of zinc carbonate with solution Brainly.in Zinc Carbonate Undergoes Calcination Balanced Equation Write a balanced chemical equation for the reaction taking place when zinc carbonate is calcinated. Concentrated carbonate of zinc is converted to its oxide by calcination. (v) zinc carbonate undergoes calcination. The balanced equation will appear above. The steps involved in the extraction of zinc are: To balance a chemical equation, enter an equation of a chemical reaction and press. Zinc Carbonate Undergoes Calcination Balanced Equation.
From www.youtube.com
Type of Reaction for ZnCO3 = ZnO + CO2 YouTube Zinc Carbonate Undergoes Calcination Balanced Equation The steps involved in the extraction of zinc are: The balanced equation will appear above. Write a balanced chemical equation for the reaction taking place when zinc carbonate is calcinated. Concentrated carbonate of zinc is converted to its oxide by calcination. However, this equation isn't balanced because the number of atoms for each element is not the same on both. Zinc Carbonate Undergoes Calcination Balanced Equation.
From www.youtube.com
How to Write the Formula for ZnCO3 (Zinc carbonate) YouTube Zinc Carbonate Undergoes Calcination Balanced Equation To balance a chemical equation, enter an equation of a chemical reaction and press the balance button. (v) zinc carbonate undergoes calcination. Concentrated carbonate of zinc is converted to its oxide by calcination. The steps involved in the extraction of zinc are: Write a balanced chemical equation for the reaction taking place when zinc carbonate is calcinated. However, this equation. Zinc Carbonate Undergoes Calcination Balanced Equation.
From www.numerade.com
The of zinc carbonate, ZnCO3( s), into zinc oxide, ZnO(s), and CO2(g) at constant Zinc Carbonate Undergoes Calcination Balanced Equation The steps involved in the extraction of zinc are: Write a balanced chemical equation for the reaction taking place when zinc carbonate is calcinated. To balance a chemical equation, enter an equation of a chemical reaction and press the balance button. However, this equation isn't balanced because the number of atoms for each element is not the same on both. Zinc Carbonate Undergoes Calcination Balanced Equation.
From www.youtube.com
Write equations for the following reactions zinc and concentrated nitric acid. 10 STUDY OF Zinc Carbonate Undergoes Calcination Balanced Equation Write a balanced chemical equation for the reaction taking place when zinc carbonate is calcinated. To balance a chemical equation, enter an equation of a chemical reaction and press the balance button. The balanced equation will appear above. Concentrated carbonate of zinc is converted to its oxide by calcination. The steps involved in the extraction of zinc are: (v) zinc. Zinc Carbonate Undergoes Calcination Balanced Equation.
From www.youtube.com
Zn+HCl=ZnCl2+H2 balance the chemical equation mydocumentary838. zn+hcl=zncl2+h2 YouTube Zinc Carbonate Undergoes Calcination Balanced Equation However, this equation isn't balanced because the number of atoms for each element is not the same on both sides of the equation. Write a balanced chemical equation for the reaction taking place when zinc carbonate is calcinated. To balance a chemical equation, enter an equation of a chemical reaction and press the balance button. The steps involved in the. Zinc Carbonate Undergoes Calcination Balanced Equation.
From www.doubtnut.com
Write balanced equations for the following Zinc reacts with caustic Zinc Carbonate Undergoes Calcination Balanced Equation However, this equation isn't balanced because the number of atoms for each element is not the same on both sides of the equation. Concentrated carbonate of zinc is converted to its oxide by calcination. To balance a chemical equation, enter an equation of a chemical reaction and press the balance button. The balanced equation will appear above. The steps involved. Zinc Carbonate Undergoes Calcination Balanced Equation.
From www.shutterstock.com
Reaction Infographic Diagram Example Zinc Stock Vector (Royalty Free) 2074483516 Zinc Carbonate Undergoes Calcination Balanced Equation However, this equation isn't balanced because the number of atoms for each element is not the same on both sides of the equation. The steps involved in the extraction of zinc are: To balance a chemical equation, enter an equation of a chemical reaction and press the balance button. Concentrated carbonate of zinc is converted to its oxide by calcination.. Zinc Carbonate Undergoes Calcination Balanced Equation.
From elainegokemahoney.blogspot.com
Calcium Carbonate on Heating Balanced Equation Zinc Carbonate Undergoes Calcination Balanced Equation The balanced equation will appear above. Concentrated carbonate of zinc is converted to its oxide by calcination. The steps involved in the extraction of zinc are: Write a balanced chemical equation for the reaction taking place when zinc carbonate is calcinated. To balance a chemical equation, enter an equation of a chemical reaction and press the balance button. However, this. Zinc Carbonate Undergoes Calcination Balanced Equation.
From slideplayer.com
Balancing Equations Part ppt download Zinc Carbonate Undergoes Calcination Balanced Equation Write a balanced chemical equation for the reaction taking place when zinc carbonate is calcinated. The balanced equation will appear above. (v) zinc carbonate undergoes calcination. Concentrated carbonate of zinc is converted to its oxide by calcination. The steps involved in the extraction of zinc are: To balance a chemical equation, enter an equation of a chemical reaction and press. Zinc Carbonate Undergoes Calcination Balanced Equation.
From www.numerade.com
SOLVED Write a balanced equation for the precipitation reaction that occurs when aqueous Zinc Carbonate Undergoes Calcination Balanced Equation The steps involved in the extraction of zinc are: Write a balanced chemical equation for the reaction taking place when zinc carbonate is calcinated. Concentrated carbonate of zinc is converted to its oxide by calcination. (v) zinc carbonate undergoes calcination. To balance a chemical equation, enter an equation of a chemical reaction and press the balance button. The balanced equation. Zinc Carbonate Undergoes Calcination Balanced Equation.
From ramonnewscook.blogspot.com
Zinc Nitrate + Sodium Carbonate Balanced Equation Zinc Carbonate Undergoes Calcination Balanced Equation Concentrated carbonate of zinc is converted to its oxide by calcination. To balance a chemical equation, enter an equation of a chemical reaction and press the balance button. The balanced equation will appear above. The steps involved in the extraction of zinc are: (v) zinc carbonate undergoes calcination. Write a balanced chemical equation for the reaction taking place when zinc. Zinc Carbonate Undergoes Calcination Balanced Equation.
From www.solutioninn.com
[Solved] Consider the insoluble compound zinc carb SolutionInn Zinc Carbonate Undergoes Calcination Balanced Equation (v) zinc carbonate undergoes calcination. To balance a chemical equation, enter an equation of a chemical reaction and press the balance button. The steps involved in the extraction of zinc are: Concentrated carbonate of zinc is converted to its oxide by calcination. The balanced equation will appear above. However, this equation isn't balanced because the number of atoms for each. Zinc Carbonate Undergoes Calcination Balanced Equation.
From www.slideserve.com
PPT Chemical Equations PowerPoint Presentation, free download ID3365692 Zinc Carbonate Undergoes Calcination Balanced Equation However, this equation isn't balanced because the number of atoms for each element is not the same on both sides of the equation. Write a balanced chemical equation for the reaction taking place when zinc carbonate is calcinated. (v) zinc carbonate undergoes calcination. The steps involved in the extraction of zinc are: To balance a chemical equation, enter an equation. Zinc Carbonate Undergoes Calcination Balanced Equation.
From brainly.in
Write chemical reaction for each (1) Zinc carbonate is calcinated. (2) cinnabar is heated in Zinc Carbonate Undergoes Calcination Balanced Equation To balance a chemical equation, enter an equation of a chemical reaction and press the balance button. The steps involved in the extraction of zinc are: (v) zinc carbonate undergoes calcination. However, this equation isn't balanced because the number of atoms for each element is not the same on both sides of the equation. Write a balanced chemical equation for. Zinc Carbonate Undergoes Calcination Balanced Equation.
From www.youtube.com
Calculating Ksp of Zinc Carbonate using electrode potentials YouTube Zinc Carbonate Undergoes Calcination Balanced Equation However, this equation isn't balanced because the number of atoms for each element is not the same on both sides of the equation. (v) zinc carbonate undergoes calcination. To balance a chemical equation, enter an equation of a chemical reaction and press the balance button. Concentrated carbonate of zinc is converted to its oxide by calcination. The balanced equation will. Zinc Carbonate Undergoes Calcination Balanced Equation.
From brainly.in
Write chemical reaction for each (1) Zinc carbonate is calcinated. (2) cinnabar is heated in Zinc Carbonate Undergoes Calcination Balanced Equation However, this equation isn't balanced because the number of atoms for each element is not the same on both sides of the equation. (v) zinc carbonate undergoes calcination. To balance a chemical equation, enter an equation of a chemical reaction and press the balance button. The steps involved in the extraction of zinc are: Write a balanced chemical equation for. Zinc Carbonate Undergoes Calcination Balanced Equation.
From tia-jolpblogramsey.blogspot.com
Zinc Carbonate Sulfuric Acid Zinc Carbonate Undergoes Calcination Balanced Equation The steps involved in the extraction of zinc are: The balanced equation will appear above. (v) zinc carbonate undergoes calcination. Write a balanced chemical equation for the reaction taking place when zinc carbonate is calcinated. To balance a chemical equation, enter an equation of a chemical reaction and press the balance button. Concentrated carbonate of zinc is converted to its. Zinc Carbonate Undergoes Calcination Balanced Equation.
From www.coursehero.com
[Solved] Please balance the following equations, Zinc reacts with... Course Hero Zinc Carbonate Undergoes Calcination Balanced Equation However, this equation isn't balanced because the number of atoms for each element is not the same on both sides of the equation. Concentrated carbonate of zinc is converted to its oxide by calcination. The balanced equation will appear above. The steps involved in the extraction of zinc are: (v) zinc carbonate undergoes calcination. To balance a chemical equation, enter. Zinc Carbonate Undergoes Calcination Balanced Equation.