Castor Oil Chemical Name . the chemical structure of castor oil is centered on the ricinoleic acid and three major functional groups linked by glycerol moiety. Castor oil is extracted through the process of pressing the seeds of the. castor oil, also known as ricinus oil, is a triglyceride of fatty acids which occurs in the seed of the castor plant, ricinus communis (india, brazil). the chemical structure of castor oil is centered on the ricinoleic acid and three major functional groups linked by glycerol moiety. castor oil is a vegetable oil obtained by pressing the seeds of the castor oil plant (ricinus communis l.) mainly cultivated. castor oil, produced from castor beans, has long been considered to be of.
from ayurvedicoils.com
Castor oil is extracted through the process of pressing the seeds of the. castor oil, also known as ricinus oil, is a triglyceride of fatty acids which occurs in the seed of the castor plant, ricinus communis (india, brazil). the chemical structure of castor oil is centered on the ricinoleic acid and three major functional groups linked by glycerol moiety. castor oil is a vegetable oil obtained by pressing the seeds of the castor oil plant (ricinus communis l.) mainly cultivated. the chemical structure of castor oil is centered on the ricinoleic acid and three major functional groups linked by glycerol moiety. castor oil, produced from castor beans, has long been considered to be of.
Ayurvedic health benefits of Castor oil Essential Oil
Castor Oil Chemical Name castor oil, also known as ricinus oil, is a triglyceride of fatty acids which occurs in the seed of the castor plant, ricinus communis (india, brazil). castor oil, also known as ricinus oil, is a triglyceride of fatty acids which occurs in the seed of the castor plant, ricinus communis (india, brazil). the chemical structure of castor oil is centered on the ricinoleic acid and three major functional groups linked by glycerol moiety. the chemical structure of castor oil is centered on the ricinoleic acid and three major functional groups linked by glycerol moiety. castor oil, produced from castor beans, has long been considered to be of. castor oil is a vegetable oil obtained by pressing the seeds of the castor oil plant (ricinus communis l.) mainly cultivated. Castor oil is extracted through the process of pressing the seeds of the.
From journals.sagepub.com
Chemical modifications of castor oil A review Ntsako Portia Chauke Castor Oil Chemical Name Castor oil is extracted through the process of pressing the seeds of the. the chemical structure of castor oil is centered on the ricinoleic acid and three major functional groups linked by glycerol moiety. the chemical structure of castor oil is centered on the ricinoleic acid and three major functional groups linked by glycerol moiety. castor oil. Castor Oil Chemical Name.
From www.iherb.com
Seven Minerals, Pure Castor Oil, Cold Pressed & Unrefined, Unscented Castor Oil Chemical Name the chemical structure of castor oil is centered on the ricinoleic acid and three major functional groups linked by glycerol moiety. Castor oil is extracted through the process of pressing the seeds of the. castor oil, also known as ricinus oil, is a triglyceride of fatty acids which occurs in the seed of the castor plant, ricinus communis. Castor Oil Chemical Name.
From www.chemichase.com
Castor Oil Chemichase Chemical Co.,Ltd Castor Oil Chemical Name castor oil, also known as ricinus oil, is a triglyceride of fatty acids which occurs in the seed of the castor plant, ricinus communis (india, brazil). castor oil, produced from castor beans, has long been considered to be of. the chemical structure of castor oil is centered on the ricinoleic acid and three major functional groups linked. Castor Oil Chemical Name.
From ayurvedicoils.com
Ayurvedic health benefits of Castor oil Essential Oil Castor Oil Chemical Name Castor oil is extracted through the process of pressing the seeds of the. castor oil, also known as ricinus oil, is a triglyceride of fatty acids which occurs in the seed of the castor plant, ricinus communis (india, brazil). the chemical structure of castor oil is centered on the ricinoleic acid and three major functional groups linked by. Castor Oil Chemical Name.
From www.farmersalmanac.com
Castor Oil Health Benefits Farmers' Almanac Castor Oil Chemical Name the chemical structure of castor oil is centered on the ricinoleic acid and three major functional groups linked by glycerol moiety. castor oil is a vegetable oil obtained by pressing the seeds of the castor oil plant (ricinus communis l.) mainly cultivated. castor oil, produced from castor beans, has long been considered to be of. the. Castor Oil Chemical Name.
From ayurvedicoils.com
Chemical constituents of Castor Oil Essential Oil Castor Oil Chemical Name castor oil is a vegetable oil obtained by pressing the seeds of the castor oil plant (ricinus communis l.) mainly cultivated. castor oil, produced from castor beans, has long been considered to be of. the chemical structure of castor oil is centered on the ricinoleic acid and three major functional groups linked by glycerol moiety. Castor oil. Castor Oil Chemical Name.
From www.fishersci.nl
Castor Oil, Pure, Fisher Chemical Fisher Scientific Castor Oil Chemical Name the chemical structure of castor oil is centered on the ricinoleic acid and three major functional groups linked by glycerol moiety. castor oil is a vegetable oil obtained by pressing the seeds of the castor oil plant (ricinus communis l.) mainly cultivated. the chemical structure of castor oil is centered on the ricinoleic acid and three major. Castor Oil Chemical Name.
From thenaturelab.me
Organic Castor Oil The Nature Lab Castor Oil Chemical Name the chemical structure of castor oil is centered on the ricinoleic acid and three major functional groups linked by glycerol moiety. castor oil is a vegetable oil obtained by pressing the seeds of the castor oil plant (ricinus communis l.) mainly cultivated. castor oil, also known as ricinus oil, is a triglyceride of fatty acids which occurs. Castor Oil Chemical Name.
From journals.sagepub.com
Chemical modifications of castor oil A review Ntsako Portia Chauke Castor Oil Chemical Name castor oil, also known as ricinus oil, is a triglyceride of fatty acids which occurs in the seed of the castor plant, ricinus communis (india, brazil). Castor oil is extracted through the process of pressing the seeds of the. castor oil is a vegetable oil obtained by pressing the seeds of the castor oil plant (ricinus communis l.). Castor Oil Chemical Name.
From blog.organicolivia.com
Castor Oil Benefits Why It's Famous for Skin, Hair, Pain Relief Castor Oil Chemical Name castor oil, produced from castor beans, has long been considered to be of. Castor oil is extracted through the process of pressing the seeds of the. castor oil, also known as ricinus oil, is a triglyceride of fatty acids which occurs in the seed of the castor plant, ricinus communis (india, brazil). the chemical structure of castor. Castor Oil Chemical Name.
From en.alphahi-tech.com
Hydrogenated Castor Oil — Jiangxi Alpha Hitech Pharmaceutical CO., Ltd Castor Oil Chemical Name castor oil, also known as ricinus oil, is a triglyceride of fatty acids which occurs in the seed of the castor plant, ricinus communis (india, brazil). the chemical structure of castor oil is centered on the ricinoleic acid and three major functional groups linked by glycerol moiety. castor oil is a vegetable oil obtained by pressing the. Castor Oil Chemical Name.
From www.tipsbulletin.com
30 Outstanding Castor Oil Uses and Benefits Castor Oil Chemical Name the chemical structure of castor oil is centered on the ricinoleic acid and three major functional groups linked by glycerol moiety. castor oil, also known as ricinus oil, is a triglyceride of fatty acids which occurs in the seed of the castor plant, ricinus communis (india, brazil). castor oil is a vegetable oil obtained by pressing the. Castor Oil Chemical Name.
From medicaldarpan.com
Top Ten Magical Benefits of Castor Oil Medical Darpan Castor Oil Chemical Name castor oil, also known as ricinus oil, is a triglyceride of fatty acids which occurs in the seed of the castor plant, ricinus communis (india, brazil). the chemical structure of castor oil is centered on the ricinoleic acid and three major functional groups linked by glycerol moiety. castor oil is a vegetable oil obtained by pressing the. Castor Oil Chemical Name.
From www.indiamart.com
AG Industries Grade Standard commercial & Technical grade Castor Oil Castor Oil Chemical Name castor oil is a vegetable oil obtained by pressing the seeds of the castor oil plant (ricinus communis l.) mainly cultivated. the chemical structure of castor oil is centered on the ricinoleic acid and three major functional groups linked by glycerol moiety. Castor oil is extracted through the process of pressing the seeds of the. the chemical. Castor Oil Chemical Name.
From livingearthherbs.com
Castor Oil, Organic Living Earth Herbs Organic Bulk Herbs Castor Oil Chemical Name Castor oil is extracted through the process of pressing the seeds of the. castor oil, also known as ricinus oil, is a triglyceride of fatty acids which occurs in the seed of the castor plant, ricinus communis (india, brazil). the chemical structure of castor oil is centered on the ricinoleic acid and three major functional groups linked by. Castor Oil Chemical Name.
From journals.sagepub.com
Chemical modifications of castor oil A review Ntsako Portia Chauke Castor Oil Chemical Name castor oil is a vegetable oil obtained by pressing the seeds of the castor oil plant (ricinus communis l.) mainly cultivated. the chemical structure of castor oil is centered on the ricinoleic acid and three major functional groups linked by glycerol moiety. castor oil, produced from castor beans, has long been considered to be of. the. Castor Oil Chemical Name.
From www.tropicalholistic.com
100 Pure Organic Cold Pressed Castor Oil 4 oz Tropical Holistic Castor Oil Chemical Name the chemical structure of castor oil is centered on the ricinoleic acid and three major functional groups linked by glycerol moiety. castor oil, produced from castor beans, has long been considered to be of. Castor oil is extracted through the process of pressing the seeds of the. the chemical structure of castor oil is centered on the. Castor Oil Chemical Name.
From kandlaagro.com
Castor Oil Kandla Agro and Chemicals Pvt Ltd Castor Oil Chemical Name castor oil, produced from castor beans, has long been considered to be of. Castor oil is extracted through the process of pressing the seeds of the. castor oil, also known as ricinus oil, is a triglyceride of fatty acids which occurs in the seed of the castor plant, ricinus communis (india, brazil). the chemical structure of castor. Castor Oil Chemical Name.
From iherb.com
Home Health, Castor Oil, 32 fl oz (946 ml) iHerb Castor Oil Chemical Name the chemical structure of castor oil is centered on the ricinoleic acid and three major functional groups linked by glycerol moiety. Castor oil is extracted through the process of pressing the seeds of the. the chemical structure of castor oil is centered on the ricinoleic acid and three major functional groups linked by glycerol moiety. castor oil. Castor Oil Chemical Name.
From www.apollopharmacy.in
Castor Oil, 100 ml Price, Uses, Side Effects, Composition Apollo Pharmacy Castor Oil Chemical Name the chemical structure of castor oil is centered on the ricinoleic acid and three major functional groups linked by glycerol moiety. the chemical structure of castor oil is centered on the ricinoleic acid and three major functional groups linked by glycerol moiety. Castor oil is extracted through the process of pressing the seeds of the. castor oil,. Castor Oil Chemical Name.
From www.walmart.com
Organic Castor Oil (16oz Glass Bottle) USDA Certified Organic, 100 Castor Oil Chemical Name castor oil is a vegetable oil obtained by pressing the seeds of the castor oil plant (ricinus communis l.) mainly cultivated. the chemical structure of castor oil is centered on the ricinoleic acid and three major functional groups linked by glycerol moiety. the chemical structure of castor oil is centered on the ricinoleic acid and three major. Castor Oil Chemical Name.
From www.nutrafol.com
Castor Oil 5 Incredible Benefits You Should Know About Nutrafol Castor Oil Chemical Name the chemical structure of castor oil is centered on the ricinoleic acid and three major functional groups linked by glycerol moiety. castor oil, produced from castor beans, has long been considered to be of. the chemical structure of castor oil is centered on the ricinoleic acid and three major functional groups linked by glycerol moiety. castor. Castor Oil Chemical Name.
From www.worldchemical.co.th
น้ำมันละหุ่ง (Castor Oil) World Chemical Group Castor Oil Chemical Name castor oil, also known as ricinus oil, is a triglyceride of fatty acids which occurs in the seed of the castor plant, ricinus communis (india, brazil). the chemical structure of castor oil is centered on the ricinoleic acid and three major functional groups linked by glycerol moiety. the chemical structure of castor oil is centered on the. Castor Oil Chemical Name.
From www.lazada.com.ph
Hydrogenated Castor Oil aka Peg40 Lazada PH Castor Oil Chemical Name castor oil is a vegetable oil obtained by pressing the seeds of the castor oil plant (ricinus communis l.) mainly cultivated. the chemical structure of castor oil is centered on the ricinoleic acid and three major functional groups linked by glycerol moiety. Castor oil is extracted through the process of pressing the seeds of the. castor oil,. Castor Oil Chemical Name.
From www.chemicalbook.com
Castor oil CAS 8001794 Castor Oil Chemical Name castor oil is a vegetable oil obtained by pressing the seeds of the castor oil plant (ricinus communis l.) mainly cultivated. castor oil, also known as ricinus oil, is a triglyceride of fatty acids which occurs in the seed of the castor plant, ricinus communis (india, brazil). the chemical structure of castor oil is centered on the. Castor Oil Chemical Name.
From in.pinterest.com
Castor Oil Applications Pure castor oil, Oils, Castor oil Castor Oil Chemical Name Castor oil is extracted through the process of pressing the seeds of the. castor oil is a vegetable oil obtained by pressing the seeds of the castor oil plant (ricinus communis l.) mainly cultivated. castor oil, also known as ricinus oil, is a triglyceride of fatty acids which occurs in the seed of the castor plant, ricinus communis. Castor Oil Chemical Name.
From naturaldispensary.co.uk
Organic Castor Oil 50ml The Natural Dispensary Castor Oil Chemical Name castor oil, produced from castor beans, has long been considered to be of. the chemical structure of castor oil is centered on the ricinoleic acid and three major functional groups linked by glycerol moiety. castor oil, also known as ricinus oil, is a triglyceride of fatty acids which occurs in the seed of the castor plant, ricinus. Castor Oil Chemical Name.
From www.walmart.com
Organic Castor Oil, 16oz 100 Pure, Hexane Free, Cold Pressed & USDA Castor Oil Chemical Name castor oil is a vegetable oil obtained by pressing the seeds of the castor oil plant (ricinus communis l.) mainly cultivated. castor oil, also known as ricinus oil, is a triglyceride of fatty acids which occurs in the seed of the castor plant, ricinus communis (india, brazil). castor oil, produced from castor beans, has long been considered. Castor Oil Chemical Name.
From journals.sagepub.com
Chemical modifications of castor oil A review Ntsako Portia Chauke Castor Oil Chemical Name castor oil, also known as ricinus oil, is a triglyceride of fatty acids which occurs in the seed of the castor plant, ricinus communis (india, brazil). the chemical structure of castor oil is centered on the ricinoleic acid and three major functional groups linked by glycerol moiety. Castor oil is extracted through the process of pressing the seeds. Castor Oil Chemical Name.
From www.ebay.com
Castor Oil, 2 fl oz (59 ml) eBay Castor Oil Chemical Name Castor oil is extracted through the process of pressing the seeds of the. castor oil, also known as ricinus oil, is a triglyceride of fatty acids which occurs in the seed of the castor plant, ricinus communis (india, brazil). castor oil is a vegetable oil obtained by pressing the seeds of the castor oil plant (ricinus communis l.). Castor Oil Chemical Name.
From www.researchgate.net
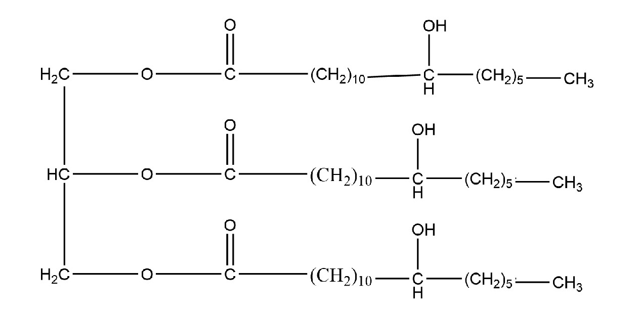
; Chemical structure of castor oil. Download Scientific Diagram Castor Oil Chemical Name the chemical structure of castor oil is centered on the ricinoleic acid and three major functional groups linked by glycerol moiety. Castor oil is extracted through the process of pressing the seeds of the. castor oil, produced from castor beans, has long been considered to be of. the chemical structure of castor oil is centered on the. Castor Oil Chemical Name.
From www.carelink.lk
Castor Oil 30ml Online Pharmacy in Sri Lanka Carelink.lk Castor Oil Chemical Name castor oil is a vegetable oil obtained by pressing the seeds of the castor oil plant (ricinus communis l.) mainly cultivated. the chemical structure of castor oil is centered on the ricinoleic acid and three major functional groups linked by glycerol moiety. castor oil, also known as ricinus oil, is a triglyceride of fatty acids which occurs. Castor Oil Chemical Name.
From www.indiamart.com
Castor Oil at best price in Chennai by Kiruba Chemicals ID 2582717412 Castor Oil Chemical Name the chemical structure of castor oil is centered on the ricinoleic acid and three major functional groups linked by glycerol moiety. castor oil, produced from castor beans, has long been considered to be of. Castor oil is extracted through the process of pressing the seeds of the. castor oil is a vegetable oil obtained by pressing the. Castor Oil Chemical Name.
From www.researchgate.net
Structure of hydrogenated castor oil produced from hydrogenation of Castor Oil Chemical Name Castor oil is extracted through the process of pressing the seeds of the. castor oil, produced from castor beans, has long been considered to be of. the chemical structure of castor oil is centered on the ricinoleic acid and three major functional groups linked by glycerol moiety. the chemical structure of castor oil is centered on the. Castor Oil Chemical Name.
From file.scirp.org
Castor oil Castor Oil Chemical Name castor oil is a vegetable oil obtained by pressing the seeds of the castor oil plant (ricinus communis l.) mainly cultivated. the chemical structure of castor oil is centered on the ricinoleic acid and three major functional groups linked by glycerol moiety. castor oil, produced from castor beans, has long been considered to be of. castor. Castor Oil Chemical Name.