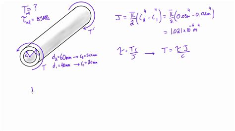
Norma Oscar Blog