Strontium Chloride Empirical Formula . Strontium chloride is a salt of strontium and chlorine with the chemical formula srcl2. Find the formula, molecular weight, cas registry number, and gas phase thermochemistry data of strontium chloride. The strontium chloride chemical formula is srcl 2 and it has two forms: The anhydrous and the hydrated form. Learn how to write the chemical formula for a simple ionic compound, such as strontium chloride, from the charges and ratios of the ions. Chemical formula for strontium chloride. Learn how to determine the empirical formula of a compound from its percent composition using molar masses and whole. Learn about its structure, physical and chemical. See examples, conventions, and methods for. Have a question about using wolfram|alpha?.
from www.numerade.com
The strontium chloride chemical formula is srcl 2 and it has two forms: Learn how to determine the empirical formula of a compound from its percent composition using molar masses and whole. Find the formula, molecular weight, cas registry number, and gas phase thermochemistry data of strontium chloride. Chemical formula for strontium chloride. The anhydrous and the hydrated form. Strontium chloride is a salt of strontium and chlorine with the chemical formula srcl2. Learn how to write the chemical formula for a simple ionic compound, such as strontium chloride, from the charges and ratios of the ions. Have a question about using wolfram|alpha?. See examples, conventions, and methods for. Learn about its structure, physical and chemical.
SOLVED Chemistry Worksheet Name Lewis Dot Structures Block Write the
Strontium Chloride Empirical Formula See examples, conventions, and methods for. See examples, conventions, and methods for. Have a question about using wolfram|alpha?. Learn how to write the chemical formula for a simple ionic compound, such as strontium chloride, from the charges and ratios of the ions. Strontium chloride is a salt of strontium and chlorine with the chemical formula srcl2. The strontium chloride chemical formula is srcl 2 and it has two forms: Learn about its structure, physical and chemical. The anhydrous and the hydrated form. Find the formula, molecular weight, cas registry number, and gas phase thermochemistry data of strontium chloride. Learn how to determine the empirical formula of a compound from its percent composition using molar masses and whole. Chemical formula for strontium chloride.
From www.youtube.com
How to write chemical formula of Strontium ChlorideStrontium Chloride Strontium Chloride Empirical Formula Find the formula, molecular weight, cas registry number, and gas phase thermochemistry data of strontium chloride. Chemical formula for strontium chloride. Have a question about using wolfram|alpha?. Learn how to write the chemical formula for a simple ionic compound, such as strontium chloride, from the charges and ratios of the ions. Strontium chloride is a salt of strontium and chlorine. Strontium Chloride Empirical Formula.
From byjus.com
SrCl2 Strontium chloride Structure, Molecular Mass, Properties and Uses Strontium Chloride Empirical Formula Learn how to determine the empirical formula of a compound from its percent composition using molar masses and whole. Learn about its structure, physical and chemical. The anhydrous and the hydrated form. Strontium chloride is a salt of strontium and chlorine with the chemical formula srcl2. See examples, conventions, and methods for. Have a question about using wolfram|alpha?. Chemical formula. Strontium Chloride Empirical Formula.
From www.fishersci.ca
Strontium chloride, anhydrous, 99.5 (metals basis), Thermo Scientific Strontium Chloride Empirical Formula Learn how to write the chemical formula for a simple ionic compound, such as strontium chloride, from the charges and ratios of the ions. Have a question about using wolfram|alpha?. Find the formula, molecular weight, cas registry number, and gas phase thermochemistry data of strontium chloride. See examples, conventions, and methods for. Chemical formula for strontium chloride. Strontium chloride is. Strontium Chloride Empirical Formula.
From www.youtube.com
Equation for Na3PO4 + H2O (Sodium phosphate + Water) YouTube Strontium Chloride Empirical Formula Learn how to write the chemical formula for a simple ionic compound, such as strontium chloride, from the charges and ratios of the ions. Chemical formula for strontium chloride. Strontium chloride is a salt of strontium and chlorine with the chemical formula srcl2. Learn about its structure, physical and chemical. See examples, conventions, and methods for. The anhydrous and the. Strontium Chloride Empirical Formula.
From www.shutterstock.com
Strontium Chloride Srcl2 Molecule Simple Molecular Stock Vector Strontium Chloride Empirical Formula Learn about its structure, physical and chemical. Strontium chloride is a salt of strontium and chlorine with the chemical formula srcl2. Chemical formula for strontium chloride. The strontium chloride chemical formula is srcl 2 and it has two forms: Learn how to determine the empirical formula of a compound from its percent composition using molar masses and whole. See examples,. Strontium Chloride Empirical Formula.
From testbook.com
Strontium Chloride Learn About Its Properties, Formula & Uses Strontium Chloride Empirical Formula Learn how to write the chemical formula for a simple ionic compound, such as strontium chloride, from the charges and ratios of the ions. Learn about its structure, physical and chemical. Chemical formula for strontium chloride. Find the formula, molecular weight, cas registry number, and gas phase thermochemistry data of strontium chloride. The strontium chloride chemical formula is srcl 2. Strontium Chloride Empirical Formula.
From www.chegg.com
Solved Strontium chloride and sodium fluoride react to form Strontium Chloride Empirical Formula Have a question about using wolfram|alpha?. The strontium chloride chemical formula is srcl 2 and it has two forms: Learn how to determine the empirical formula of a compound from its percent composition using molar masses and whole. Chemical formula for strontium chloride. See examples, conventions, and methods for. Learn how to write the chemical formula for a simple ionic. Strontium Chloride Empirical Formula.
From www.chegg.com
Solved Determine the enthalpy of formation of strontium Strontium Chloride Empirical Formula Chemical formula for strontium chloride. Have a question about using wolfram|alpha?. Learn how to write the chemical formula for a simple ionic compound, such as strontium chloride, from the charges and ratios of the ions. The anhydrous and the hydrated form. Find the formula, molecular weight, cas registry number, and gas phase thermochemistry data of strontium chloride. The strontium chloride. Strontium Chloride Empirical Formula.
From www.grainger.com
10025704, F.W. 266.62, Strontium Chloride, Hexahydrate, Crystal Strontium Chloride Empirical Formula Have a question about using wolfram|alpha?. See examples, conventions, and methods for. The anhydrous and the hydrated form. Learn about its structure, physical and chemical. Learn how to determine the empirical formula of a compound from its percent composition using molar masses and whole. Learn how to write the chemical formula for a simple ionic compound, such as strontium chloride,. Strontium Chloride Empirical Formula.
From www.sciencephoto.com
Strontium chloride Stock Image C028/0724 Science Photo Library Strontium Chloride Empirical Formula Strontium chloride is a salt of strontium and chlorine with the chemical formula srcl2. Learn how to determine the empirical formula of a compound from its percent composition using molar masses and whole. Learn about its structure, physical and chemical. The anhydrous and the hydrated form. The strontium chloride chemical formula is srcl 2 and it has two forms: Have. Strontium Chloride Empirical Formula.
From www.sciencephoto.com
Strontium chloride Stock Image C028/0723 Science Photo Library Strontium Chloride Empirical Formula Strontium chloride is a salt of strontium and chlorine with the chemical formula srcl2. See examples, conventions, and methods for. Have a question about using wolfram|alpha?. Learn how to write the chemical formula for a simple ionic compound, such as strontium chloride, from the charges and ratios of the ions. Learn how to determine the empirical formula of a compound. Strontium Chloride Empirical Formula.
From www.shutterstock.com
Strontium Chloride Formula Handwritten Chemical Formula Stock Strontium Chloride Empirical Formula Learn about its structure, physical and chemical. Chemical formula for strontium chloride. Find the formula, molecular weight, cas registry number, and gas phase thermochemistry data of strontium chloride. Learn how to determine the empirical formula of a compound from its percent composition using molar masses and whole. Have a question about using wolfram|alpha?. Learn how to write the chemical formula. Strontium Chloride Empirical Formula.
From studylib.net
empirical formula Strontium Chloride Empirical Formula Strontium chloride is a salt of strontium and chlorine with the chemical formula srcl2. Learn about its structure, physical and chemical. Learn how to write the chemical formula for a simple ionic compound, such as strontium chloride, from the charges and ratios of the ions. Learn how to determine the empirical formula of a compound from its percent composition using. Strontium Chloride Empirical Formula.
From www.numerade.com
SOLVED Chemistry Worksheet Name Lewis Dot Structures Block Write the Strontium Chloride Empirical Formula Strontium chloride is a salt of strontium and chlorine with the chemical formula srcl2. Learn how to determine the empirical formula of a compound from its percent composition using molar masses and whole. Find the formula, molecular weight, cas registry number, and gas phase thermochemistry data of strontium chloride. The strontium chloride chemical formula is srcl 2 and it has. Strontium Chloride Empirical Formula.
From www.numerade.com
SOLVED '3.) Draw a BornHaber cycle for the formation of strontium Strontium Chloride Empirical Formula Learn how to determine the empirical formula of a compound from its percent composition using molar masses and whole. The anhydrous and the hydrated form. Chemical formula for strontium chloride. Learn how to write the chemical formula for a simple ionic compound, such as strontium chloride, from the charges and ratios of the ions. Learn about its structure, physical and. Strontium Chloride Empirical Formula.
From depositphotos.com
Strontium Chloride Properties Chemical Compound Structure Vector Design Strontium Chloride Empirical Formula Find the formula, molecular weight, cas registry number, and gas phase thermochemistry data of strontium chloride. Strontium chloride is a salt of strontium and chlorine with the chemical formula srcl2. Chemical formula for strontium chloride. Learn about its structure, physical and chemical. Learn how to write the chemical formula for a simple ionic compound, such as strontium chloride, from the. Strontium Chloride Empirical Formula.
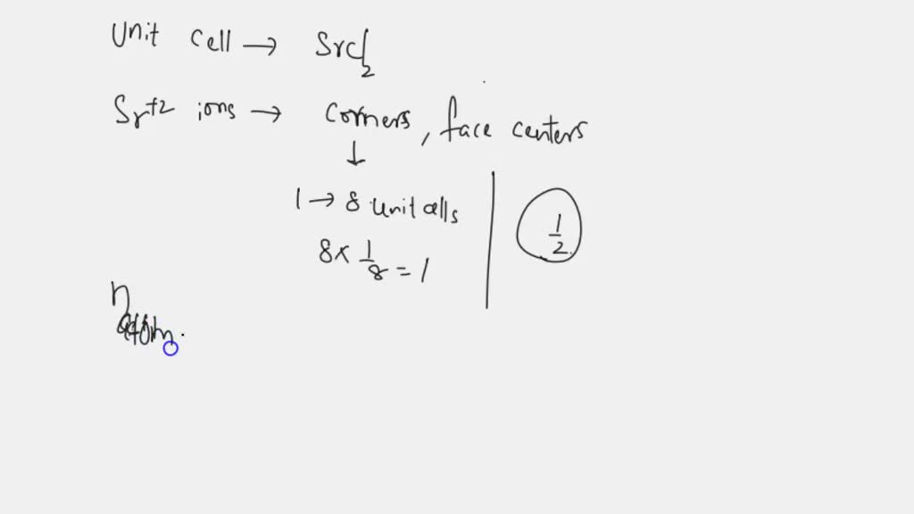
From www.numerade.com
SOLVED Solic strontium chloride has crystal structure With the cubic Strontium Chloride Empirical Formula Chemical formula for strontium chloride. The anhydrous and the hydrated form. Strontium chloride is a salt of strontium and chlorine with the chemical formula srcl2. Learn how to determine the empirical formula of a compound from its percent composition using molar masses and whole. See examples, conventions, and methods for. Find the formula, molecular weight, cas registry number, and gas. Strontium Chloride Empirical Formula.
From geteducationbee.com
Empirical Formula Definition, Calculator, Best Examples Get Education Bee Strontium Chloride Empirical Formula Find the formula, molecular weight, cas registry number, and gas phase thermochemistry data of strontium chloride. The anhydrous and the hydrated form. See examples, conventions, and methods for. Strontium chloride is a salt of strontium and chlorine with the chemical formula srcl2. Learn how to determine the empirical formula of a compound from its percent composition using molar masses and. Strontium Chloride Empirical Formula.
From www.ceramic-glazes.com
Strontium Chloride Exploring the Versatility and Applications srcl Strontium Chloride Empirical Formula The anhydrous and the hydrated form. Have a question about using wolfram|alpha?. See examples, conventions, and methods for. Chemical formula for strontium chloride. Learn how to determine the empirical formula of a compound from its percent composition using molar masses and whole. Learn how to write the chemical formula for a simple ionic compound, such as strontium chloride, from the. Strontium Chloride Empirical Formula.
From edward-has-cline.blogspot.com
What Is the Chemical Formula for Strontium Chloride EdwardhasCline Strontium Chloride Empirical Formula Have a question about using wolfram|alpha?. Chemical formula for strontium chloride. Learn how to write the chemical formula for a simple ionic compound, such as strontium chloride, from the charges and ratios of the ions. Strontium chloride is a salt of strontium and chlorine with the chemical formula srcl2. Learn about its structure, physical and chemical. See examples, conventions, and. Strontium Chloride Empirical Formula.
From www.youtube.com
How to Draw the Lewis Dot Structure for SrCl2 Strontium chloride YouTube Strontium Chloride Empirical Formula Learn about its structure, physical and chemical. Learn how to determine the empirical formula of a compound from its percent composition using molar masses and whole. The anhydrous and the hydrated form. Find the formula, molecular weight, cas registry number, and gas phase thermochemistry data of strontium chloride. Chemical formula for strontium chloride. Learn how to write the chemical formula. Strontium Chloride Empirical Formula.
From www.youtube.com
How to Write the Formula for Strontium chlorite YouTube Strontium Chloride Empirical Formula Learn how to write the chemical formula for a simple ionic compound, such as strontium chloride, from the charges and ratios of the ions. Learn how to determine the empirical formula of a compound from its percent composition using molar masses and whole. Have a question about using wolfram|alpha?. Find the formula, molecular weight, cas registry number, and gas phase. Strontium Chloride Empirical Formula.
From www.youtube.com
Write the complete ionic equation and the net ionic equation for the Strontium Chloride Empirical Formula Strontium chloride is a salt of strontium and chlorine with the chemical formula srcl2. See examples, conventions, and methods for. Learn about its structure, physical and chemical. Chemical formula for strontium chloride. Have a question about using wolfram|alpha?. Find the formula, molecular weight, cas registry number, and gas phase thermochemistry data of strontium chloride. The strontium chloride chemical formula is. Strontium Chloride Empirical Formula.
From www.chegg.com
Solved The reaction between strontium chloride and lithium Strontium Chloride Empirical Formula Find the formula, molecular weight, cas registry number, and gas phase thermochemistry data of strontium chloride. The strontium chloride chemical formula is srcl 2 and it has two forms: Chemical formula for strontium chloride. Learn how to write the chemical formula for a simple ionic compound, such as strontium chloride, from the charges and ratios of the ions. Learn about. Strontium Chloride Empirical Formula.
From www.youtube.com
How to Write the Net Ionic Equation for SrCl2 + Na2CO3 = NaCl + SrCO3 Strontium Chloride Empirical Formula See examples, conventions, and methods for. Strontium chloride is a salt of strontium and chlorine with the chemical formula srcl2. Learn how to write the chemical formula for a simple ionic compound, such as strontium chloride, from the charges and ratios of the ions. Find the formula, molecular weight, cas registry number, and gas phase thermochemistry data of strontium chloride.. Strontium Chloride Empirical Formula.
From testbook.com
Strontium Chloride Formula Learn Structure, Properties, and Uses Strontium Chloride Empirical Formula Find the formula, molecular weight, cas registry number, and gas phase thermochemistry data of strontium chloride. The strontium chloride chemical formula is srcl 2 and it has two forms: The anhydrous and the hydrated form. Chemical formula for strontium chloride. Learn about its structure, physical and chemical. See examples, conventions, and methods for. Strontium chloride is a salt of strontium. Strontium Chloride Empirical Formula.
From www.pw.live
Strontium Chloride Formula, Structure, Properties, Uses Strontium Chloride Empirical Formula Learn how to write the chemical formula for a simple ionic compound, such as strontium chloride, from the charges and ratios of the ions. The strontium chloride chemical formula is srcl 2 and it has two forms: Chemical formula for strontium chloride. Find the formula, molecular weight, cas registry number, and gas phase thermochemistry data of strontium chloride. Strontium chloride. Strontium Chloride Empirical Formula.
From www.grainger.com
10025704, F.W. 266.62, Strontium Chloride, Hexahydrate, Crystal Strontium Chloride Empirical Formula See examples, conventions, and methods for. Have a question about using wolfram|alpha?. Find the formula, molecular weight, cas registry number, and gas phase thermochemistry data of strontium chloride. Chemical formula for strontium chloride. The strontium chloride chemical formula is srcl 2 and it has two forms: Strontium chloride is a salt of strontium and chlorine with the chemical formula srcl2.. Strontium Chloride Empirical Formula.
From www.numerade.com
SOLVED POSTLABORATORY ASSIGNMENT Refer t0 the periodic table and Strontium Chloride Empirical Formula Learn how to write the chemical formula for a simple ionic compound, such as strontium chloride, from the charges and ratios of the ions. Learn about its structure, physical and chemical. The strontium chloride chemical formula is srcl 2 and it has two forms: Find the formula, molecular weight, cas registry number, and gas phase thermochemistry data of strontium chloride.. Strontium Chloride Empirical Formula.
From www.youtube.com
How to Balance Sr + Cl2 = SrCl2 (and Type of Reaction) YouTube Strontium Chloride Empirical Formula Find the formula, molecular weight, cas registry number, and gas phase thermochemistry data of strontium chloride. Learn how to write the chemical formula for a simple ionic compound, such as strontium chloride, from the charges and ratios of the ions. The strontium chloride chemical formula is srcl 2 and it has two forms: Have a question about using wolfram|alpha?. The. Strontium Chloride Empirical Formula.
From www.numerade.com
SOLVED Sodium carbonate and sulfuric acid Molecular Equation Complete Strontium Chloride Empirical Formula Learn about its structure, physical and chemical. Learn how to determine the empirical formula of a compound from its percent composition using molar masses and whole. Chemical formula for strontium chloride. Find the formula, molecular weight, cas registry number, and gas phase thermochemistry data of strontium chloride. See examples, conventions, and methods for. The anhydrous and the hydrated form. Strontium. Strontium Chloride Empirical Formula.
From slideplayer.com
© 2013 Pearson Education, Inc. Catherine MacGowan Armstrong Atlantic Strontium Chloride Empirical Formula Chemical formula for strontium chloride. Have a question about using wolfram|alpha?. Learn about its structure, physical and chemical. Learn how to determine the empirical formula of a compound from its percent composition using molar masses and whole. Strontium chloride is a salt of strontium and chlorine with the chemical formula srcl2. Find the formula, molecular weight, cas registry number, and. Strontium Chloride Empirical Formula.
From stock.adobe.com
Strontium Chloride SrCl2 molecule. Simple molecular formula consisting Strontium Chloride Empirical Formula Chemical formula for strontium chloride. The strontium chloride chemical formula is srcl 2 and it has two forms: Have a question about using wolfram|alpha?. Learn about its structure, physical and chemical. Learn how to determine the empirical formula of a compound from its percent composition using molar masses and whole. Find the formula, molecular weight, cas registry number, and gas. Strontium Chloride Empirical Formula.
From www.slideserve.com
PPT EMPIRICAL FORMULA PowerPoint Presentation, free download ID662576 Strontium Chloride Empirical Formula The anhydrous and the hydrated form. Learn how to write the chemical formula for a simple ionic compound, such as strontium chloride, from the charges and ratios of the ions. Chemical formula for strontium chloride. Learn about its structure, physical and chemical. Strontium chloride is a salt of strontium and chlorine with the chemical formula srcl2. See examples, conventions, and. Strontium Chloride Empirical Formula.
From www.shutterstock.com
Strontium Chloride Properties Chemical Compound Structure Stock Vector Strontium Chloride Empirical Formula Learn about its structure, physical and chemical. See examples, conventions, and methods for. Chemical formula for strontium chloride. Have a question about using wolfram|alpha?. Find the formula, molecular weight, cas registry number, and gas phase thermochemistry data of strontium chloride. Learn how to determine the empirical formula of a compound from its percent composition using molar masses and whole. The. Strontium Chloride Empirical Formula.