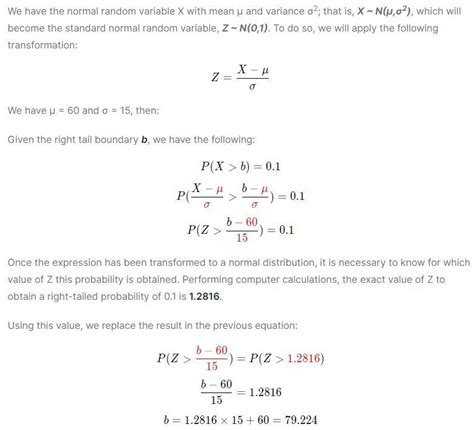
Dora Knauer Blog