Fluoride Instructions . Please follow these instructions following your fluoride varnish treatment. Today your teeth have been treated with 5% sodium fluoride varnish. Fluoride helps prevent tooth decay by making the tooth more resistant to acid attacks from plaque bacteria and sugars in the mouth. Directions for care after treatment. This fluoride varnish guide aims to answer commonly asked questions regarding the appropriate time frame for your child to eat or drink following the procedure. Follow these tips for the best results, including avoiding brushing for 6 hours. Fluoride varnish is a quick and easy treatment used to protect teeth and strengthen enamel. Learn how to care for your teeth after a fluoride varnish treatment. Fluoride varnish has been used in europe for decades and use is increasing in the u.s. This guide will walk you through what fluoride varnish is, how it’s applied, and what you can expect during and after the procedure. Adding in professional fluoride treatment can create an extra layer of protection against decay. Understanding the guidelines for eating and drinking after the application of fluoride varnish is crucial for maximizing its benefits.
from slideplayer.com
Directions for care after treatment. Understanding the guidelines for eating and drinking after the application of fluoride varnish is crucial for maximizing its benefits. Fluoride varnish is a quick and easy treatment used to protect teeth and strengthen enamel. Fluoride varnish has been used in europe for decades and use is increasing in the u.s. Learn how to care for your teeth after a fluoride varnish treatment. Follow these tips for the best results, including avoiding brushing for 6 hours. Adding in professional fluoride treatment can create an extra layer of protection against decay. Fluoride helps prevent tooth decay by making the tooth more resistant to acid attacks from plaque bacteria and sugars in the mouth. This guide will walk you through what fluoride varnish is, how it’s applied, and what you can expect during and after the procedure. This fluoride varnish guide aims to answer commonly asked questions regarding the appropriate time frame for your child to eat or drink following the procedure.
FLUORIDE USE IN DENTISTRY ppt download
Fluoride Instructions This fluoride varnish guide aims to answer commonly asked questions regarding the appropriate time frame for your child to eat or drink following the procedure. Understanding the guidelines for eating and drinking after the application of fluoride varnish is crucial for maximizing its benefits. This fluoride varnish guide aims to answer commonly asked questions regarding the appropriate time frame for your child to eat or drink following the procedure. Today your teeth have been treated with 5% sodium fluoride varnish. Follow these tips for the best results, including avoiding brushing for 6 hours. Fluoride varnish has been used in europe for decades and use is increasing in the u.s. Please follow these instructions following your fluoride varnish treatment. Adding in professional fluoride treatment can create an extra layer of protection against decay. Directions for care after treatment. Learn how to care for your teeth after a fluoride varnish treatment. This guide will walk you through what fluoride varnish is, how it’s applied, and what you can expect during and after the procedure. Fluoride varnish is a quick and easy treatment used to protect teeth and strengthen enamel. Fluoride helps prevent tooth decay by making the tooth more resistant to acid attacks from plaque bacteria and sugars in the mouth.
From www.contemporarypediatrics.com
Pediatric oral health Fluoride use Fluoride Instructions Adding in professional fluoride treatment can create an extra layer of protection against decay. Directions for care after treatment. Understanding the guidelines for eating and drinking after the application of fluoride varnish is crucial for maximizing its benefits. This guide will walk you through what fluoride varnish is, how it’s applied, and what you can expect during and after the. Fluoride Instructions.
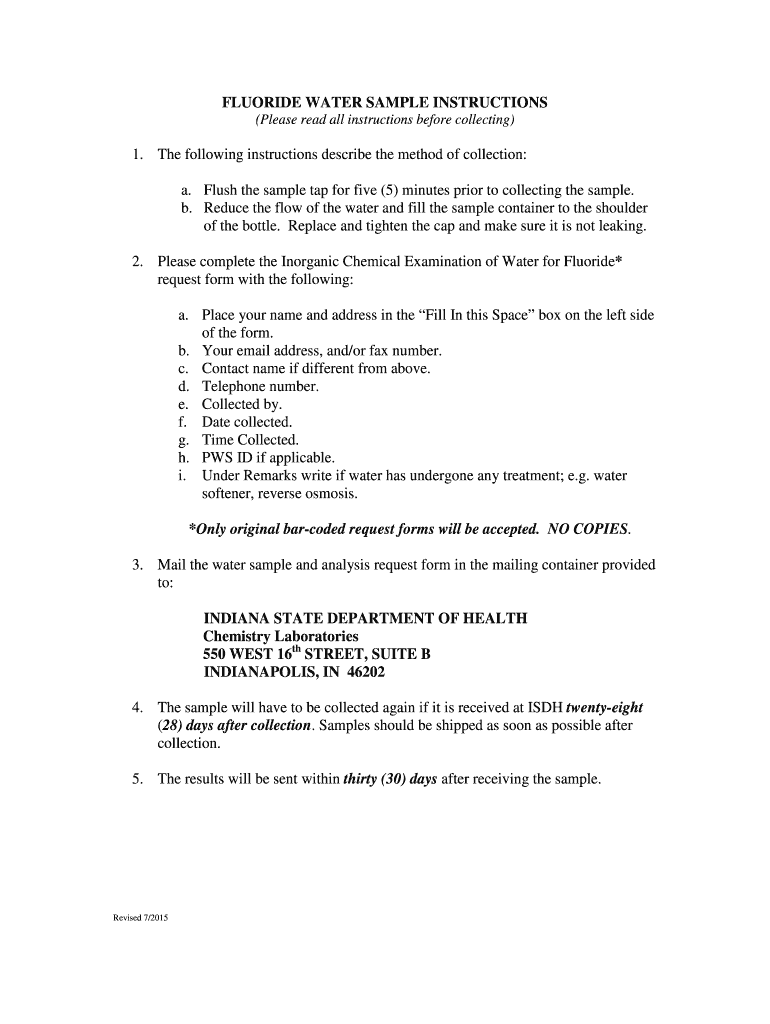
From www.pdffiller.com
Fillable Online FLUORIDE WATER SAMPLE INSTRUCTIONS Fax Email Print Fluoride Instructions Follow these tips for the best results, including avoiding brushing for 6 hours. Please follow these instructions following your fluoride varnish treatment. Understanding the guidelines for eating and drinking after the application of fluoride varnish is crucial for maximizing its benefits. Fluoride helps prevent tooth decay by making the tooth more resistant to acid attacks from plaque bacteria and sugars. Fluoride Instructions.
From www.cornerstonedentalwf.com
Fluoride Varnish Cornerstone Dental Fluoride Instructions This fluoride varnish guide aims to answer commonly asked questions regarding the appropriate time frame for your child to eat or drink following the procedure. Learn how to care for your teeth after a fluoride varnish treatment. Directions for care after treatment. Adding in professional fluoride treatment can create an extra layer of protection against decay. Fluoride varnish is a. Fluoride Instructions.
From www.scribd.com
Fluoride Instructions For Collecting Compliance Water Samples For PDF Fluoride Instructions Adding in professional fluoride treatment can create an extra layer of protection against decay. Fluoride varnish is a quick and easy treatment used to protect teeth and strengthen enamel. Understanding the guidelines for eating and drinking after the application of fluoride varnish is crucial for maximizing its benefits. Follow these tips for the best results, including avoiding brushing for 6. Fluoride Instructions.
From www.mdpi.com
The CariesArrest Effectiveness of Silver Diamine Fluoride Treatment Fluoride Instructions This fluoride varnish guide aims to answer commonly asked questions regarding the appropriate time frame for your child to eat or drink following the procedure. Directions for care after treatment. Fluoride varnish has been used in europe for decades and use is increasing in the u.s. Adding in professional fluoride treatment can create an extra layer of protection against decay.. Fluoride Instructions.
From www.youtube.com
SDF Application Tutorial with Advantage Arrest Silver Diamine Fluoride Fluoride Instructions Learn how to care for your teeth after a fluoride varnish treatment. Please follow these instructions following your fluoride varnish treatment. Today your teeth have been treated with 5% sodium fluoride varnish. This guide will walk you through what fluoride varnish is, how it’s applied, and what you can expect during and after the procedure. Adding in professional fluoride treatment. Fluoride Instructions.
From www.robstownsmiles.com
5 Things to Know About Topical Fluoride Treatment Robstown Smiles Fluoride Instructions Today your teeth have been treated with 5% sodium fluoride varnish. This guide will walk you through what fluoride varnish is, how it’s applied, and what you can expect during and after the procedure. Directions for care after treatment. Fluoride varnish is a quick and easy treatment used to protect teeth and strengthen enamel. Fluoride varnish has been used in. Fluoride Instructions.
From www.drkatarmal.com
How Fluoride Prevent Tooth Decay Dr. Bharat Katarmal Dental & Implant Fluoride Instructions This guide will walk you through what fluoride varnish is, how it’s applied, and what you can expect during and after the procedure. Today your teeth have been treated with 5% sodium fluoride varnish. Adding in professional fluoride treatment can create an extra layer of protection against decay. Understanding the guidelines for eating and drinking after the application of fluoride. Fluoride Instructions.
From theelitedental.com
What is Fluoride treatment? Elite Dental Care Fluoride Instructions Directions for care after treatment. Today your teeth have been treated with 5% sodium fluoride varnish. This guide will walk you through what fluoride varnish is, how it’s applied, and what you can expect during and after the procedure. Understanding the guidelines for eating and drinking after the application of fluoride varnish is crucial for maximizing its benefits. Follow these. Fluoride Instructions.
From slideplayer.com
FLUORIDE USE IN DENTISTRY ppt download Fluoride Instructions Today your teeth have been treated with 5% sodium fluoride varnish. Fluoride varnish is a quick and easy treatment used to protect teeth and strengthen enamel. Understanding the guidelines for eating and drinking after the application of fluoride varnish is crucial for maximizing its benefits. Fluoride varnish has been used in europe for decades and use is increasing in the. Fluoride Instructions.
From www.drlanadds.com
What is Silver Diamine Fluoride? Fluoride Instructions Today your teeth have been treated with 5% sodium fluoride varnish. This guide will walk you through what fluoride varnish is, how it’s applied, and what you can expect during and after the procedure. Please follow these instructions following your fluoride varnish treatment. Fluoride varnish is a quick and easy treatment used to protect teeth and strengthen enamel. Fluoride helps. Fluoride Instructions.
From www.drugs.com
Fluoride Treatment Package Insert Fluoride Instructions Please follow these instructions following your fluoride varnish treatment. Learn how to care for your teeth after a fluoride varnish treatment. Fluoride helps prevent tooth decay by making the tooth more resistant to acid attacks from plaque bacteria and sugars in the mouth. Fluoride varnish is a quick and easy treatment used to protect teeth and strengthen enamel. Understanding the. Fluoride Instructions.
From www.slideserve.com
PPT How to Apply Fluoride Varnish PowerPoint Presentation ID727603 Fluoride Instructions This fluoride varnish guide aims to answer commonly asked questions regarding the appropriate time frame for your child to eat or drink following the procedure. Fluoride helps prevent tooth decay by making the tooth more resistant to acid attacks from plaque bacteria and sugars in the mouth. Fluoride varnish is a quick and easy treatment used to protect teeth and. Fluoride Instructions.
From www.youtube.com
How to Apply Enamelast Fluoride Varnish StepbyStep YouTube Fluoride Instructions Adding in professional fluoride treatment can create an extra layer of protection against decay. This fluoride varnish guide aims to answer commonly asked questions regarding the appropriate time frame for your child to eat or drink following the procedure. Fluoride varnish is a quick and easy treatment used to protect teeth and strengthen enamel. Fluoride varnish has been used in. Fluoride Instructions.
From www.hygieneedge.com
Fluoride Varnish Post Op Handout — Hygiene Edge Fluoride Instructions Learn how to care for your teeth after a fluoride varnish treatment. Adding in professional fluoride treatment can create an extra layer of protection against decay. Directions for care after treatment. Today your teeth have been treated with 5% sodium fluoride varnish. Fluoride helps prevent tooth decay by making the tooth more resistant to acid attacks from plaque bacteria and. Fluoride Instructions.
From www.hhs.nd.gov
Fluoride Varnish Training Health and Human Services North Dakota Fluoride Instructions Adding in professional fluoride treatment can create an extra layer of protection against decay. Understanding the guidelines for eating and drinking after the application of fluoride varnish is crucial for maximizing its benefits. Fluoride varnish is a quick and easy treatment used to protect teeth and strengthen enamel. This guide will walk you through what fluoride varnish is, how it’s. Fluoride Instructions.
From mydentaladvocate.com
Fluoride Varnish vs. Fluoride Treatment (Differences) MDA Fluoride Instructions Fluoride varnish is a quick and easy treatment used to protect teeth and strengthen enamel. Adding in professional fluoride treatment can create an extra layer of protection against decay. Today your teeth have been treated with 5% sodium fluoride varnish. This fluoride varnish guide aims to answer commonly asked questions regarding the appropriate time frame for your child to eat. Fluoride Instructions.
From kidsteethandbraces.com
Silver Diamine Fluoride Affiliated Children's Dental Specialists Fluoride Instructions Fluoride helps prevent tooth decay by making the tooth more resistant to acid attacks from plaque bacteria and sugars in the mouth. Learn how to care for your teeth after a fluoride varnish treatment. Directions for care after treatment. Follow these tips for the best results, including avoiding brushing for 6 hours. Understanding the guidelines for eating and drinking after. Fluoride Instructions.
From schumerdentalpc.com
Fluoride Treatment Tucson Schumer Dental, PC Fluoride Instructions Today your teeth have been treated with 5% sodium fluoride varnish. This fluoride varnish guide aims to answer commonly asked questions regarding the appropriate time frame for your child to eat or drink following the procedure. Fluoride varnish has been used in europe for decades and use is increasing in the u.s. This guide will walk you through what fluoride. Fluoride Instructions.
From www.slideserve.com
PPT How to Apply Fluoride Varnish PowerPoint Presentation, free Fluoride Instructions This guide will walk you through what fluoride varnish is, how it’s applied, and what you can expect during and after the procedure. Understanding the guidelines for eating and drinking after the application of fluoride varnish is crucial for maximizing its benefits. Fluoride helps prevent tooth decay by making the tooth more resistant to acid attacks from plaque bacteria and. Fluoride Instructions.
From toothdental.com.au
silverdiaminefluoridefactsheet Tooth Dental Fluoride Instructions Today your teeth have been treated with 5% sodium fluoride varnish. Directions for care after treatment. This guide will walk you through what fluoride varnish is, how it’s applied, and what you can expect during and after the procedure. Fluoride varnish has been used in europe for decades and use is increasing in the u.s. Follow these tips for the. Fluoride Instructions.
From www.verywellhealth.com
Fluoride Benefits, Side Effects, Dosage, Interactions Fluoride Instructions Today your teeth have been treated with 5% sodium fluoride varnish. Adding in professional fluoride treatment can create an extra layer of protection against decay. Fluoride varnish has been used in europe for decades and use is increasing in the u.s. Understanding the guidelines for eating and drinking after the application of fluoride varnish is crucial for maximizing its benefits.. Fluoride Instructions.
From www.pinterest.com.au
Silver Diamine Fluoride can be used to arrest and treat dental decay in Fluoride Instructions Adding in professional fluoride treatment can create an extra layer of protection against decay. Understanding the guidelines for eating and drinking after the application of fluoride varnish is crucial for maximizing its benefits. Please follow these instructions following your fluoride varnish treatment. This guide will walk you through what fluoride varnish is, how it’s applied, and what you can expect. Fluoride Instructions.
From www.youtube.com
INSTRUCTIONS How to Replace Fluoride Pre Filter YouTube Fluoride Instructions Directions for care after treatment. Understanding the guidelines for eating and drinking after the application of fluoride varnish is crucial for maximizing its benefits. This guide will walk you through what fluoride varnish is, how it’s applied, and what you can expect during and after the procedure. Learn how to care for your teeth after a fluoride varnish treatment. Fluoride. Fluoride Instructions.
From mypurewater.com
Fluoride in Water A Comprehensive Guide Fluoride Instructions This guide will walk you through what fluoride varnish is, how it’s applied, and what you can expect during and after the procedure. Understanding the guidelines for eating and drinking after the application of fluoride varnish is crucial for maximizing its benefits. Learn how to care for your teeth after a fluoride varnish treatment. Fluoride helps prevent tooth decay by. Fluoride Instructions.
From www.templateroller.com
Download Instructions for DPH Fluoride Form A Daily Fluoridation Report Fluoride Instructions Understanding the guidelines for eating and drinking after the application of fluoride varnish is crucial for maximizing its benefits. Fluoride varnish has been used in europe for decades and use is increasing in the u.s. Please follow these instructions following your fluoride varnish treatment. This fluoride varnish guide aims to answer commonly asked questions regarding the appropriate time frame for. Fluoride Instructions.
From www.aegisdentalnetwork.com
Clinical Instructions for Using Silver Diamine Fluoride (SDF) in Dental Fluoride Instructions Learn how to care for your teeth after a fluoride varnish treatment. Please follow these instructions following your fluoride varnish treatment. Fluoride helps prevent tooth decay by making the tooth more resistant to acid attacks from plaque bacteria and sugars in the mouth. Directions for care after treatment. This guide will walk you through what fluoride varnish is, how it’s. Fluoride Instructions.
From slideplayer.com
Rural Challenges DSRIP & VBP ppt download Fluoride Instructions Follow these tips for the best results, including avoiding brushing for 6 hours. Fluoride varnish is a quick and easy treatment used to protect teeth and strengthen enamel. Learn how to care for your teeth after a fluoride varnish treatment. Today your teeth have been treated with 5% sodium fluoride varnish. This guide will walk you through what fluoride varnish. Fluoride Instructions.
From www.youtube.com
Prescription Fluoride Toothpaste Prevident Pro Tips How to Use Fluoride Instructions Please follow these instructions following your fluoride varnish treatment. Fluoride helps prevent tooth decay by making the tooth more resistant to acid attacks from plaque bacteria and sugars in the mouth. Learn how to care for your teeth after a fluoride varnish treatment. Directions for care after treatment. Follow these tips for the best results, including avoiding brushing for 6. Fluoride Instructions.
From www.caseyhein.com
For Physicians, Nurses and Other NonDental Healthcare Providers Fluoride Instructions Directions for care after treatment. Today your teeth have been treated with 5% sodium fluoride varnish. Learn how to care for your teeth after a fluoride varnish treatment. Fluoride helps prevent tooth decay by making the tooth more resistant to acid attacks from plaque bacteria and sugars in the mouth. Fluoride varnish has been used in europe for decades and. Fluoride Instructions.
From www.njda.org
Fluoridation Fluoride Instructions Fluoride helps prevent tooth decay by making the tooth more resistant to acid attacks from plaque bacteria and sugars in the mouth. Learn how to care for your teeth after a fluoride varnish treatment. Understanding the guidelines for eating and drinking after the application of fluoride varnish is crucial for maximizing its benefits. Fluoride varnish is a quick and easy. Fluoride Instructions.
From hxevnxdws.blob.core.windows.net
Fluoride Treatment How Often at Chester Courtney blog Fluoride Instructions Learn how to care for your teeth after a fluoride varnish treatment. Today your teeth have been treated with 5% sodium fluoride varnish. Directions for care after treatment. Follow these tips for the best results, including avoiding brushing for 6 hours. Please follow these instructions following your fluoride varnish treatment. Understanding the guidelines for eating and drinking after the application. Fluoride Instructions.
From paoralhealth.org
All About Fluoride (PCOH) PA Coalition for Oral Health Fluoride Instructions Follow these tips for the best results, including avoiding brushing for 6 hours. Adding in professional fluoride treatment can create an extra layer of protection against decay. Fluoride varnish is a quick and easy treatment used to protect teeth and strengthen enamel. This fluoride varnish guide aims to answer commonly asked questions regarding the appropriate time frame for your child. Fluoride Instructions.
From www.orohc.org
Water Fluoridation — Oregon Oral Health Coalition Fluoride Instructions Learn how to care for your teeth after a fluoride varnish treatment. Please follow these instructions following your fluoride varnish treatment. Today your teeth have been treated with 5% sodium fluoride varnish. Fluoride helps prevent tooth decay by making the tooth more resistant to acid attacks from plaque bacteria and sugars in the mouth. Adding in professional fluoride treatment can. Fluoride Instructions.
From www.researchgate.net
(PDF) Current Guidelines for the Use of Fluoride in Pediatric Dentistry Fluoride Instructions Fluoride helps prevent tooth decay by making the tooth more resistant to acid attacks from plaque bacteria and sugars in the mouth. Today your teeth have been treated with 5% sodium fluoride varnish. Directions for care after treatment. Adding in professional fluoride treatment can create an extra layer of protection against decay. Please follow these instructions following your fluoride varnish. Fluoride Instructions.