How To Calculate When A Ball Will Hit The Ground . It can find the time of flight, but also the components of velocity, the range of the projectile, and the. A girl is throwing a ball. Thanks to this tool, you can apply the free fall equation for any object, be it an apple. The speed of the object when hits the ground is the velocity at time $t^*$, where $t^*$ is the value of $t$ when $s(t) = s_g = 0$. A ball is thrown upwards with an initial velocity of 48 feet per second from the top of a small bridge that is 64 feet in the air. If you throw a ball or shoot an arrow in the air, it will follow a parabolic path before hitting the ground. The height of a ball thrown straight up from a building is given by h(t) = −16t2 + 32t + 48 h (t) = − 16 t 2 + 32 t + 48, t t seconds after. Visit the projectile motion calculator if you'd like to learn. Our projectile motion calculator is a tool that helps you analyze parabolic projectile motion. This free fall calculator is a tool for finding the velocity of a falling object along with the distance it travels.
from www.numerade.com
Our projectile motion calculator is a tool that helps you analyze parabolic projectile motion. This free fall calculator is a tool for finding the velocity of a falling object along with the distance it travels. Thanks to this tool, you can apply the free fall equation for any object, be it an apple. A ball is thrown upwards with an initial velocity of 48 feet per second from the top of a small bridge that is 64 feet in the air. It can find the time of flight, but also the components of velocity, the range of the projectile, and the. A girl is throwing a ball. If you throw a ball or shoot an arrow in the air, it will follow a parabolic path before hitting the ground. Visit the projectile motion calculator if you'd like to learn. The speed of the object when hits the ground is the velocity at time $t^*$, where $t^*$ is the value of $t$ when $s(t) = s_g = 0$. The height of a ball thrown straight up from a building is given by h(t) = −16t2 + 32t + 48 h (t) = − 16 t 2 + 32 t + 48, t t seconds after.
SOLVED ground for the Calculate the velocity of the ball just before it hits the following
How To Calculate When A Ball Will Hit The Ground The speed of the object when hits the ground is the velocity at time $t^*$, where $t^*$ is the value of $t$ when $s(t) = s_g = 0$. This free fall calculator is a tool for finding the velocity of a falling object along with the distance it travels. A ball is thrown upwards with an initial velocity of 48 feet per second from the top of a small bridge that is 64 feet in the air. The height of a ball thrown straight up from a building is given by h(t) = −16t2 + 32t + 48 h (t) = − 16 t 2 + 32 t + 48, t t seconds after. If you throw a ball or shoot an arrow in the air, it will follow a parabolic path before hitting the ground. Thanks to this tool, you can apply the free fall equation for any object, be it an apple. A girl is throwing a ball. It can find the time of flight, but also the components of velocity, the range of the projectile, and the. Visit the projectile motion calculator if you'd like to learn. The speed of the object when hits the ground is the velocity at time $t^*$, where $t^*$ is the value of $t$ when $s(t) = s_g = 0$. Our projectile motion calculator is a tool that helps you analyze parabolic projectile motion.
From www.youtube.com
A cricket ball is dropped from a height of 20m calculate the speed of ball when it hits the How To Calculate When A Ball Will Hit The Ground If you throw a ball or shoot an arrow in the air, it will follow a parabolic path before hitting the ground. A girl is throwing a ball. Thanks to this tool, you can apply the free fall equation for any object, be it an apple. It can find the time of flight, but also the components of velocity, the. How To Calculate When A Ball Will Hit The Ground.
From www.youtube.com
What Time will a Ball Hit the Ground? YouTube How To Calculate When A Ball Will Hit The Ground The height of a ball thrown straight up from a building is given by h(t) = −16t2 + 32t + 48 h (t) = − 16 t 2 + 32 t + 48, t t seconds after. Our projectile motion calculator is a tool that helps you analyze parabolic projectile motion. Visit the projectile motion calculator if you'd like to. How To Calculate When A Ball Will Hit The Ground.
From www.youtube.com
How to hit the BALL FIRST then GROUND YouTube How To Calculate When A Ball Will Hit The Ground Thanks to this tool, you can apply the free fall equation for any object, be it an apple. A ball is thrown upwards with an initial velocity of 48 feet per second from the top of a small bridge that is 64 feet in the air. The speed of the object when hits the ground is the velocity at time. How To Calculate When A Ball Will Hit The Ground.
From byjus.com
A ball is thrown vertically upward. It has a speed of 10 m/s when it has reached one half of its How To Calculate When A Ball Will Hit The Ground Thanks to this tool, you can apply the free fall equation for any object, be it an apple. If you throw a ball or shoot an arrow in the air, it will follow a parabolic path before hitting the ground. Our projectile motion calculator is a tool that helps you analyze parabolic projectile motion. A ball is thrown upwards with. How To Calculate When A Ball Will Hit The Ground.
From byjus.com
A ball of mass 20 gram hits a wall at an angle of 45 degree with a velocity of 15 metre per How To Calculate When A Ball Will Hit The Ground If you throw a ball or shoot an arrow in the air, it will follow a parabolic path before hitting the ground. This free fall calculator is a tool for finding the velocity of a falling object along with the distance it travels. A ball is thrown upwards with an initial velocity of 48 feet per second from the top. How To Calculate When A Ball Will Hit The Ground.
From www.youtube.com
Q13 Ch10 Class IX Science A ball is thrown vertically upwards with a velocity of 49 m/s How To Calculate When A Ball Will Hit The Ground The height of a ball thrown straight up from a building is given by h(t) = −16t2 + 32t + 48 h (t) = − 16 t 2 + 32 t + 48, t t seconds after. A ball is thrown upwards with an initial velocity of 48 feet per second from the top of a small bridge that is. How To Calculate When A Ball Will Hit The Ground.
From www.youtube.com
How to Hit Golf Ball First Then the Ground (PERFECT contact every time!) YouTube How To Calculate When A Ball Will Hit The Ground It can find the time of flight, but also the components of velocity, the range of the projectile, and the. The speed of the object when hits the ground is the velocity at time $t^*$, where $t^*$ is the value of $t$ when $s(t) = s_g = 0$. The height of a ball thrown straight up from a building is. How To Calculate When A Ball Will Hit The Ground.
From www.toppr.com
A ball is dropped from a height of 20 m and rebounds with a velocity which is 3/4th of the How To Calculate When A Ball Will Hit The Ground This free fall calculator is a tool for finding the velocity of a falling object along with the distance it travels. A ball is thrown upwards with an initial velocity of 48 feet per second from the top of a small bridge that is 64 feet in the air. Visit the projectile motion calculator if you'd like to learn. It. How To Calculate When A Ball Will Hit The Ground.
From algebrabasedphysics.blogspot.com
Physics I, II A ball is dropped from rest from a height H above the ground. Another ball is How To Calculate When A Ball Will Hit The Ground This free fall calculator is a tool for finding the velocity of a falling object along with the distance it travels. Thanks to this tool, you can apply the free fall equation for any object, be it an apple. A girl is throwing a ball. It can find the time of flight, but also the components of velocity, the range. How To Calculate When A Ball Will Hit The Ground.
From jeopardylabs.com
Unit 3 Motion in Two Dimensions Jeopardy Template How To Calculate When A Ball Will Hit The Ground A ball is thrown upwards with an initial velocity of 48 feet per second from the top of a small bridge that is 64 feet in the air. Our projectile motion calculator is a tool that helps you analyze parabolic projectile motion. If you throw a ball or shoot an arrow in the air, it will follow a parabolic path. How To Calculate When A Ball Will Hit The Ground.
From www.youtube.com
Velocity of Stone Hitting Ground YouTube How To Calculate When A Ball Will Hit The Ground A ball is thrown upwards with an initial velocity of 48 feet per second from the top of a small bridge that is 64 feet in the air. If you throw a ball or shoot an arrow in the air, it will follow a parabolic path before hitting the ground. The height of a ball thrown straight up from a. How To Calculate When A Ball Will Hit The Ground.
From www.teachoo.com
NCERT Q13 A ball is thrown vertically upwards with a velocity of 49 How To Calculate When A Ball Will Hit The Ground A ball is thrown upwards with an initial velocity of 48 feet per second from the top of a small bridge that is 64 feet in the air. This free fall calculator is a tool for finding the velocity of a falling object along with the distance it travels. Visit the projectile motion calculator if you'd like to learn. Thanks. How To Calculate When A Ball Will Hit The Ground.
From www.youtube.com
Learn how to find the instantaneous velocity ball hits the ground YouTube How To Calculate When A Ball Will Hit The Ground Our projectile motion calculator is a tool that helps you analyze parabolic projectile motion. If you throw a ball or shoot an arrow in the air, it will follow a parabolic path before hitting the ground. A girl is throwing a ball. Thanks to this tool, you can apply the free fall equation for any object, be it an apple.. How To Calculate When A Ball Will Hit The Ground.
From calculator.services
When Does the Ball Hit the Ground Quadratic Equation Calculator Calculator Services How To Calculate When A Ball Will Hit The Ground If you throw a ball or shoot an arrow in the air, it will follow a parabolic path before hitting the ground. This free fall calculator is a tool for finding the velocity of a falling object along with the distance it travels. Our projectile motion calculator is a tool that helps you analyze parabolic projectile motion. Visit the projectile. How To Calculate When A Ball Will Hit The Ground.
From www.numerade.com
SOLVED ground for the Calculate the velocity of the ball just before it hits the following How To Calculate When A Ball Will Hit The Ground A girl is throwing a ball. A ball is thrown upwards with an initial velocity of 48 feet per second from the top of a small bridge that is 64 feet in the air. Our projectile motion calculator is a tool that helps you analyze parabolic projectile motion. Visit the projectile motion calculator if you'd like to learn. It can. How To Calculate When A Ball Will Hit The Ground.
From www.bartleby.com
Answered 1. A ball is thrown from a height of… bartleby How To Calculate When A Ball Will Hit The Ground This free fall calculator is a tool for finding the velocity of a falling object along with the distance it travels. The height of a ball thrown straight up from a building is given by h(t) = −16t2 + 32t + 48 h (t) = − 16 t 2 + 32 t + 48, t t seconds after. If you. How To Calculate When A Ball Will Hit The Ground.
From www.teachoo.com
NCERT Q7 A ball is gently dropped from a height of 20 m. If its How To Calculate When A Ball Will Hit The Ground Our projectile motion calculator is a tool that helps you analyze parabolic projectile motion. The speed of the object when hits the ground is the velocity at time $t^*$, where $t^*$ is the value of $t$ when $s(t) = s_g = 0$. Visit the projectile motion calculator if you'd like to learn. The height of a ball thrown straight up. How To Calculate When A Ball Will Hit The Ground.
From www.youtube.com
Given a Quadratic, When will the Ball Hit the Ground? YouTube How To Calculate When A Ball Will Hit The Ground If you throw a ball or shoot an arrow in the air, it will follow a parabolic path before hitting the ground. Thanks to this tool, you can apply the free fall equation for any object, be it an apple. The speed of the object when hits the ground is the velocity at time $t^*$, where $t^*$ is the value. How To Calculate When A Ball Will Hit The Ground.
From www.slideserve.com
PPT Physics Kinematics PowerPoint Presentation, free download ID2338378 How To Calculate When A Ball Will Hit The Ground A ball is thrown upwards with an initial velocity of 48 feet per second from the top of a small bridge that is 64 feet in the air. Visit the projectile motion calculator if you'd like to learn. It can find the time of flight, but also the components of velocity, the range of the projectile, and the. This free. How To Calculate When A Ball Will Hit The Ground.
From www.numerade.com
SOLVED After the string breaks, it takes 0.5s for the ball to hit the ground. Calculate (a) the How To Calculate When A Ball Will Hit The Ground A ball is thrown upwards with an initial velocity of 48 feet per second from the top of a small bridge that is 64 feet in the air. The height of a ball thrown straight up from a building is given by h(t) = −16t2 + 32t + 48 h (t) = − 16 t 2 + 32 t +. How To Calculate When A Ball Will Hit The Ground.
From www.chegg.com
Solved A baseball player hits a ball giving an initial How To Calculate When A Ball Will Hit The Ground Thanks to this tool, you can apply the free fall equation for any object, be it an apple. Visit the projectile motion calculator if you'd like to learn. Our projectile motion calculator is a tool that helps you analyze parabolic projectile motion. It can find the time of flight, but also the components of velocity, the range of the projectile,. How To Calculate When A Ball Will Hit The Ground.
From owlcation.com
How to Solve Projectile Motion Problems Applying Newton's Equations of Motion to Ballistics How To Calculate When A Ball Will Hit The Ground This free fall calculator is a tool for finding the velocity of a falling object along with the distance it travels. If you throw a ball or shoot an arrow in the air, it will follow a parabolic path before hitting the ground. Our projectile motion calculator is a tool that helps you analyze parabolic projectile motion. It can find. How To Calculate When A Ball Will Hit The Ground.
From www.youtube.com
How to determine when a ball will hit the ground (Factor a Polynomial) (a MATH 1010 Problem How To Calculate When A Ball Will Hit The Ground This free fall calculator is a tool for finding the velocity of a falling object along with the distance it travels. Visit the projectile motion calculator if you'd like to learn. A ball is thrown upwards with an initial velocity of 48 feet per second from the top of a small bridge that is 64 feet in the air. Thanks. How To Calculate When A Ball Will Hit The Ground.
From www.chegg.com
Solved This Is A High School Level Projectile Motion Prob... How To Calculate When A Ball Will Hit The Ground A ball is thrown upwards with an initial velocity of 48 feet per second from the top of a small bridge that is 64 feet in the air. The speed of the object when hits the ground is the velocity at time $t^*$, where $t^*$ is the value of $t$ when $s(t) = s_g = 0$. If you throw a. How To Calculate When A Ball Will Hit The Ground.
From www.chegg.com
Solved How long does it take the ball to hit the ground? How To Calculate When A Ball Will Hit The Ground A girl is throwing a ball. Our projectile motion calculator is a tool that helps you analyze parabolic projectile motion. The height of a ball thrown straight up from a building is given by h(t) = −16t2 + 32t + 48 h (t) = − 16 t 2 + 32 t + 48, t t seconds after. This free fall. How To Calculate When A Ball Will Hit The Ground.
From www.slideserve.com
PPT Quick Review Four Kinematic Equations Free Fall PowerPoint Presentation ID6833482 How To Calculate When A Ball Will Hit The Ground The height of a ball thrown straight up from a building is given by h(t) = −16t2 + 32t + 48 h (t) = − 16 t 2 + 32 t + 48, t t seconds after. Visit the projectile motion calculator if you'd like to learn. A girl is throwing a ball. A ball is thrown upwards with an. How To Calculate When A Ball Will Hit The Ground.
From byjus.com
A ball hits the ground and loses 20 How To Calculate When A Ball Will Hit The Ground Visit the projectile motion calculator if you'd like to learn. A ball is thrown upwards with an initial velocity of 48 feet per second from the top of a small bridge that is 64 feet in the air. The height of a ball thrown straight up from a building is given by h(t) = −16t2 + 32t + 48 h. How To Calculate When A Ball Will Hit The Ground.
From byjus.com
A ball of mass m hits a floor with a speed v making an angle a with the normal N. The How To Calculate When A Ball Will Hit The Ground A girl is throwing a ball. Thanks to this tool, you can apply the free fall equation for any object, be it an apple. This free fall calculator is a tool for finding the velocity of a falling object along with the distance it travels. Visit the projectile motion calculator if you'd like to learn. The speed of the object. How To Calculate When A Ball Will Hit The Ground.
From www.youtube.com
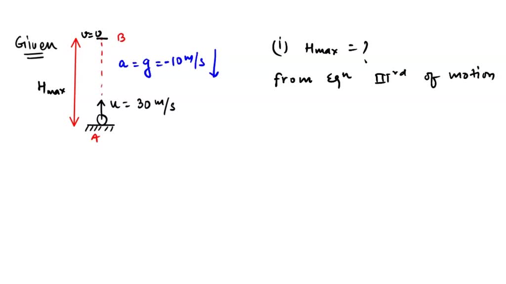
Max Height and Velocity When Object Hits the Ground YouTube How To Calculate When A Ball Will Hit The Ground Thanks to this tool, you can apply the free fall equation for any object, be it an apple. This free fall calculator is a tool for finding the velocity of a falling object along with the distance it travels. Visit the projectile motion calculator if you'd like to learn. The speed of the object when hits the ground is the. How To Calculate When A Ball Will Hit The Ground.
From byjus.com
A ball is thrown vertically upwards with a velocity of 20 m/s from top of a multisory building How To Calculate When A Ball Will Hit The Ground Visit the projectile motion calculator if you'd like to learn. A ball is thrown upwards with an initial velocity of 48 feet per second from the top of a small bridge that is 64 feet in the air. The speed of the object when hits the ground is the velocity at time $t^*$, where $t^*$ is the value of $t$. How To Calculate When A Ball Will Hit The Ground.
From www.youtube.com
A ball is thrown upward from the ground with an initial speed of 25 m/s; at the same instant How To Calculate When A Ball Will Hit The Ground The speed of the object when hits the ground is the velocity at time $t^*$, where $t^*$ is the value of $t$ when $s(t) = s_g = 0$. It can find the time of flight, but also the components of velocity, the range of the projectile, and the. If you throw a ball or shoot an arrow in the air,. How To Calculate When A Ball Will Hit The Ground.
From www.numerade.com
SOLVED A tennis ball is hit vertically upward with a velocity of 30 ms1, it takes 3 s to reach How To Calculate When A Ball Will Hit The Ground This free fall calculator is a tool for finding the velocity of a falling object along with the distance it travels. A ball is thrown upwards with an initial velocity of 48 feet per second from the top of a small bridge that is 64 feet in the air. If you throw a ball or shoot an arrow in the. How To Calculate When A Ball Will Hit The Ground.
From www.youtube.com
How Fast is the Object Travelling when It Hits the Ground? YouTube How To Calculate When A Ball Will Hit The Ground A girl is throwing a ball. The speed of the object when hits the ground is the velocity at time $t^*$, where $t^*$ is the value of $t$ when $s(t) = s_g = 0$. If you throw a ball or shoot an arrow in the air, it will follow a parabolic path before hitting the ground. A ball is thrown. How To Calculate When A Ball Will Hit The Ground.
From www.bartleby.com
Answered A ball is thrown from the ground into… bartleby How To Calculate When A Ball Will Hit The Ground A ball is thrown upwards with an initial velocity of 48 feet per second from the top of a small bridge that is 64 feet in the air. If you throw a ball or shoot an arrow in the air, it will follow a parabolic path before hitting the ground. Thanks to this tool, you can apply the free fall. How To Calculate When A Ball Will Hit The Ground.
From www.slideserve.com
PPT The Calculus of Basketball PowerPoint Presentation, free download ID719615 How To Calculate When A Ball Will Hit The Ground A ball is thrown upwards with an initial velocity of 48 feet per second from the top of a small bridge that is 64 feet in the air. Thanks to this tool, you can apply the free fall equation for any object, be it an apple. Our projectile motion calculator is a tool that helps you analyze parabolic projectile motion.. How To Calculate When A Ball Will Hit The Ground.