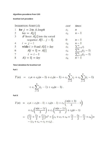
Oscar Levy Blog