Warranty Contribution Clause . Most construction professionals will be familiar with net contribution clauses (nccs) in consultants’ appointments and collateral. What is a net contribution clause? A net contribution clause (ncc) is a clause that is commonly used within construction documents. If you ask any construction lawyer what issue repeatedly comes up when negotiating consultant appointments and collateral. An overview of what a net contribution clause is, giving examples of the effect a net contribution clause has on a party's liabilities under a. Discover the essentials of a standard warranty clause in contracts, including what it covers, its benefits, and key considerations for legal. This web page provides guidance to contractor's counsel on how to negotiate warranty obligations in construction agreements.
from studylib.net
What is a net contribution clause? Most construction professionals will be familiar with net contribution clauses (nccs) in consultants’ appointments and collateral. An overview of what a net contribution clause is, giving examples of the effect a net contribution clause has on a party's liabilities under a. This web page provides guidance to contractor's counsel on how to negotiate warranty obligations in construction agreements. Discover the essentials of a standard warranty clause in contracts, including what it covers, its benefits, and key considerations for legal. If you ask any construction lawyer what issue repeatedly comes up when negotiating consultant appointments and collateral. A net contribution clause (ncc) is a clause that is commonly used within construction documents.
Warranty Clauses
Warranty Contribution Clause Discover the essentials of a standard warranty clause in contracts, including what it covers, its benefits, and key considerations for legal. This web page provides guidance to contractor's counsel on how to negotiate warranty obligations in construction agreements. If you ask any construction lawyer what issue repeatedly comes up when negotiating consultant appointments and collateral. An overview of what a net contribution clause is, giving examples of the effect a net contribution clause has on a party's liabilities under a. A net contribution clause (ncc) is a clause that is commonly used within construction documents. Discover the essentials of a standard warranty clause in contracts, including what it covers, its benefits, and key considerations for legal. Most construction professionals will be familiar with net contribution clauses (nccs) in consultants’ appointments and collateral. What is a net contribution clause?
From old.sermitsiaq.ag
Warranty Contract Template Warranty Contribution Clause If you ask any construction lawyer what issue repeatedly comes up when negotiating consultant appointments and collateral. What is a net contribution clause? This web page provides guidance to contractor's counsel on how to negotiate warranty obligations in construction agreements. Discover the essentials of a standard warranty clause in contracts, including what it covers, its benefits, and key considerations for. Warranty Contribution Clause.
From www.rocketlawyer.com
Warranty Agreement Template Warranty Agreement (with Sample) Warranty Contribution Clause If you ask any construction lawyer what issue repeatedly comes up when negotiating consultant appointments and collateral. An overview of what a net contribution clause is, giving examples of the effect a net contribution clause has on a party's liabilities under a. What is a net contribution clause? This web page provides guidance to contractor's counsel on how to negotiate. Warranty Contribution Clause.
From www.rocketlawyer.com
Free Warranty Agreement Template & FAQs Rocket Lawyer Warranty Contribution Clause Discover the essentials of a standard warranty clause in contracts, including what it covers, its benefits, and key considerations for legal. A net contribution clause (ncc) is a clause that is commonly used within construction documents. If you ask any construction lawyer what issue repeatedly comes up when negotiating consultant appointments and collateral. This web page provides guidance to contractor's. Warranty Contribution Clause.
From legittai.com
Essential Elements of the Representations and Warranties Clause Warranty Contribution Clause What is a net contribution clause? Most construction professionals will be familiar with net contribution clauses (nccs) in consultants’ appointments and collateral. An overview of what a net contribution clause is, giving examples of the effect a net contribution clause has on a party's liabilities under a. This web page provides guidance to contractor's counsel on how to negotiate warranty. Warranty Contribution Clause.
From gilesdixon.com
Collateral Warranty (Consultant) Commercial, Engineering Warranty Contribution Clause This web page provides guidance to contractor's counsel on how to negotiate warranty obligations in construction agreements. An overview of what a net contribution clause is, giving examples of the effect a net contribution clause has on a party's liabilities under a. A net contribution clause (ncc) is a clause that is commonly used within construction documents. Discover the essentials. Warranty Contribution Clause.
From legittai.com
Warranty Agreement Definition, Types, and Clauses Legitt AI Warranty Contribution Clause Discover the essentials of a standard warranty clause in contracts, including what it covers, its benefits, and key considerations for legal. A net contribution clause (ncc) is a clause that is commonly used within construction documents. What is a net contribution clause? This web page provides guidance to contractor's counsel on how to negotiate warranty obligations in construction agreements. Most. Warranty Contribution Clause.
From www.uslegalforms.com
Idaho Warranty Clauses US Legal Forms Warranty Contribution Clause What is a net contribution clause? A net contribution clause (ncc) is a clause that is commonly used within construction documents. Most construction professionals will be familiar with net contribution clauses (nccs) in consultants’ appointments and collateral. If you ask any construction lawyer what issue repeatedly comes up when negotiating consultant appointments and collateral. This web page provides guidance to. Warranty Contribution Clause.
From www.pdffiller.com
Fillable Online Contractor Warranty Sample Clauses 114 SamplesLaw Warranty Contribution Clause Discover the essentials of a standard warranty clause in contracts, including what it covers, its benefits, and key considerations for legal. Most construction professionals will be familiar with net contribution clauses (nccs) in consultants’ appointments and collateral. This web page provides guidance to contractor's counsel on how to negotiate warranty obligations in construction agreements. An overview of what a net. Warranty Contribution Clause.
From exyfmuiji.blob.core.windows.net
Construction Warranty Contract Sample at Sean Roux blog Warranty Contribution Clause If you ask any construction lawyer what issue repeatedly comes up when negotiating consultant appointments and collateral. This web page provides guidance to contractor's counsel on how to negotiate warranty obligations in construction agreements. What is a net contribution clause? A net contribution clause (ncc) is a clause that is commonly used within construction documents. An overview of what a. Warranty Contribution Clause.
From barryfox.us
Watch the Warranty Clause in SelfPublishing Contracts Warranty Contribution Clause What is a net contribution clause? Discover the essentials of a standard warranty clause in contracts, including what it covers, its benefits, and key considerations for legal. A net contribution clause (ncc) is a clause that is commonly used within construction documents. This web page provides guidance to contractor's counsel on how to negotiate warranty obligations in construction agreements. An. Warranty Contribution Clause.
From www.slideteam.net
Insurance Contribution Clause Ppt Powerpoint Presentation Pictures Warranty Contribution Clause Discover the essentials of a standard warranty clause in contracts, including what it covers, its benefits, and key considerations for legal. An overview of what a net contribution clause is, giving examples of the effect a net contribution clause has on a party's liabilities under a. Most construction professionals will be familiar with net contribution clauses (nccs) in consultants’ appointments. Warranty Contribution Clause.
From www.slideserve.com
PPT Insurance Clauses in Contracts PowerPoint Presentation, free Warranty Contribution Clause Discover the essentials of a standard warranty clause in contracts, including what it covers, its benefits, and key considerations for legal. What is a net contribution clause? An overview of what a net contribution clause is, giving examples of the effect a net contribution clause has on a party's liabilities under a. If you ask any construction lawyer what issue. Warranty Contribution Clause.
From juro.com
Warranty agreement template free to use Warranty Contribution Clause Discover the essentials of a standard warranty clause in contracts, including what it covers, its benefits, and key considerations for legal. An overview of what a net contribution clause is, giving examples of the effect a net contribution clause has on a party's liabilities under a. If you ask any construction lawyer what issue repeatedly comes up when negotiating consultant. Warranty Contribution Clause.
From www.scribd.com
Express Conditions and Warranties Law Commercial Essay Implied Warranty Contribution Clause An overview of what a net contribution clause is, giving examples of the effect a net contribution clause has on a party's liabilities under a. A net contribution clause (ncc) is a clause that is commonly used within construction documents. Discover the essentials of a standard warranty clause in contracts, including what it covers, its benefits, and key considerations for. Warranty Contribution Clause.
From www.scribd.com
Timely Reminder Basic Clauses and Warranties PDF Knowledge Warranty Contribution Clause This web page provides guidance to contractor's counsel on how to negotiate warranty obligations in construction agreements. A net contribution clause (ncc) is a clause that is commonly used within construction documents. Discover the essentials of a standard warranty clause in contracts, including what it covers, its benefits, and key considerations for legal. Most construction professionals will be familiar with. Warranty Contribution Clause.
From templatelab.com
40+ Warranty Deed Templates & Forms (General, Special) ᐅ TemplateLab Warranty Contribution Clause What is a net contribution clause? An overview of what a net contribution clause is, giving examples of the effect a net contribution clause has on a party's liabilities under a. If you ask any construction lawyer what issue repeatedly comes up when negotiating consultant appointments and collateral. A net contribution clause (ncc) is a clause that is commonly used. Warranty Contribution Clause.
From www.slideserve.com
PPT Contractor Liability How to Stay Out of Court PowerPoint Warranty Contribution Clause Discover the essentials of a standard warranty clause in contracts, including what it covers, its benefits, and key considerations for legal. This web page provides guidance to contractor's counsel on how to negotiate warranty obligations in construction agreements. Most construction professionals will be familiar with net contribution clauses (nccs) in consultants’ appointments and collateral. An overview of what a net. Warranty Contribution Clause.
From fubon.com.ph
Warranties & Clauses Fubon Warranty Contribution Clause Most construction professionals will be familiar with net contribution clauses (nccs) in consultants’ appointments and collateral. An overview of what a net contribution clause is, giving examples of the effect a net contribution clause has on a party's liabilities under a. This web page provides guidance to contractor's counsel on how to negotiate warranty obligations in construction agreements. What is. Warranty Contribution Clause.
From www.printablesample.com
18 Free Sample Warranty Certificate Templates Printable Samples Warranty Contribution Clause An overview of what a net contribution clause is, giving examples of the effect a net contribution clause has on a party's liabilities under a. A net contribution clause (ncc) is a clause that is commonly used within construction documents. Discover the essentials of a standard warranty clause in contracts, including what it covers, its benefits, and key considerations for. Warranty Contribution Clause.
From www.sampletemplates.com
FREE 9+ Warranty Statement Samples & Templates in PDF Warranty Contribution Clause An overview of what a net contribution clause is, giving examples of the effect a net contribution clause has on a party's liabilities under a. Discover the essentials of a standard warranty clause in contracts, including what it covers, its benefits, and key considerations for legal. A net contribution clause (ncc) is a clause that is commonly used within construction. Warranty Contribution Clause.
From www.pdffiller.com
Fillable Online Conveyance by General Warranty Deed Sample Clauses Fax Warranty Contribution Clause If you ask any construction lawyer what issue repeatedly comes up when negotiating consultant appointments and collateral. An overview of what a net contribution clause is, giving examples of the effect a net contribution clause has on a party's liabilities under a. Most construction professionals will be familiar with net contribution clauses (nccs) in consultants’ appointments and collateral. Discover the. Warranty Contribution Clause.
From www.pdffiller.com
Fillable Online Examples of limited warranty clauses in contracts Fax Warranty Contribution Clause If you ask any construction lawyer what issue repeatedly comes up when negotiating consultant appointments and collateral. An overview of what a net contribution clause is, giving examples of the effect a net contribution clause has on a party's liabilities under a. Most construction professionals will be familiar with net contribution clauses (nccs) in consultants’ appointments and collateral. What is. Warranty Contribution Clause.
From www.mywordtemplates.org
Warranty Certificate Template My Word Templates Warranty Contribution Clause An overview of what a net contribution clause is, giving examples of the effect a net contribution clause has on a party's liabilities under a. A net contribution clause (ncc) is a clause that is commonly used within construction documents. What is a net contribution clause? Discover the essentials of a standard warranty clause in contracts, including what it covers,. Warranty Contribution Clause.
From www.slideserve.com
PPT CONDITIONS AND WARRANTIES PowerPoint Presentation, free download Warranty Contribution Clause An overview of what a net contribution clause is, giving examples of the effect a net contribution clause has on a party's liabilities under a. Most construction professionals will be familiar with net contribution clauses (nccs) in consultants’ appointments and collateral. Discover the essentials of a standard warranty clause in contracts, including what it covers, its benefits, and key considerations. Warranty Contribution Clause.
From es.scribd.com
Warranty Format Contract Law Law Of Obligations Warranty Contribution Clause An overview of what a net contribution clause is, giving examples of the effect a net contribution clause has on a party's liabilities under a. Discover the essentials of a standard warranty clause in contracts, including what it covers, its benefits, and key considerations for legal. This web page provides guidance to contractor's counsel on how to negotiate warranty obligations. Warranty Contribution Clause.
From templates.rjuuc.edu.np
Warranty Policy Template Warranty Contribution Clause An overview of what a net contribution clause is, giving examples of the effect a net contribution clause has on a party's liabilities under a. Most construction professionals will be familiar with net contribution clauses (nccs) in consultants’ appointments and collateral. What is a net contribution clause? A net contribution clause (ncc) is a clause that is commonly used within. Warranty Contribution Clause.
From studylib.net
Warranty Clauses Warranty Contribution Clause A net contribution clause (ncc) is a clause that is commonly used within construction documents. Most construction professionals will be familiar with net contribution clauses (nccs) in consultants’ appointments and collateral. This web page provides guidance to contractor's counsel on how to negotiate warranty obligations in construction agreements. An overview of what a net contribution clause is, giving examples of. Warranty Contribution Clause.
From www.studocu.com
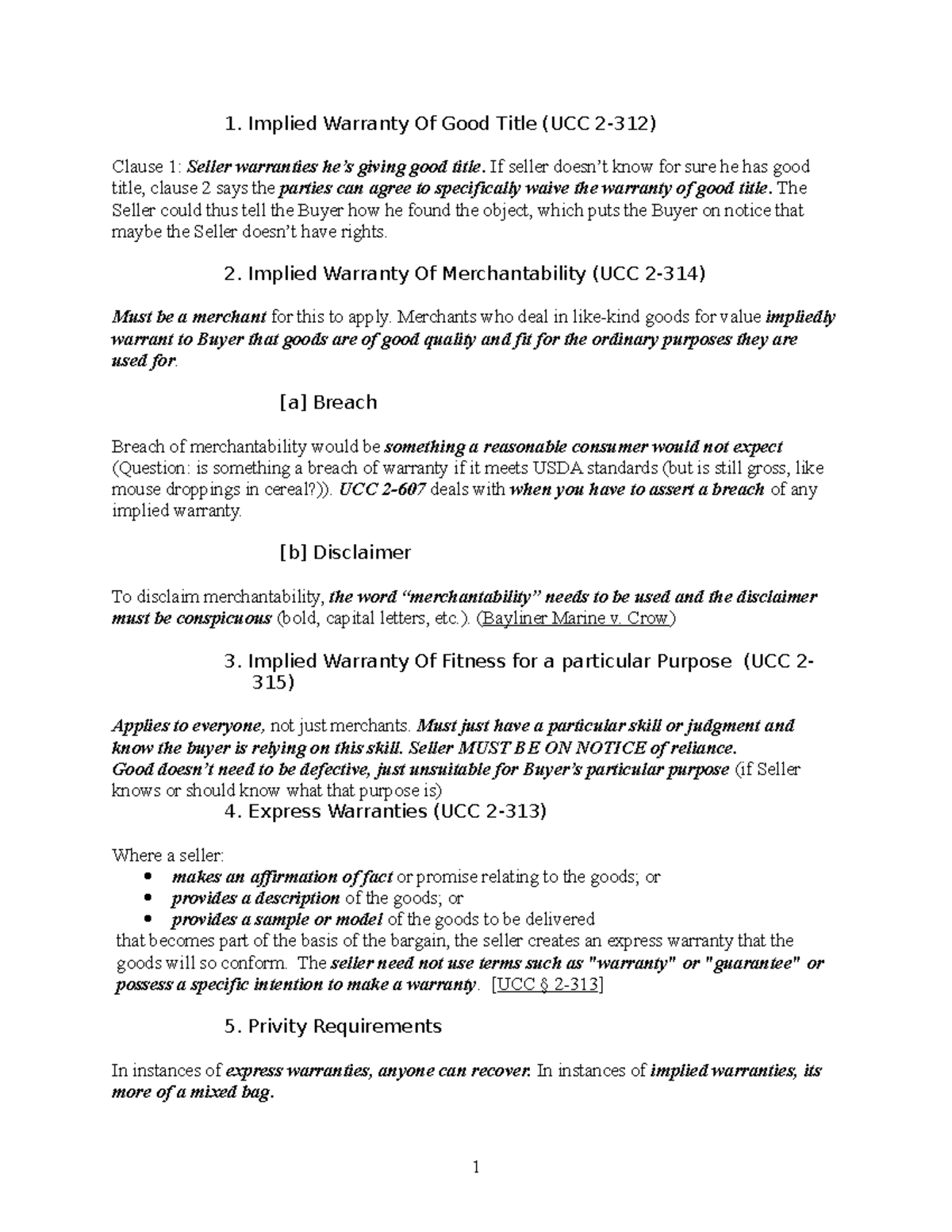
Contracts Law Outline 1 Implied Warranty Of Good Title (UCC 2312 Warranty Contribution Clause An overview of what a net contribution clause is, giving examples of the effect a net contribution clause has on a party's liabilities under a. This web page provides guidance to contractor's counsel on how to negotiate warranty obligations in construction agreements. Most construction professionals will be familiar with net contribution clauses (nccs) in consultants’ appointments and collateral. Discover the. Warranty Contribution Clause.
From constructionworkmoshihana.blogspot.com
Construction Work Warranty For Construction Work Warranty Contribution Clause This web page provides guidance to contractor's counsel on how to negotiate warranty obligations in construction agreements. If you ask any construction lawyer what issue repeatedly comes up when negotiating consultant appointments and collateral. Discover the essentials of a standard warranty clause in contracts, including what it covers, its benefits, and key considerations for legal. Most construction professionals will be. Warranty Contribution Clause.
From www.studocu.com
Warranties Lecture notes 1 WARRANTIES In sales and lease law, a Warranty Contribution Clause A net contribution clause (ncc) is a clause that is commonly used within construction documents. Discover the essentials of a standard warranty clause in contracts, including what it covers, its benefits, and key considerations for legal. If you ask any construction lawyer what issue repeatedly comes up when negotiating consultant appointments and collateral. An overview of what a net contribution. Warranty Contribution Clause.
From www.freeprivacypolicy.com
Disclaimer of Warranties and Limitation of Liability Clauses Free Warranty Contribution Clause Most construction professionals will be familiar with net contribution clauses (nccs) in consultants’ appointments and collateral. If you ask any construction lawyer what issue repeatedly comes up when negotiating consultant appointments and collateral. What is a net contribution clause? A net contribution clause (ncc) is a clause that is commonly used within construction documents. An overview of what a net. Warranty Contribution Clause.
From www.termsfeed.com
Warranty Policy Template TermsFeed Warranty Contribution Clause An overview of what a net contribution clause is, giving examples of the effect a net contribution clause has on a party's liabilities under a. Discover the essentials of a standard warranty clause in contracts, including what it covers, its benefits, and key considerations for legal. A net contribution clause (ncc) is a clause that is commonly used within construction. Warranty Contribution Clause.
From www.pdffiller.com
Fillable Online Limited Product Warranty Sample Clauses Fax Email Print Warranty Contribution Clause If you ask any construction lawyer what issue repeatedly comes up when negotiating consultant appointments and collateral. Most construction professionals will be familiar with net contribution clauses (nccs) in consultants’ appointments and collateral. This web page provides guidance to contractor's counsel on how to negotiate warranty obligations in construction agreements. Discover the essentials of a standard warranty clause in contracts,. Warranty Contribution Clause.
From www.privacypolicies.com
Limitation of Liability Vs. Disclaimer of Warranties Clauses Privacy Warranty Contribution Clause An overview of what a net contribution clause is, giving examples of the effect a net contribution clause has on a party's liabilities under a. This web page provides guidance to contractor's counsel on how to negotiate warranty obligations in construction agreements. Most construction professionals will be familiar with net contribution clauses (nccs) in consultants’ appointments and collateral. If you. Warranty Contribution Clause.
From www.dochub.com
Warranty Clauses Fill out & sign online DocHub Warranty Contribution Clause A net contribution clause (ncc) is a clause that is commonly used within construction documents. An overview of what a net contribution clause is, giving examples of the effect a net contribution clause has on a party's liabilities under a. If you ask any construction lawyer what issue repeatedly comes up when negotiating consultant appointments and collateral. Discover the essentials. Warranty Contribution Clause.