How To Find The Real Solutions Of An Equation . Frequently, in algebra class, you will be called to find all real solutions of an equation. Real solutions refer to the solutions of an equation that have real number values, as opposed to imaginary or complex number solutions. The equation solver allows you to enter your problem and solve the equation to see the result. Solve in one variable or many. Solve equations with sine, cosine and tangent; Free equation solver helps you to calculate linear, quadratic and polynomial systems of equations. Answers, graphs, roots, alternate forms. Such questions essentially are asking you to. In most cases, you can find exact. The equations section of quickmath allows you to solve and plot virtually any equation or system of equations.
from www.youtube.com
Solve in one variable or many. Real solutions refer to the solutions of an equation that have real number values, as opposed to imaginary or complex number solutions. Free equation solver helps you to calculate linear, quadratic and polynomial systems of equations. Solve equations with sine, cosine and tangent; Answers, graphs, roots, alternate forms. The equations section of quickmath allows you to solve and plot virtually any equation or system of equations. Frequently, in algebra class, you will be called to find all real solutions of an equation. Such questions essentially are asking you to. The equation solver allows you to enter your problem and solve the equation to see the result. In most cases, you can find exact.
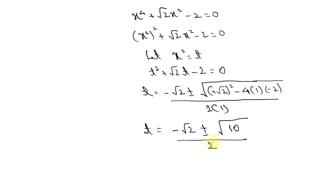
Finding the Real Solutions of a Polynomial Equation YouTube
How To Find The Real Solutions Of An Equation Such questions essentially are asking you to. Solve equations with sine, cosine and tangent; The equations section of quickmath allows you to solve and plot virtually any equation or system of equations. The equation solver allows you to enter your problem and solve the equation to see the result. In most cases, you can find exact. Such questions essentially are asking you to. Free equation solver helps you to calculate linear, quadratic and polynomial systems of equations. Solve in one variable or many. Real solutions refer to the solutions of an equation that have real number values, as opposed to imaginary or complex number solutions. Answers, graphs, roots, alternate forms. Frequently, in algebra class, you will be called to find all real solutions of an equation.
From www.chegg.com
Solved Find the real solutions of the equation. ∣u−6∣=−51 How To Find The Real Solutions Of An Equation Such questions essentially are asking you to. Solve in one variable or many. The equation solver allows you to enter your problem and solve the equation to see the result. Solve equations with sine, cosine and tangent; In most cases, you can find exact. Free equation solver helps you to calculate linear, quadratic and polynomial systems of equations. Real solutions. How To Find The Real Solutions Of An Equation.
From www.youtube.com
Using a Graphing Calculator to Find the Real Solutions of an Equation How To Find The Real Solutions Of An Equation The equations section of quickmath allows you to solve and plot virtually any equation or system of equations. Free equation solver helps you to calculate linear, quadratic and polynomial systems of equations. In most cases, you can find exact. Answers, graphs, roots, alternate forms. Solve in one variable or many. Real solutions refer to the solutions of an equation that. How To Find The Real Solutions Of An Equation.
From www.chegg.com
Solved Find the real solutions of the following How To Find The Real Solutions Of An Equation Solve equations with sine, cosine and tangent; Real solutions refer to the solutions of an equation that have real number values, as opposed to imaginary or complex number solutions. Such questions essentially are asking you to. Frequently, in algebra class, you will be called to find all real solutions of an equation. The equations section of quickmath allows you to. How To Find The Real Solutions Of An Equation.
From www.teachoo.com
Example 4 (i) Find two solutions for equation 4x + 3y = 12 How To Find The Real Solutions Of An Equation Real solutions refer to the solutions of an equation that have real number values, as opposed to imaginary or complex number solutions. Frequently, in algebra class, you will be called to find all real solutions of an equation. Free equation solver helps you to calculate linear, quadratic and polynomial systems of equations. Solve equations with sine, cosine and tangent; Solve. How To Find The Real Solutions Of An Equation.
From www.chegg.com
Solved Find the real solutions of the equation.x2x52=x+5 How To Find The Real Solutions Of An Equation Solve in one variable or many. Frequently, in algebra class, you will be called to find all real solutions of an equation. The equations section of quickmath allows you to solve and plot virtually any equation or system of equations. Free equation solver helps you to calculate linear, quadratic and polynomial systems of equations. In most cases, you can find. How To Find The Real Solutions Of An Equation.
From www.chegg.com
Solved Find the real solutions of the following How To Find The Real Solutions Of An Equation Such questions essentially are asking you to. Answers, graphs, roots, alternate forms. Free equation solver helps you to calculate linear, quadratic and polynomial systems of equations. Solve in one variable or many. Solve equations with sine, cosine and tangent; The equation solver allows you to enter your problem and solve the equation to see the result. The equations section of. How To Find The Real Solutions Of An Equation.
From www.youtube.com
x^2 8x + 20 = 0. How many distinct real solutions does the given How To Find The Real Solutions Of An Equation The equations section of quickmath allows you to solve and plot virtually any equation or system of equations. Real solutions refer to the solutions of an equation that have real number values, as opposed to imaginary or complex number solutions. The equation solver allows you to enter your problem and solve the equation to see the result. Frequently, in algebra. How To Find The Real Solutions Of An Equation.
From www.chegg.com
Solved Find the real solutions of the equation.2x72=7 How To Find The Real Solutions Of An Equation Answers, graphs, roots, alternate forms. Solve in one variable or many. Frequently, in algebra class, you will be called to find all real solutions of an equation. The equations section of quickmath allows you to solve and plot virtually any equation or system of equations. The equation solver allows you to enter your problem and solve the equation to see. How To Find The Real Solutions Of An Equation.
From www.youtube.com
An Equation with Real Solutions YouTube How To Find The Real Solutions Of An Equation Such questions essentially are asking you to. Frequently, in algebra class, you will be called to find all real solutions of an equation. The equation solver allows you to enter your problem and solve the equation to see the result. Free equation solver helps you to calculate linear, quadratic and polynomial systems of equations. In most cases, you can find. How To Find The Real Solutions Of An Equation.
From www.chegg.com
Solved Find the real solutions of the equation.38x=4 How To Find The Real Solutions Of An Equation Solve in one variable or many. Frequently, in algebra class, you will be called to find all real solutions of an equation. Free equation solver helps you to calculate linear, quadratic and polynomial systems of equations. Real solutions refer to the solutions of an equation that have real number values, as opposed to imaginary or complex number solutions. In most. How To Find The Real Solutions Of An Equation.
From www.chegg.com
Solved Find the real solutions of the How To Find The Real Solutions Of An Equation In most cases, you can find exact. Such questions essentially are asking you to. Free equation solver helps you to calculate linear, quadratic and polynomial systems of equations. Solve in one variable or many. The equations section of quickmath allows you to solve and plot virtually any equation or system of equations. Real solutions refer to the solutions of an. How To Find The Real Solutions Of An Equation.
From www.chegg.com
Solved Find all real solutions of the equation. (Enter How To Find The Real Solutions Of An Equation Answers, graphs, roots, alternate forms. Real solutions refer to the solutions of an equation that have real number values, as opposed to imaginary or complex number solutions. The equation solver allows you to enter your problem and solve the equation to see the result. Such questions essentially are asking you to. In most cases, you can find exact. The equations. How To Find The Real Solutions Of An Equation.
From www.numerade.com
SOLVEDFind all real solutions of each equation. How To Find The Real Solutions Of An Equation Solve equations with sine, cosine and tangent; The equations section of quickmath allows you to solve and plot virtually any equation or system of equations. Real solutions refer to the solutions of an equation that have real number values, as opposed to imaginary or complex number solutions. The equation solver allows you to enter your problem and solve the equation. How To Find The Real Solutions Of An Equation.
From www.numerade.com
SOLVEDFind the real solutions of each equation. Use a calculator to How To Find The Real Solutions Of An Equation Frequently, in algebra class, you will be called to find all real solutions of an equation. In most cases, you can find exact. Answers, graphs, roots, alternate forms. Such questions essentially are asking you to. The equation solver allows you to enter your problem and solve the equation to see the result. Solve equations with sine, cosine and tangent; Solve. How To Find The Real Solutions Of An Equation.
From www.chegg.com
Solved Find the real solutions of the following equation. How To Find The Real Solutions Of An Equation Such questions essentially are asking you to. The equations section of quickmath allows you to solve and plot virtually any equation or system of equations. Solve equations with sine, cosine and tangent; In most cases, you can find exact. Solve in one variable or many. Real solutions refer to the solutions of an equation that have real number values, as. How To Find The Real Solutions Of An Equation.
From www.coursehero.com
[Solved] Find the real solutions of the equation 3x3 x2 + 3x 1 = 0 How To Find The Real Solutions Of An Equation Solve in one variable or many. Solve equations with sine, cosine and tangent; The equation solver allows you to enter your problem and solve the equation to see the result. Answers, graphs, roots, alternate forms. The equations section of quickmath allows you to solve and plot virtually any equation or system of equations. Frequently, in algebra class, you will be. How To Find The Real Solutions Of An Equation.
From www.youtube.com
Find Solutions Using The Quadratic Formula. Review YouTube How To Find The Real Solutions Of An Equation Solve equations with sine, cosine and tangent; Such questions essentially are asking you to. The equations section of quickmath allows you to solve and plot virtually any equation or system of equations. Real solutions refer to the solutions of an equation that have real number values, as opposed to imaginary or complex number solutions. The equation solver allows you to. How To Find The Real Solutions Of An Equation.
From www.chegg.com
Solved Find the real solutions of the equation by How To Find The Real Solutions Of An Equation Such questions essentially are asking you to. In most cases, you can find exact. Real solutions refer to the solutions of an equation that have real number values, as opposed to imaginary or complex number solutions. Frequently, in algebra class, you will be called to find all real solutions of an equation. Free equation solver helps you to calculate linear,. How To Find The Real Solutions Of An Equation.
From www.numerade.com
SOLVEDFind the real solutions of each equation. Use a calculator to How To Find The Real Solutions Of An Equation Free equation solver helps you to calculate linear, quadratic and polynomial systems of equations. Solve equations with sine, cosine and tangent; Frequently, in algebra class, you will be called to find all real solutions of an equation. Solve in one variable or many. Such questions essentially are asking you to. In most cases, you can find exact. Real solutions refer. How To Find The Real Solutions Of An Equation.
From www.chegg.com
Solved QuestionFind the real solutions of the How To Find The Real Solutions Of An Equation Free equation solver helps you to calculate linear, quadratic and polynomial systems of equations. Frequently, in algebra class, you will be called to find all real solutions of an equation. In most cases, you can find exact. Solve in one variable or many. Answers, graphs, roots, alternate forms. The equation solver allows you to enter your problem and solve the. How To Find The Real Solutions Of An Equation.
From www.numerade.com
⏩SOLVEDFind all real solutions of each equation. √(2 x11)=√(14 How To Find The Real Solutions Of An Equation Real solutions refer to the solutions of an equation that have real number values, as opposed to imaginary or complex number solutions. Frequently, in algebra class, you will be called to find all real solutions of an equation. Solve equations with sine, cosine and tangent; Solve in one variable or many. Free equation solver helps you to calculate linear, quadratic. How To Find The Real Solutions Of An Equation.
From www.chegg.com
Solved Find all real solutions to the equation. How To Find The Real Solutions Of An Equation Frequently, in algebra class, you will be called to find all real solutions of an equation. Answers, graphs, roots, alternate forms. Solve in one variable or many. The equations section of quickmath allows you to solve and plot virtually any equation or system of equations. Free equation solver helps you to calculate linear, quadratic and polynomial systems of equations. In. How To Find The Real Solutions Of An Equation.
From www.chegg.com
Solved Find the real solutions of the following How To Find The Real Solutions Of An Equation Frequently, in algebra class, you will be called to find all real solutions of an equation. Free equation solver helps you to calculate linear, quadratic and polynomial systems of equations. The equations section of quickmath allows you to solve and plot virtually any equation or system of equations. In most cases, you can find exact. The equation solver allows you. How To Find The Real Solutions Of An Equation.
From flatworldknowledge.lardbucket.org
Guidelines for Solving Quadratic Equations and Applications How To Find The Real Solutions Of An Equation The equation solver allows you to enter your problem and solve the equation to see the result. The equations section of quickmath allows you to solve and plot virtually any equation or system of equations. In most cases, you can find exact. Solve in one variable or many. Frequently, in algebra class, you will be called to find all real. How To Find The Real Solutions Of An Equation.
From www.numerade.com
SOLVEDFind all real solutions of each equation. x^4x^2=6 How To Find The Real Solutions Of An Equation Real solutions refer to the solutions of an equation that have real number values, as opposed to imaginary or complex number solutions. Solve in one variable or many. Such questions essentially are asking you to. The equation solver allows you to enter your problem and solve the equation to see the result. Frequently, in algebra class, you will be called. How To Find The Real Solutions Of An Equation.
From www.numerade.com
SOLVEDFind the real solutions of each equation. √(5 x^26)=x How To Find The Real Solutions Of An Equation Solve in one variable or many. The equation solver allows you to enter your problem and solve the equation to see the result. Real solutions refer to the solutions of an equation that have real number values, as opposed to imaginary or complex number solutions. Answers, graphs, roots, alternate forms. Such questions essentially are asking you to. Frequently, in algebra. How To Find The Real Solutions Of An Equation.
From www.chegg.com
Solved Find the real solutions of the equation. ∣2x+1∣=8 How To Find The Real Solutions Of An Equation Solve in one variable or many. Such questions essentially are asking you to. The equation solver allows you to enter your problem and solve the equation to see the result. Solve equations with sine, cosine and tangent; In most cases, you can find exact. The equations section of quickmath allows you to solve and plot virtually any equation or system. How To Find The Real Solutions Of An Equation.
From www.slideserve.com
PPT Ex. 6 Use the discriminant to determine the number of real How To Find The Real Solutions Of An Equation Answers, graphs, roots, alternate forms. Frequently, in algebra class, you will be called to find all real solutions of an equation. Real solutions refer to the solutions of an equation that have real number values, as opposed to imaginary or complex number solutions. The equations section of quickmath allows you to solve and plot virtually any equation or system of. How To Find The Real Solutions Of An Equation.
From www.numerade.com
SOLVEDFind all real solutions of each equation. √(x^37)+1=x How To Find The Real Solutions Of An Equation The equation solver allows you to enter your problem and solve the equation to see the result. The equations section of quickmath allows you to solve and plot virtually any equation or system of equations. Solve equations with sine, cosine and tangent; Free equation solver helps you to calculate linear, quadratic and polynomial systems of equations. In most cases, you. How To Find The Real Solutions Of An Equation.
From www.chegg.com
Solved Find the real solutions of the equation.x2+3x118=0 How To Find The Real Solutions Of An Equation Real solutions refer to the solutions of an equation that have real number values, as opposed to imaginary or complex number solutions. Answers, graphs, roots, alternate forms. Solve in one variable or many. Solve equations with sine, cosine and tangent; Frequently, in algebra class, you will be called to find all real solutions of an equation. The equations section of. How To Find The Real Solutions Of An Equation.
From www.chegg.com
Solved Find the real solutions of the equation.2x+135=2 How To Find The Real Solutions Of An Equation Real solutions refer to the solutions of an equation that have real number values, as opposed to imaginary or complex number solutions. Solve equations with sine, cosine and tangent; Such questions essentially are asking you to. In most cases, you can find exact. Free equation solver helps you to calculate linear, quadratic and polynomial systems of equations. The equations section. How To Find The Real Solutions Of An Equation.
From www.youtube.com
Solving Equation for all Real Solutions by Using Quadratic Formula How To Find The Real Solutions Of An Equation Solve in one variable or many. Such questions essentially are asking you to. In most cases, you can find exact. Solve equations with sine, cosine and tangent; Answers, graphs, roots, alternate forms. Real solutions refer to the solutions of an equation that have real number values, as opposed to imaginary or complex number solutions. The equation solver allows you to. How To Find The Real Solutions Of An Equation.
From www.youtube.com
Find the real solutions of the equation YouTube How To Find The Real Solutions Of An Equation Free equation solver helps you to calculate linear, quadratic and polynomial systems of equations. The equation solver allows you to enter your problem and solve the equation to see the result. Answers, graphs, roots, alternate forms. In most cases, you can find exact. The equations section of quickmath allows you to solve and plot virtually any equation or system of. How To Find The Real Solutions Of An Equation.
From www.youtube.com
Find the Real Solutions for Each Equation YouTube How To Find The Real Solutions Of An Equation Free equation solver helps you to calculate linear, quadratic and polynomial systems of equations. Such questions essentially are asking you to. The equations section of quickmath allows you to solve and plot virtually any equation or system of equations. Real solutions refer to the solutions of an equation that have real number values, as opposed to imaginary or complex number. How To Find The Real Solutions Of An Equation.
From www.youtube.com
Finding the Real Solutions of a Polynomial Equation YouTube How To Find The Real Solutions Of An Equation Frequently, in algebra class, you will be called to find all real solutions of an equation. Such questions essentially are asking you to. The equations section of quickmath allows you to solve and plot virtually any equation or system of equations. Answers, graphs, roots, alternate forms. In most cases, you can find exact. The equation solver allows you to enter. How To Find The Real Solutions Of An Equation.