Pid Meaning Car . Pids are the serial data that can be accessed from the vehicle computer using a scan tool. Basic pids can be found on wikipedia, which contains a. The obd2 connector, obd2 parameter ids (pid) and the link to can bus. Understanding pid data in automotive diagnostics. In this guide we introduce the on board diagnostic (obd2) protocol incl. For example, the standard stipulates. Pid data, or parameter identification data, refers to the information. Each sensor is characterised by a number called pid (parameter identifier) used to identify the parameter.
from xn--v-nwm.vn
Pids are the serial data that can be accessed from the vehicle computer using a scan tool. Pid data, or parameter identification data, refers to the information. Understanding pid data in automotive diagnostics. The obd2 connector, obd2 parameter ids (pid) and the link to can bus. For example, the standard stipulates. In this guide we introduce the on board diagnostic (obd2) protocol incl. Basic pids can be found on wikipedia, which contains a. Each sensor is characterised by a number called pid (parameter identifier) used to identify the parameter.
Hướng dẫn đọc bản vẽ P&ID Process Legend and Symbols in PID Tutorial
Pid Meaning Car Basic pids can be found on wikipedia, which contains a. Basic pids can be found on wikipedia, which contains a. For example, the standard stipulates. The obd2 connector, obd2 parameter ids (pid) and the link to can bus. In this guide we introduce the on board diagnostic (obd2) protocol incl. Pid data, or parameter identification data, refers to the information. Understanding pid data in automotive diagnostics. Each sensor is characterised by a number called pid (parameter identifier) used to identify the parameter. Pids are the serial data that can be accessed from the vehicle computer using a scan tool.
From allan-has-pineda.blogspot.com
Automatic Car Gear Functions AllanhasPineda Pid Meaning Car Each sensor is characterised by a number called pid (parameter identifier) used to identify the parameter. For example, the standard stipulates. Pids are the serial data that can be accessed from the vehicle computer using a scan tool. The obd2 connector, obd2 parameter ids (pid) and the link to can bus. Pid data, or parameter identification data, refers to the. Pid Meaning Car.
From www.edrawmax.com
P&ID Symbols and Meanings EdrawMax Online Pid Meaning Car Each sensor is characterised by a number called pid (parameter identifier) used to identify the parameter. Understanding pid data in automotive diagnostics. Pids are the serial data that can be accessed from the vehicle computer using a scan tool. Basic pids can be found on wikipedia, which contains a. For example, the standard stipulates. In this guide we introduce the. Pid Meaning Car.
From www.congress-intercultural.eu
Lc Map Symbol Meaning Discount Selling www.congressintercultural.eu Pid Meaning Car Each sensor is characterised by a number called pid (parameter identifier) used to identify the parameter. In this guide we introduce the on board diagnostic (obd2) protocol incl. For example, the standard stipulates. Understanding pid data in automotive diagnostics. Pids are the serial data that can be accessed from the vehicle computer using a scan tool. The obd2 connector, obd2. Pid Meaning Car.
From microcontrollerslab.com
PID controller implementation using Arduino Pid Meaning Car Pid data, or parameter identification data, refers to the information. Pids are the serial data that can be accessed from the vehicle computer using a scan tool. Each sensor is characterised by a number called pid (parameter identifier) used to identify the parameter. In this guide we introduce the on board diagnostic (obd2) protocol incl. For example, the standard stipulates.. Pid Meaning Car.
From xn--v-nwm.vn
Hướng dẫn đọc bản vẽ P&ID Process Legend and Symbols in PID Tutorial Pid Meaning Car In this guide we introduce the on board diagnostic (obd2) protocol incl. Each sensor is characterised by a number called pid (parameter identifier) used to identify the parameter. The obd2 connector, obd2 parameter ids (pid) and the link to can bus. Understanding pid data in automotive diagnostics. Pids are the serial data that can be accessed from the vehicle computer. Pid Meaning Car.
From www.youtube.com
How to Tune a PID Controller YouTube Pid Meaning Car For example, the standard stipulates. Pid data, or parameter identification data, refers to the information. Pids are the serial data that can be accessed from the vehicle computer using a scan tool. Each sensor is characterised by a number called pid (parameter identifier) used to identify the parameter. The obd2 connector, obd2 parameter ids (pid) and the link to can. Pid Meaning Car.
From www.slideserve.com
PPT PID Control of a Remote Controlled Car PowerPoint Presentation Pid Meaning Car Understanding pid data in automotive diagnostics. The obd2 connector, obd2 parameter ids (pid) and the link to can bus. Basic pids can be found on wikipedia, which contains a. Pids are the serial data that can be accessed from the vehicle computer using a scan tool. Pid data, or parameter identification data, refers to the information. For example, the standard. Pid Meaning Car.
From www.vectornav.com
Feedback Controls PID Controller Introduction · VectorNav Pid Meaning Car Each sensor is characterised by a number called pid (parameter identifier) used to identify the parameter. The obd2 connector, obd2 parameter ids (pid) and the link to can bus. Pid data, or parameter identification data, refers to the information. Understanding pid data in automotive diagnostics. For example, the standard stipulates. Pids are the serial data that can be accessed from. Pid Meaning Car.
From www.youtube.com
What are PID Tuning Parameters? YouTube Pid Meaning Car Pids are the serial data that can be accessed from the vehicle computer using a scan tool. For example, the standard stipulates. The obd2 connector, obd2 parameter ids (pid) and the link to can bus. Pid data, or parameter identification data, refers to the information. Each sensor is characterised by a number called pid (parameter identifier) used to identify the. Pid Meaning Car.
From www.youtube.com
PID Control Overview YouTube Pid Meaning Car Pids are the serial data that can be accessed from the vehicle computer using a scan tool. For example, the standard stipulates. In this guide we introduce the on board diagnostic (obd2) protocol incl. Each sensor is characterised by a number called pid (parameter identifier) used to identify the parameter. Pid data, or parameter identification data, refers to the information.. Pid Meaning Car.
From www.realpars.com
PID Controller Explained RealPars Pid Meaning Car For example, the standard stipulates. The obd2 connector, obd2 parameter ids (pid) and the link to can bus. Basic pids can be found on wikipedia, which contains a. Pid data, or parameter identification data, refers to the information. Understanding pid data in automotive diagnostics. Each sensor is characterised by a number called pid (parameter identifier) used to identify the parameter.. Pid Meaning Car.
From profireenergy.com
What is a PID Controller? Profire Energy Pid Meaning Car The obd2 connector, obd2 parameter ids (pid) and the link to can bus. In this guide we introduce the on board diagnostic (obd2) protocol incl. Each sensor is characterised by a number called pid (parameter identifier) used to identify the parameter. Understanding pid data in automotive diagnostics. For example, the standard stipulates. Basic pids can be found on wikipedia, which. Pid Meaning Car.
From www.dombor.com
P&ID Symbols Meanings and Usages Pid Meaning Car For example, the standard stipulates. Pids are the serial data that can be accessed from the vehicle computer using a scan tool. Basic pids can be found on wikipedia, which contains a. Each sensor is characterised by a number called pid (parameter identifier) used to identify the parameter. The obd2 connector, obd2 parameter ids (pid) and the link to can. Pid Meaning Car.
From www.processinstruments.net
PID AutoTune What is the drawback for water processes? Pi Pid Meaning Car Pid data, or parameter identification data, refers to the information. The obd2 connector, obd2 parameter ids (pid) and the link to can bus. In this guide we introduce the on board diagnostic (obd2) protocol incl. Pids are the serial data that can be accessed from the vehicle computer using a scan tool. Understanding pid data in automotive diagnostics. Each sensor. Pid Meaning Car.
From www.youtube.com
What is a PID Controller? YouTube Pid Meaning Car The obd2 connector, obd2 parameter ids (pid) and the link to can bus. Basic pids can be found on wikipedia, which contains a. In this guide we introduce the on board diagnostic (obd2) protocol incl. Pids are the serial data that can be accessed from the vehicle computer using a scan tool. Understanding pid data in automotive diagnostics. For example,. Pid Meaning Car.
From www.youtube.com
Simple Examples of PID Control YouTube Pid Meaning Car In this guide we introduce the on board diagnostic (obd2) protocol incl. Pid data, or parameter identification data, refers to the information. Pids are the serial data that can be accessed from the vehicle computer using a scan tool. Each sensor is characterised by a number called pid (parameter identifier) used to identify the parameter. For example, the standard stipulates.. Pid Meaning Car.
From brunofuga.adv.br
Pelvic Inflammatory Disease (PID) Pelvic Inflammatory, 42 OFF Pid Meaning Car In this guide we introduce the on board diagnostic (obd2) protocol incl. Understanding pid data in automotive diagnostics. Pids are the serial data that can be accessed from the vehicle computer using a scan tool. Each sensor is characterised by a number called pid (parameter identifier) used to identify the parameter. The obd2 connector, obd2 parameter ids (pid) and the. Pid Meaning Car.
From www.pinterest.com
Pin on cars trucks Pid Meaning Car Each sensor is characterised by a number called pid (parameter identifier) used to identify the parameter. Basic pids can be found on wikipedia, which contains a. For example, the standard stipulates. The obd2 connector, obd2 parameter ids (pid) and the link to can bus. Understanding pid data in automotive diagnostics. In this guide we introduce the on board diagnostic (obd2). Pid Meaning Car.
From plcynergy.com
What Is A PID Controller And How It Works? PLCynergy Pid Meaning Car Pids are the serial data that can be accessed from the vehicle computer using a scan tool. Pid data, or parameter identification data, refers to the information. Basic pids can be found on wikipedia, which contains a. Each sensor is characterised by a number called pid (parameter identifier) used to identify the parameter. For example, the standard stipulates. Understanding pid. Pid Meaning Car.
From www.rogersmotorsautoservice.ca
Decoding Your Car's Dashboard Symbols and Meanings Pid Meaning Car Basic pids can be found on wikipedia, which contains a. Each sensor is characterised by a number called pid (parameter identifier) used to identify the parameter. Pids are the serial data that can be accessed from the vehicle computer using a scan tool. For example, the standard stipulates. In this guide we introduce the on board diagnostic (obd2) protocol incl.. Pid Meaning Car.
From circuitwiringwried55.z21.web.core.windows.net
Introduction To Pid Controller Pdf Pid Meaning Car In this guide we introduce the on board diagnostic (obd2) protocol incl. For example, the standard stipulates. Pids are the serial data that can be accessed from the vehicle computer using a scan tool. Basic pids can be found on wikipedia, which contains a. Pid data, or parameter identification data, refers to the information. The obd2 connector, obd2 parameter ids. Pid Meaning Car.
From blog.hilecontrolsinc.com
Principles of PID Control and Tuning White Paper The Hile Controls Pid Meaning Car Pid data, or parameter identification data, refers to the information. Pids are the serial data that can be accessed from the vehicle computer using a scan tool. For example, the standard stipulates. Understanding pid data in automotive diagnostics. The obd2 connector, obd2 parameter ids (pid) and the link to can bus. Each sensor is characterised by a number called pid. Pid Meaning Car.
From www.youtube.com
What Is PID Control? Understanding PID Control, Part 1 YouTube Pid Meaning Car Pids are the serial data that can be accessed from the vehicle computer using a scan tool. Each sensor is characterised by a number called pid (parameter identifier) used to identify the parameter. Understanding pid data in automotive diagnostics. Basic pids can be found on wikipedia, which contains a. In this guide we introduce the on board diagnostic (obd2) protocol. Pid Meaning Car.
From www.edrawmax.com
P&ID Symbols and Meanings EdrawMax Online Pid Meaning Car Basic pids can be found on wikipedia, which contains a. Understanding pid data in automotive diagnostics. Pid data, or parameter identification data, refers to the information. Each sensor is characterised by a number called pid (parameter identifier) used to identify the parameter. The obd2 connector, obd2 parameter ids (pid) and the link to can bus. Pids are the serial data. Pid Meaning Car.
From www.youtube.com
pid controller explained instrumentation industrial automation Pid Meaning Car Pid data, or parameter identification data, refers to the information. Understanding pid data in automotive diagnostics. Pids are the serial data that can be accessed from the vehicle computer using a scan tool. Each sensor is characterised by a number called pid (parameter identifier) used to identify the parameter. Basic pids can be found on wikipedia, which contains a. The. Pid Meaning Car.
From www.youtube.com
PID What do the parameters mean?! Here's the answer! YouTube Pid Meaning Car Basic pids can be found on wikipedia, which contains a. For example, the standard stipulates. Pids are the serial data that can be accessed from the vehicle computer using a scan tool. In this guide we introduce the on board diagnostic (obd2) protocol incl. The obd2 connector, obd2 parameter ids (pid) and the link to can bus. Pid data, or. Pid Meaning Car.
From www.slideshare.net
Pid basics Pid Meaning Car Understanding pid data in automotive diagnostics. For example, the standard stipulates. The obd2 connector, obd2 parameter ids (pid) and the link to can bus. In this guide we introduce the on board diagnostic (obd2) protocol incl. Basic pids can be found on wikipedia, which contains a. Pids are the serial data that can be accessed from the vehicle computer using. Pid Meaning Car.
From guidepartpussyfoot.z21.web.core.windows.net
Vehicle Dashboard Symbols And Meanings Pid Meaning Car Basic pids can be found on wikipedia, which contains a. For example, the standard stipulates. Understanding pid data in automotive diagnostics. Pids are the serial data that can be accessed from the vehicle computer using a scan tool. Each sensor is characterised by a number called pid (parameter identifier) used to identify the parameter. In this guide we introduce the. Pid Meaning Car.
From www.researchgate.net
Piping and instrumentation diagram, where the syntax PID(Q c f ) means Pid Meaning Car The obd2 connector, obd2 parameter ids (pid) and the link to can bus. Basic pids can be found on wikipedia, which contains a. Each sensor is characterised by a number called pid (parameter identifier) used to identify the parameter. Pids are the serial data that can be accessed from the vehicle computer using a scan tool. Understanding pid data in. Pid Meaning Car.
From electronicshacks.com
What is a PID Controller? ElectronicsHacks Pid Meaning Car Each sensor is characterised by a number called pid (parameter identifier) used to identify the parameter. Basic pids can be found on wikipedia, which contains a. The obd2 connector, obd2 parameter ids (pid) and the link to can bus. For example, the standard stipulates. Pid data, or parameter identification data, refers to the information. Pids are the serial data that. Pid Meaning Car.
From kimray.com
How to Read Oil and Gas P&ID Symbols Kimray Pid Meaning Car Each sensor is characterised by a number called pid (parameter identifier) used to identify the parameter. In this guide we introduce the on board diagnostic (obd2) protocol incl. Pid data, or parameter identification data, refers to the information. Basic pids can be found on wikipedia, which contains a. Understanding pid data in automotive diagnostics. Pids are the serial data that. Pid Meaning Car.
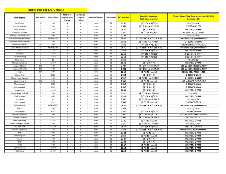
From www.scribd.com
Obdii Pid List Vehicle Version PDF Computing Vehicles Pid Meaning Car In this guide we introduce the on board diagnostic (obd2) protocol incl. For example, the standard stipulates. Each sensor is characterised by a number called pid (parameter identifier) used to identify the parameter. The obd2 connector, obd2 parameter ids (pid) and the link to can bus. Pids are the serial data that can be accessed from the vehicle computer using. Pid Meaning Car.
From www.pipajaya.com
check valve symbol pid Valve symbol flow control symbols piping pfd Pid Meaning Car For example, the standard stipulates. Pids are the serial data that can be accessed from the vehicle computer using a scan tool. Each sensor is characterised by a number called pid (parameter identifier) used to identify the parameter. Understanding pid data in automotive diagnostics. In this guide we introduce the on board diagnostic (obd2) protocol incl. Basic pids can be. Pid Meaning Car.
From mechanicevileminem2010v.z21.web.core.windows.net
Car Slippery Sign Shows On Dashboard Pid Meaning Car Understanding pid data in automotive diagnostics. Pid data, or parameter identification data, refers to the information. Each sensor is characterised by a number called pid (parameter identifier) used to identify the parameter. Basic pids can be found on wikipedia, which contains a. Pids are the serial data that can be accessed from the vehicle computer using a scan tool. For. Pid Meaning Car.
From www.totalcardiagnostics.com
Complete List of OBD2 Codes OBDII & OEM Diagnostic Trouble Codes Car Pid Meaning Car Pids are the serial data that can be accessed from the vehicle computer using a scan tool. Each sensor is characterised by a number called pid (parameter identifier) used to identify the parameter. The obd2 connector, obd2 parameter ids (pid) and the link to can bus. Basic pids can be found on wikipedia, which contains a. In this guide we. Pid Meaning Car.