A Laser Emits Light Of Frequency 4.74 . a laser emits light of frequency 4.74x 1014 hz. Frequency is represented by f and its value is given. What is the wavelength of the light in nanometers (nm) ? Identify the given frequency and acknowledge that you need to find the wavelength (lambda), which you can calculate using the formula lambda = c / nu,. the frequency of light emitted by a laser depends on the type of laser and the energy levels of the atoms within it. Given that the frequency of red light photon, red light photon. What is wavelength of the light in nm? A laser emits light of frequency.
from slideplayer.com
Identify the given frequency and acknowledge that you need to find the wavelength (lambda), which you can calculate using the formula lambda = c / nu,. the frequency of light emitted by a laser depends on the type of laser and the energy levels of the atoms within it. What is the wavelength of the light in nanometers (nm) ? Frequency is represented by f and its value is given. A laser emits light of frequency. a laser emits light of frequency 4.74x 1014 hz. Given that the frequency of red light photon, red light photon. What is wavelength of the light in nm?
Phy2005 Applied Physics II Spring 2017 Announcements ppt download
A Laser Emits Light Of Frequency 4.74 a laser emits light of frequency 4.74x 1014 hz. a laser emits light of frequency 4.74x 1014 hz. Frequency is represented by f and its value is given. Given that the frequency of red light photon, red light photon. A laser emits light of frequency. What is wavelength of the light in nm? Identify the given frequency and acknowledge that you need to find the wavelength (lambda), which you can calculate using the formula lambda = c / nu,. What is the wavelength of the light in nanometers (nm) ? the frequency of light emitted by a laser depends on the type of laser and the energy levels of the atoms within it.
From www.numerade.com
SOLVED A laser emits light with a frequency of 4.75×10^14 s^1. What A Laser Emits Light Of Frequency 4.74 the frequency of light emitted by a laser depends on the type of laser and the energy levels of the atoms within it. A laser emits light of frequency. Frequency is represented by f and its value is given. What is wavelength of the light in nm? a laser emits light of frequency 4.74x 1014 hz. What is. A Laser Emits Light Of Frequency 4.74.
From www.chegg.com
Solved A laser emits light at power 4.65 mW and wavelength A Laser Emits Light Of Frequency 4.74 What is wavelength of the light in nm? Identify the given frequency and acknowledge that you need to find the wavelength (lambda), which you can calculate using the formula lambda = c / nu,. A laser emits light of frequency. the frequency of light emitted by a laser depends on the type of laser and the energy levels of. A Laser Emits Light Of Frequency 4.74.
From www.numerade.com
SOLVED A laser pointer used in a lecture hall emits light at 650 nm A Laser Emits Light Of Frequency 4.74 What is wavelength of the light in nm? A laser emits light of frequency. What is the wavelength of the light in nanometers (nm) ? the frequency of light emitted by a laser depends on the type of laser and the energy levels of the atoms within it. Given that the frequency of red light photon, red light photon.. A Laser Emits Light Of Frequency 4.74.
From www.numerade.com
SOLVED (a) A red laser pointer emits light with a wavelength of 650 nm A Laser Emits Light Of Frequency 4.74 the frequency of light emitted by a laser depends on the type of laser and the energy levels of the atoms within it. Given that the frequency of red light photon, red light photon. Frequency is represented by f and its value is given. What is the wavelength of the light in nanometers (nm) ? Identify the given frequency. A Laser Emits Light Of Frequency 4.74.
From www.youtube.com
A green laser pointer emits light with a wavelength of 550 nm. What is A Laser Emits Light Of Frequency 4.74 A laser emits light of frequency. Given that the frequency of red light photon, red light photon. a laser emits light of frequency 4.74x 1014 hz. What is wavelength of the light in nm? the frequency of light emitted by a laser depends on the type of laser and the energy levels of the atoms within it. What. A Laser Emits Light Of Frequency 4.74.
From www.laserfocusworld.com
Manylayered laser emits from 5 to 8 μm Laser Focus World A Laser Emits Light Of Frequency 4.74 A laser emits light of frequency. Frequency is represented by f and its value is given. What is wavelength of the light in nm? a laser emits light of frequency 4.74x 1014 hz. Given that the frequency of red light photon, red light photon. What is the wavelength of the light in nanometers (nm) ? the frequency of. A Laser Emits Light Of Frequency 4.74.
From www.numerade.com
⏩SOLVED(a) A green laser pointer emits light with a wavelength of A Laser Emits Light Of Frequency 4.74 Identify the given frequency and acknowledge that you need to find the wavelength (lambda), which you can calculate using the formula lambda = c / nu,. a laser emits light of frequency 4.74x 1014 hz. What is wavelength of the light in nm? Frequency is represented by f and its value is given. the frequency of light emitted. A Laser Emits Light Of Frequency 4.74.
From brainly.in
A laser emits light of frequency 4.74 x 1014 sec1. What is the A Laser Emits Light Of Frequency 4.74 Identify the given frequency and acknowledge that you need to find the wavelength (lambda), which you can calculate using the formula lambda = c / nu,. a laser emits light of frequency 4.74x 1014 hz. Frequency is represented by f and its value is given. the frequency of light emitted by a laser depends on the type of. A Laser Emits Light Of Frequency 4.74.
From www.chegg.com
Solved 4. A laser emits light at a wavelength of 488 nm at A Laser Emits Light Of Frequency 4.74 What is the wavelength of the light in nanometers (nm) ? What is wavelength of the light in nm? A laser emits light of frequency. Given that the frequency of red light photon, red light photon. Frequency is represented by f and its value is given. the frequency of light emitted by a laser depends on the type of. A Laser Emits Light Of Frequency 4.74.
From byjus.com
Physics 3. A laser used to weld detached retains emits light with a A Laser Emits Light Of Frequency 4.74 A laser emits light of frequency. Identify the given frequency and acknowledge that you need to find the wavelength (lambda), which you can calculate using the formula lambda = c / nu,. a laser emits light of frequency 4.74x 1014 hz. What is the wavelength of the light in nanometers (nm) ? Given that the frequency of red light. A Laser Emits Light Of Frequency 4.74.
From www.numerade.com
SOLVED A heliumneon laser emits light of wavelength 633 nanometers A Laser Emits Light Of Frequency 4.74 the frequency of light emitted by a laser depends on the type of laser and the energy levels of the atoms within it. What is wavelength of the light in nm? A laser emits light of frequency. Identify the given frequency and acknowledge that you need to find the wavelength (lambda), which you can calculate using the formula lambda. A Laser Emits Light Of Frequency 4.74.
From www.chegg.com
Solved 14. A helium laser emits light with a wavelength of A Laser Emits Light Of Frequency 4.74 What is the wavelength of the light in nanometers (nm) ? Identify the given frequency and acknowledge that you need to find the wavelength (lambda), which you can calculate using the formula lambda = c / nu,. Frequency is represented by f and its value is given. a laser emits light of frequency 4.74x 1014 hz. What is wavelength. A Laser Emits Light Of Frequency 4.74.
From www.studypool.com
SOLUTION A pulsed laser emits light of wavelength Studypool A Laser Emits Light Of Frequency 4.74 Frequency is represented by f and its value is given. What is wavelength of the light in nm? A laser emits light of frequency. Identify the given frequency and acknowledge that you need to find the wavelength (lambda), which you can calculate using the formula lambda = c / nu,. the frequency of light emitted by a laser depends. A Laser Emits Light Of Frequency 4.74.
From www.researchgate.net
LiDAR emits laser pulses towards the atmosphere and retrieves frequency A Laser Emits Light Of Frequency 4.74 A laser emits light of frequency. Frequency is represented by f and its value is given. a laser emits light of frequency 4.74x 1014 hz. Given that the frequency of red light photon, red light photon. What is the wavelength of the light in nanometers (nm) ? the frequency of light emitted by a laser depends on the. A Laser Emits Light Of Frequency 4.74.
From slideplayer.com
Arrangement of Electrons in Atoms ppt download A Laser Emits Light Of Frequency 4.74 What is the wavelength of the light in nanometers (nm) ? A laser emits light of frequency. Given that the frequency of red light photon, red light photon. Identify the given frequency and acknowledge that you need to find the wavelength (lambda), which you can calculate using the formula lambda = c / nu,. What is wavelength of the light. A Laser Emits Light Of Frequency 4.74.
From oneclass.com
OneClass Part A A red laser pointer emits light with a wavelength of A Laser Emits Light Of Frequency 4.74 a laser emits light of frequency 4.74x 1014 hz. Given that the frequency of red light photon, red light photon. A laser emits light of frequency. the frequency of light emitted by a laser depends on the type of laser and the energy levels of the atoms within it. What is the wavelength of the light in nanometers. A Laser Emits Light Of Frequency 4.74.
From www.chegg.com
Solved A laser emits a beam of monochromatic light with A Laser Emits Light Of Frequency 4.74 What is wavelength of the light in nm? a laser emits light of frequency 4.74x 1014 hz. What is the wavelength of the light in nanometers (nm) ? Given that the frequency of red light photon, red light photon. A laser emits light of frequency. Frequency is represented by f and its value is given. the frequency of. A Laser Emits Light Of Frequency 4.74.
From www.toppr.com
A pulsed laser emits light at a wavelength of 694.4 nm. The pulse A Laser Emits Light Of Frequency 4.74 What is wavelength of the light in nm? a laser emits light of frequency 4.74x 1014 hz. Identify the given frequency and acknowledge that you need to find the wavelength (lambda), which you can calculate using the formula lambda = c / nu,. A laser emits light of frequency. the frequency of light emitted by a laser depends. A Laser Emits Light Of Frequency 4.74.
From www.numerade.com
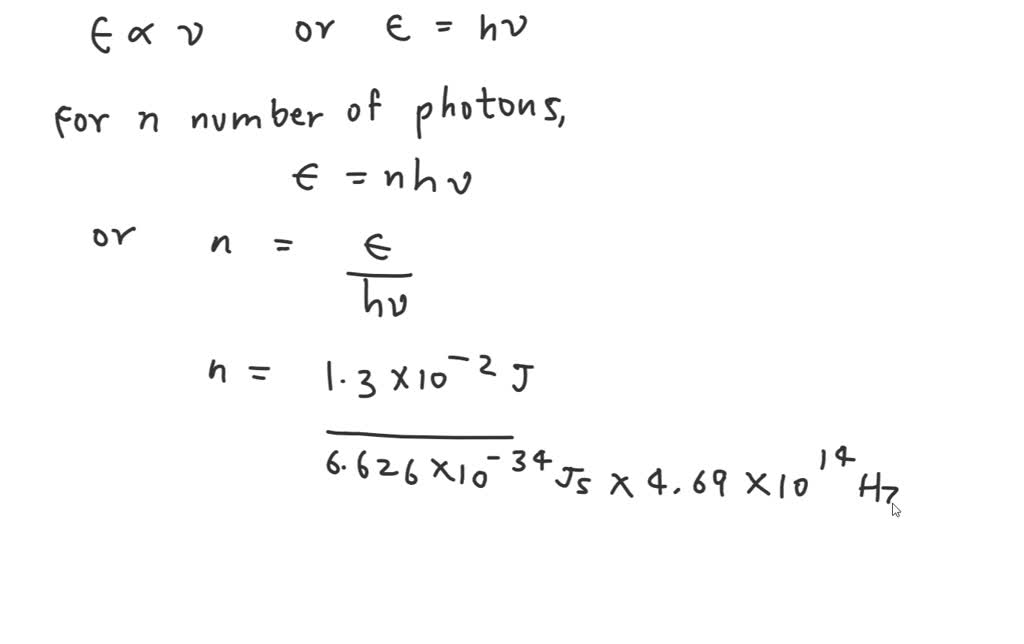
SOLVED A laser emits light with a frequency of 4.69 x 10' Hz and emits A Laser Emits Light Of Frequency 4.74 A laser emits light of frequency. Frequency is represented by f and its value is given. What is wavelength of the light in nm? Identify the given frequency and acknowledge that you need to find the wavelength (lambda), which you can calculate using the formula lambda = c / nu,. a laser emits light of frequency 4.74x 1014 hz.. A Laser Emits Light Of Frequency 4.74.
From www.asml.com
Light & lasers Lithography principles ASML A Laser Emits Light Of Frequency 4.74 A laser emits light of frequency. What is wavelength of the light in nm? the frequency of light emitted by a laser depends on the type of laser and the energy levels of the atoms within it. Given that the frequency of red light photon, red light photon. Frequency is represented by f and its value is given. Identify. A Laser Emits Light Of Frequency 4.74.
From www.studyxapp.com
5 a laser emits light of wavelength 463 nm during a brief pulse that A Laser Emits Light Of Frequency 4.74 A laser emits light of frequency. the frequency of light emitted by a laser depends on the type of laser and the energy levels of the atoms within it. Given that the frequency of red light photon, red light photon. Frequency is represented by f and its value is given. Identify the given frequency and acknowledge that you need. A Laser Emits Light Of Frequency 4.74.
From www.chegg.com
Solved A certain laser emits light in a narrow band of A Laser Emits Light Of Frequency 4.74 What is the wavelength of the light in nanometers (nm) ? What is wavelength of the light in nm? the frequency of light emitted by a laser depends on the type of laser and the energy levels of the atoms within it. a laser emits light of frequency 4.74x 1014 hz. A laser emits light of frequency. Identify. A Laser Emits Light Of Frequency 4.74.
From www.chegg.com
Solved 1) A laser emits light of frequency 4.74 x 10 sec . A Laser Emits Light Of Frequency 4.74 A laser emits light of frequency. What is wavelength of the light in nm? Given that the frequency of red light photon, red light photon. a laser emits light of frequency 4.74x 1014 hz. Identify the given frequency and acknowledge that you need to find the wavelength (lambda), which you can calculate using the formula lambda = c /. A Laser Emits Light Of Frequency 4.74.
From slideplayer.com
Arrangement of Electrons in Atoms ppt download A Laser Emits Light Of Frequency 4.74 What is the wavelength of the light in nanometers (nm) ? What is wavelength of the light in nm? Identify the given frequency and acknowledge that you need to find the wavelength (lambda), which you can calculate using the formula lambda = c / nu,. the frequency of light emitted by a laser depends on the type of laser. A Laser Emits Light Of Frequency 4.74.
From brainly.ph
A helium laser emits light with a wavelength of 6.33x 10¹⁶ m. what is A Laser Emits Light Of Frequency 4.74 What is the wavelength of the light in nanometers (nm) ? What is wavelength of the light in nm? Given that the frequency of red light photon, red light photon. A laser emits light of frequency. a laser emits light of frequency 4.74x 1014 hz. the frequency of light emitted by a laser depends on the type of. A Laser Emits Light Of Frequency 4.74.
From www.numerade.com
SOLVEDTwo lasers emit light at different frequencies. The frequency of A Laser Emits Light Of Frequency 4.74 a laser emits light of frequency 4.74x 1014 hz. the frequency of light emitted by a laser depends on the type of laser and the energy levels of the atoms within it. Identify the given frequency and acknowledge that you need to find the wavelength (lambda), which you can calculate using the formula lambda = c / nu,.. A Laser Emits Light Of Frequency 4.74.
From slidetodoc.com
Spectrum RADIATION A Laser Emits Light Of Frequency 4.74 a laser emits light of frequency 4.74x 1014 hz. Frequency is represented by f and its value is given. Given that the frequency of red light photon, red light photon. the frequency of light emitted by a laser depends on the type of laser and the energy levels of the atoms within it. A laser emits light of. A Laser Emits Light Of Frequency 4.74.
From www.chegg.com
Solved A green laser pointer emits light with a frequency A Laser Emits Light Of Frequency 4.74 Frequency is represented by f and its value is given. Given that the frequency of red light photon, red light photon. What is the wavelength of the light in nanometers (nm) ? A laser emits light of frequency. the frequency of light emitted by a laser depends on the type of laser and the energy levels of the atoms. A Laser Emits Light Of Frequency 4.74.
From www.chegg.com
Solved Pulsed dye lasers emit light of wavelength 585 nm in A Laser Emits Light Of Frequency 4.74 Identify the given frequency and acknowledge that you need to find the wavelength (lambda), which you can calculate using the formula lambda = c / nu,. What is the wavelength of the light in nanometers (nm) ? Frequency is represented by f and its value is given. a laser emits light of frequency 4.74x 1014 hz. Given that the. A Laser Emits Light Of Frequency 4.74.
From www.studypool.com
SOLUTION A pulsed laser emits light of wavelength Studypool A Laser Emits Light Of Frequency 4.74 A laser emits light of frequency. Identify the given frequency and acknowledge that you need to find the wavelength (lambda), which you can calculate using the formula lambda = c / nu,. the frequency of light emitted by a laser depends on the type of laser and the energy levels of the atoms within it. Frequency is represented by. A Laser Emits Light Of Frequency 4.74.
From www.researchgate.net
Schematic of the experimental setup. A A laser emits light that is A Laser Emits Light Of Frequency 4.74 Identify the given frequency and acknowledge that you need to find the wavelength (lambda), which you can calculate using the formula lambda = c / nu,. A laser emits light of frequency. a laser emits light of frequency 4.74x 1014 hz. What is the wavelength of the light in nanometers (nm) ? Given that the frequency of red light. A Laser Emits Light Of Frequency 4.74.
From www.chegg.com
Solved 1. A heliumneon laser emits light with a wavelength A Laser Emits Light Of Frequency 4.74 a laser emits light of frequency 4.74x 1014 hz. Identify the given frequency and acknowledge that you need to find the wavelength (lambda), which you can calculate using the formula lambda = c / nu,. What is wavelength of the light in nm? Frequency is represented by f and its value is given. the frequency of light emitted. A Laser Emits Light Of Frequency 4.74.
From slideplayer.com
Phy2005 Applied Physics II Spring 2017 Announcements ppt download A Laser Emits Light Of Frequency 4.74 the frequency of light emitted by a laser depends on the type of laser and the energy levels of the atoms within it. A laser emits light of frequency. Given that the frequency of red light photon, red light photon. What is the wavelength of the light in nanometers (nm) ? a laser emits light of frequency 4.74x. A Laser Emits Light Of Frequency 4.74.
From www.numerade.com
SOLVEDA heliumneon laser emits 632.8 nmwavelength light. What's the A Laser Emits Light Of Frequency 4.74 a laser emits light of frequency 4.74x 1014 hz. Identify the given frequency and acknowledge that you need to find the wavelength (lambda), which you can calculate using the formula lambda = c / nu,. What is the wavelength of the light in nanometers (nm) ? the frequency of light emitted by a laser depends on the type. A Laser Emits Light Of Frequency 4.74.
From www.chegg.com
Solved A laser emits light with a frequency of 4.69 x 1014 A Laser Emits Light Of Frequency 4.74 Given that the frequency of red light photon, red light photon. the frequency of light emitted by a laser depends on the type of laser and the energy levels of the atoms within it. What is wavelength of the light in nm? Frequency is represented by f and its value is given. What is the wavelength of the light. A Laser Emits Light Of Frequency 4.74.