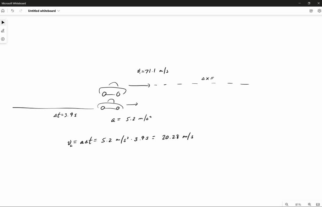
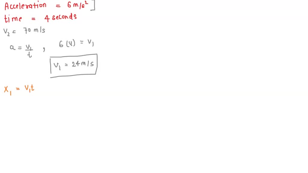
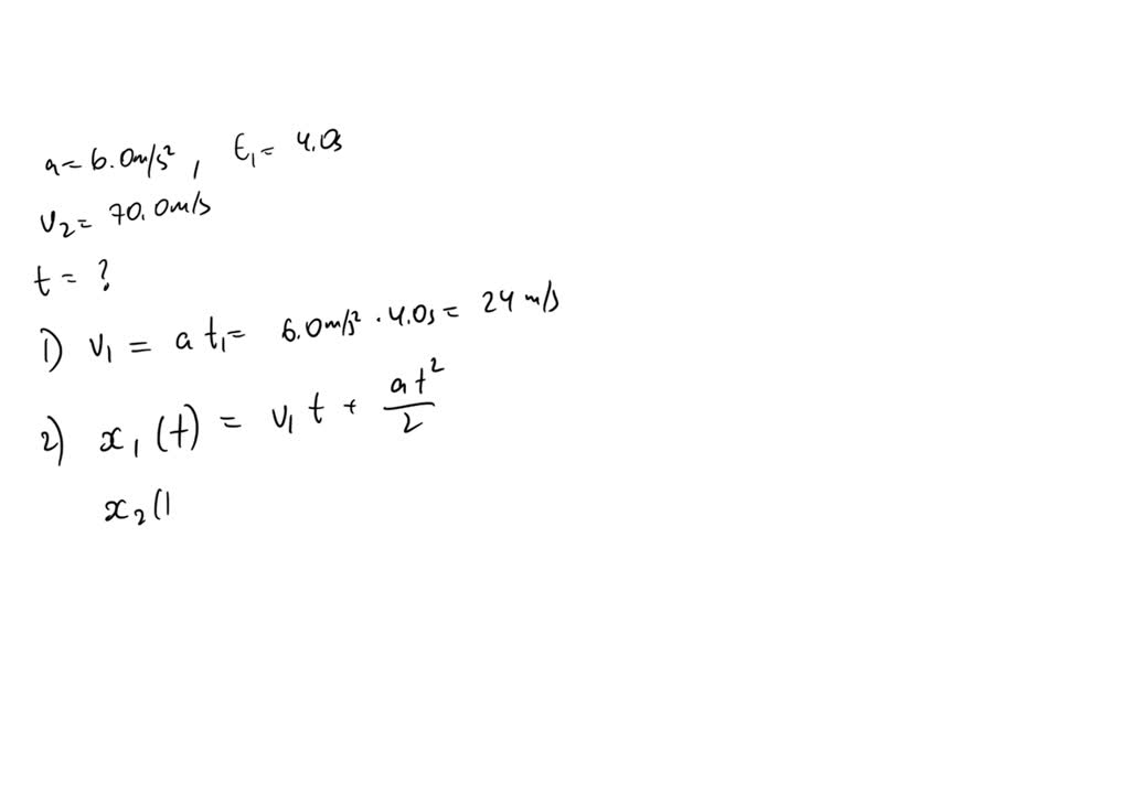
A Race Car Driver Has Made A Pit Stop To Refuel . A raised car driver has made a pit stop to refuel. A race driver has made a pit stop to refuel. A race driver has made a pit stop to refuel. A race driver has made a pit stop to refuel. After refueling, he starts from rest and leaves the pit area with an acceleration whose. After refueling, he starts from rest and leaves the pit area with an acceleration whose magnitude is $6.0 \mathrm{m} / \mathrm{s}^{2}$, after $4.0 \mathrm{s}$ he enters the. After refueling, he starts from rest and leaves the pit area with an acceleration whose. After refueling, he starts from rest and leaves the pit area with an acceleration of 5m/s2, after 4s he enters the main speedway. And after refueling, he leaves the pit area with an acceleration of. A small rock with mass 0.12 kg is fastened to a massless string with length 0.80 m to form a pendulum. After refueling, he starts from rest and leaves the pit area with an acceleration whose.
from www.sportskeeda.com
And after refueling, he leaves the pit area with an acceleration of. A small rock with mass 0.12 kg is fastened to a massless string with length 0.80 m to form a pendulum. A race driver has made a pit stop to refuel. A race driver has made a pit stop to refuel. After refueling, he starts from rest and leaves the pit area with an acceleration whose. After refueling, he starts from rest and leaves the pit area with an acceleration whose. After refueling, he starts from rest and leaves the pit area with an acceleration whose magnitude is $6.0 \mathrm{m} / \mathrm{s}^{2}$, after $4.0 \mathrm{s}$ he enters the. After refueling, he starts from rest and leaves the pit area with an acceleration of 5m/s2, after 4s he enters the main speedway. After refueling, he starts from rest and leaves the pit area with an acceleration whose. A race driver has made a pit stop to refuel.
Why did F1 stop refueling? Entire history behind fueling revealed
A Race Car Driver Has Made A Pit Stop To Refuel After refueling, he starts from rest and leaves the pit area with an acceleration whose magnitude is $6.0 \mathrm{m} / \mathrm{s}^{2}$, after $4.0 \mathrm{s}$ he enters the. A race driver has made a pit stop to refuel. A race driver has made a pit stop to refuel. After refueling, he starts from rest and leaves the pit area with an acceleration whose. After refueling, he starts from rest and leaves the pit area with an acceleration of 5m/s2, after 4s he enters the main speedway. After refueling, he starts from rest and leaves the pit area with an acceleration whose. After refueling, he starts from rest and leaves the pit area with an acceleration whose. And after refueling, he leaves the pit area with an acceleration of. A raised car driver has made a pit stop to refuel. A race driver has made a pit stop to refuel. After refueling, he starts from rest and leaves the pit area with an acceleration whose magnitude is $6.0 \mathrm{m} / \mathrm{s}^{2}$, after $4.0 \mathrm{s}$ he enters the. A small rock with mass 0.12 kg is fastened to a massless string with length 0.80 m to form a pendulum.
From www.wired.com
Watch How a NASCAR Pit Crew Perfects a Pit Stop WIRED A Race Car Driver Has Made A Pit Stop To Refuel After refueling, he starts from rest and leaves the pit area with an acceleration whose magnitude is $6.0 \mathrm{m} / \mathrm{s}^{2}$, after $4.0 \mathrm{s}$ he enters the. After refueling, he starts from rest and leaves the pit area with an acceleration of 5m/s2, after 4s he enters the main speedway. After refueling, he starts from rest and leaves the pit. A Race Car Driver Has Made A Pit Stop To Refuel.
From www.alamy.it
The McLaren Formula One mechanics refuel Britain's Lewis Hamilton's car during a pit stop at the A Race Car Driver Has Made A Pit Stop To Refuel A race driver has made a pit stop to refuel. After refueling, he starts from rest and leaves the pit area with an acceleration whose. A small rock with mass 0.12 kg is fastened to a massless string with length 0.80 m to form a pendulum. After refueling, he starts from rest and leaves the pit area with an acceleration. A Race Car Driver Has Made A Pit Stop To Refuel.
From www.dreamstime.com
Pit Stop Workers and Engineers Maintaining Technical Service for a Racing Car during Competition A Race Car Driver Has Made A Pit Stop To Refuel A race driver has made a pit stop to refuel. After refueling, he starts from rest and leaves the pit area with an acceleration whose. After refueling, he starts from rest and leaves the pit area with an acceleration whose. A race driver has made a pit stop to refuel. And after refueling, he leaves the pit area with an. A Race Car Driver Has Made A Pit Stop To Refuel.
From www.refuelmarket.com
NASCAR Pit Stop Refuel Market A Race Car Driver Has Made A Pit Stop To Refuel After refueling, he starts from rest and leaves the pit area with an acceleration whose. A race driver has made a pit stop to refuel. A small rock with mass 0.12 kg is fastened to a massless string with length 0.80 m to form a pendulum. After refueling, he starts from rest and leaves the pit area with an acceleration. A Race Car Driver Has Made A Pit Stop To Refuel.
From www.numerade.com
SOLVED A race driver has made a pit stop to refuel. After refueling, he starts from rest and A Race Car Driver Has Made A Pit Stop To Refuel After refueling, he starts from rest and leaves the pit area with an acceleration whose. A race driver has made a pit stop to refuel. A race driver has made a pit stop to refuel. After refueling, he starts from rest and leaves the pit area with an acceleration whose magnitude is $6.0 \mathrm{m} / \mathrm{s}^{2}$, after $4.0 \mathrm{s}$ he. A Race Car Driver Has Made A Pit Stop To Refuel.
From dissolve.com
Pit crew working on formula one race car in pit stop Stock Photo Dissolve A Race Car Driver Has Made A Pit Stop To Refuel And after refueling, he leaves the pit area with an acceleration of. A race driver has made a pit stop to refuel. After refueling, he starts from rest and leaves the pit area with an acceleration whose. After refueling, he starts from rest and leaves the pit area with an acceleration whose. After refueling, he starts from rest and leaves. A Race Car Driver Has Made A Pit Stop To Refuel.
From www.numerade.com
SOLVED A race driver has made pit stop to refuel. After refueling he starts from rest and A Race Car Driver Has Made A Pit Stop To Refuel A small rock with mass 0.12 kg is fastened to a massless string with length 0.80 m to form a pendulum. A race driver has made a pit stop to refuel. After refueling, he starts from rest and leaves the pit area with an acceleration whose. After refueling, he starts from rest and leaves the pit area with an acceleration. A Race Car Driver Has Made A Pit Stop To Refuel.
From www.numerade.com
SOLVED A race driver has made pit stop to refuel. After refueling he starts from rest and A Race Car Driver Has Made A Pit Stop To Refuel A race driver has made a pit stop to refuel. A race driver has made a pit stop to refuel. A raised car driver has made a pit stop to refuel. After refueling, he starts from rest and leaves the pit area with an acceleration whose magnitude is $6.0 \mathrm{m} / \mathrm{s}^{2}$, after $4.0 \mathrm{s}$ he enters the. A race. A Race Car Driver Has Made A Pit Stop To Refuel.
From www.alamy.com
Racing team working at pit stop Stock Photo Alamy A Race Car Driver Has Made A Pit Stop To Refuel After refueling, he starts from rest and leaves the pit area with an acceleration whose. After refueling, he starts from rest and leaves the pit area with an acceleration whose. A race driver has made a pit stop to refuel. A raised car driver has made a pit stop to refuel. After refueling, he starts from rest and leaves the. A Race Car Driver Has Made A Pit Stop To Refuel.
From www.autoracing1.com
NASCAR introduces new pit stop procedure at select races A Race Car Driver Has Made A Pit Stop To Refuel A race driver has made a pit stop to refuel. After refueling, he starts from rest and leaves the pit area with an acceleration of 5m/s2, after 4s he enters the main speedway. After refueling, he starts from rest and leaves the pit area with an acceleration whose magnitude is $6.0 \mathrm{m} / \mathrm{s}^{2}$, after $4.0 \mathrm{s}$ he enters the.. A Race Car Driver Has Made A Pit Stop To Refuel.
From www.24h-lemans.com
2014 24 Hours of Le Mans Refueling A Race Car Driver Has Made A Pit Stop To Refuel After refueling, he starts from rest and leaves the pit area with an acceleration of 5m/s2, after 4s he enters the main speedway. A race driver has made a pit stop to refuel. And after refueling, he leaves the pit area with an acceleration of. A small rock with mass 0.12 kg is fastened to a massless string with length. A Race Car Driver Has Made A Pit Stop To Refuel.
From dreamstime.com
Indy Car Fuel Pit Stop Editorial Photography Image 69350337 A Race Car Driver Has Made A Pit Stop To Refuel After refueling, he starts from rest and leaves the pit area with an acceleration of 5m/s2, after 4s he enters the main speedway. And after refueling, he leaves the pit area with an acceleration of. A race driver has made a pit stop to refuel. After refueling, he starts from rest and leaves the pit area with an acceleration whose.. A Race Car Driver Has Made A Pit Stop To Refuel.
From www.numerade.com
SOLVED A race driver has made a pit stop to refuel. After refueling, he starts from rest and A Race Car Driver Has Made A Pit Stop To Refuel And after refueling, he leaves the pit area with an acceleration of. A race driver has made a pit stop to refuel. After refueling, he starts from rest and leaves the pit area with an acceleration of 5m/s2, after 4s he enters the main speedway. A small rock with mass 0.12 kg is fastened to a massless string with length. A Race Car Driver Has Made A Pit Stop To Refuel.
From racer.com
INSIGHT The art of the perfect IndyCar pit stop RACER A Race Car Driver Has Made A Pit Stop To Refuel After refueling, he starts from rest and leaves the pit area with an acceleration whose magnitude is $6.0 \mathrm{m} / \mathrm{s}^{2}$, after $4.0 \mathrm{s}$ he enters the. A race driver has made a pit stop to refuel. A race driver has made a pit stop to refuel. A race driver has made a pit stop to refuel. After refueling, he. A Race Car Driver Has Made A Pit Stop To Refuel.
From www.alamy.com
Eddie irvine monaco 2001 hires stock photography and images Alamy A Race Car Driver Has Made A Pit Stop To Refuel After refueling, he starts from rest and leaves the pit area with an acceleration whose magnitude is $6.0 \mathrm{m} / \mathrm{s}^{2}$, after $4.0 \mathrm{s}$ he enters the. And after refueling, he leaves the pit area with an acceleration of. A race driver has made a pit stop to refuel. After refueling, he starts from rest and leaves the pit area. A Race Car Driver Has Made A Pit Stop To Refuel.
From www.alamy.com
Pit crew ready for formula one race car in pit stop Stock Photo Alamy A Race Car Driver Has Made A Pit Stop To Refuel A raised car driver has made a pit stop to refuel. After refueling, he starts from rest and leaves the pit area with an acceleration whose. After refueling, he starts from rest and leaves the pit area with an acceleration whose. A race driver has made a pit stop to refuel. After refueling, he starts from rest and leaves the. A Race Car Driver Has Made A Pit Stop To Refuel.
From motorsporttickets.com
F1 pit crew what each member does during a Formula 1 pit stop A Race Car Driver Has Made A Pit Stop To Refuel After refueling, he starts from rest and leaves the pit area with an acceleration whose. A raised car driver has made a pit stop to refuel. A race driver has made a pit stop to refuel. A race driver has made a pit stop to refuel. A race driver has made a pit stop to refuel. A small rock with. A Race Car Driver Has Made A Pit Stop To Refuel.
From www.numerade.com
SOLVED A race driver has made a pit stop to refuel. After refueling, he starts from rest and A Race Car Driver Has Made A Pit Stop To Refuel After refueling, he starts from rest and leaves the pit area with an acceleration whose. A race driver has made a pit stop to refuel. A race driver has made a pit stop to refuel. After refueling, he starts from rest and leaves the pit area with an acceleration whose. After refueling, he starts from rest and leaves the pit. A Race Car Driver Has Made A Pit Stop To Refuel.
From theautojournal.com
Watch NASCAR Garage 56 Crew Win Le Mans Pit Stop Challenge With A Regular Floor Jack A Race Car Driver Has Made A Pit Stop To Refuel A race driver has made a pit stop to refuel. After refueling, he starts from rest and leaves the pit area with an acceleration of 5m/s2, after 4s he enters the main speedway. After refueling, he starts from rest and leaves the pit area with an acceleration whose. A raised car driver has made a pit stop to refuel. A. A Race Car Driver Has Made A Pit Stop To Refuel.
From axleaddict.com
Top 8 Fastest Formula 1 Pitstops AxleAddict A Race Car Driver Has Made A Pit Stop To Refuel A race driver has made a pit stop to refuel. After refueling, he starts from rest and leaves the pit area with an acceleration whose. After refueling, he starts from rest and leaves the pit area with an acceleration whose magnitude is $6.0 \mathrm{m} / \mathrm{s}^{2}$, after $4.0 \mathrm{s}$ he enters the. A race driver has made a pit stop. A Race Car Driver Has Made A Pit Stop To Refuel.
From www.istockphoto.com
Pit Crew Waiting To Refuel Race Car Stock Photo Download Image Now Bluecollar Worker A Race Car Driver Has Made A Pit Stop To Refuel After refueling, he starts from rest and leaves the pit area with an acceleration of 5m/s2, after 4s he enters the main speedway. A race driver has made a pit stop to refuel. A raised car driver has made a pit stop to refuel. After refueling, he starts from rest and leaves the pit area with an acceleration whose. After. A Race Car Driver Has Made A Pit Stop To Refuel.
From www.numerade.com
SOLVED A race driver has made a pit stop to refuel. After refueling, he starts from rest and A Race Car Driver Has Made A Pit Stop To Refuel And after refueling, he leaves the pit area with an acceleration of. After refueling, he starts from rest and leaves the pit area with an acceleration whose. After refueling, he starts from rest and leaves the pit area with an acceleration whose. A race driver has made a pit stop to refuel. A race driver has made a pit stop. A Race Car Driver Has Made A Pit Stop To Refuel.
From www.numerade.com
SOLVED A race driver has made pit stop to refuel. After refueling he starts from rest and A Race Car Driver Has Made A Pit Stop To Refuel A race driver has made a pit stop to refuel. After refueling, he starts from rest and leaves the pit area with an acceleration of 5m/s2, after 4s he enters the main speedway. After refueling, he starts from rest and leaves the pit area with an acceleration whose. After refueling, he starts from rest and leaves the pit area with. A Race Car Driver Has Made A Pit Stop To Refuel.
From www.autoevolution.com
How Pit Crews Work in Motorsport autoevolution A Race Car Driver Has Made A Pit Stop To Refuel A small rock with mass 0.12 kg is fastened to a massless string with length 0.80 m to form a pendulum. After refueling, he starts from rest and leaves the pit area with an acceleration whose. And after refueling, he leaves the pit area with an acceleration of. A raised car driver has made a pit stop to refuel. A. A Race Car Driver Has Made A Pit Stop To Refuel.
From www.autoevolution.com
How Pit Crews Work in Motorsport autoevolution A Race Car Driver Has Made A Pit Stop To Refuel After refueling, he starts from rest and leaves the pit area with an acceleration of 5m/s2, after 4s he enters the main speedway. A race driver has made a pit stop to refuel. A small rock with mass 0.12 kg is fastened to a massless string with length 0.80 m to form a pendulum. A raised car driver has made. A Race Car Driver Has Made A Pit Stop To Refuel.
From www.sportskeeda.com
Why did F1 stop refueling? Entire history behind fueling revealed A Race Car Driver Has Made A Pit Stop To Refuel A race driver has made a pit stop to refuel. A raised car driver has made a pit stop to refuel. After refueling, he starts from rest and leaves the pit area with an acceleration whose. After refueling, he starts from rest and leaves the pit area with an acceleration of 5m/s2, after 4s he enters the main speedway. A. A Race Car Driver Has Made A Pit Stop To Refuel.
From www.dreamstime.com
NASCAR Ryan Newman Pit Stop Editorial Photography Image of fans, dodge 21302737 A Race Car Driver Has Made A Pit Stop To Refuel A race driver has made a pit stop to refuel. After refueling, he starts from rest and leaves the pit area with an acceleration whose magnitude is $6.0 \mathrm{m} / \mathrm{s}^{2}$, after $4.0 \mathrm{s}$ he enters the. A race driver has made a pit stop to refuel. After refueling, he starts from rest and leaves the pit area with an. A Race Car Driver Has Made A Pit Stop To Refuel.
From www.wired.com
New Rules Could Make Formula One Exciting Again WIRED A Race Car Driver Has Made A Pit Stop To Refuel A race driver has made a pit stop to refuel. After refueling, he starts from rest and leaves the pit area with an acceleration whose. A small rock with mass 0.12 kg is fastened to a massless string with length 0.80 m to form a pendulum. A race driver has made a pit stop to refuel. After refueling, he starts. A Race Car Driver Has Made A Pit Stop To Refuel.
From loxist.blogspot.com
How Many Laps Can A Nascar Go Before Refueling Slang term for the tuning and adjustments made A Race Car Driver Has Made A Pit Stop To Refuel After refueling, he starts from rest and leaves the pit area with an acceleration whose. After refueling, he starts from rest and leaves the pit area with an acceleration whose magnitude is $6.0 \mathrm{m} / \mathrm{s}^{2}$, after $4.0 \mathrm{s}$ he enters the. A small rock with mass 0.12 kg is fastened to a massless string with length 0.80 m to. A Race Car Driver Has Made A Pit Stop To Refuel.
From www.slideserve.com
PPT 28 . A race driver has made a pit stop to refuel. After refueling, PowerPoint Presentation A Race Car Driver Has Made A Pit Stop To Refuel After refueling, he starts from rest and leaves the pit area with an acceleration whose magnitude is $6.0 \mathrm{m} / \mathrm{s}^{2}$, after $4.0 \mathrm{s}$ he enters the. A small rock with mass 0.12 kg is fastened to a massless string with length 0.80 m to form a pendulum. A raised car driver has made a pit stop to refuel. After. A Race Car Driver Has Made A Pit Stop To Refuel.
From www.alamy.com
Grand Prix in Zandvoort, Jim Clark, pit stop made to refuel cooling water, with cap Collin A Race Car Driver Has Made A Pit Stop To Refuel And after refueling, he leaves the pit area with an acceleration of. A race driver has made a pit stop to refuel. After refueling, he starts from rest and leaves the pit area with an acceleration whose. A raised car driver has made a pit stop to refuel. After refueling, he starts from rest and leaves the pit area with. A Race Car Driver Has Made A Pit Stop To Refuel.
From us.motorsport.com
Thirty years on The story behind F1's most iconic refuelling picture A Race Car Driver Has Made A Pit Stop To Refuel A race driver has made a pit stop to refuel. And after refueling, he leaves the pit area with an acceleration of. A raised car driver has made a pit stop to refuel. After refueling, he starts from rest and leaves the pit area with an acceleration whose. A race driver has made a pit stop to refuel. A small. A Race Car Driver Has Made A Pit Stop To Refuel.
From www.numerade.com
SOLVEDReview Interactive LearningWare 2.2 at in preparation for this problem. A race driver has A Race Car Driver Has Made A Pit Stop To Refuel After refueling, he starts from rest and leaves the pit area with an acceleration of 5m/s2, after 4s he enters the main speedway. A small rock with mass 0.12 kg is fastened to a massless string with length 0.80 m to form a pendulum. After refueling, he starts from rest and leaves the pit area with an acceleration whose. After. A Race Car Driver Has Made A Pit Stop To Refuel.
From altdriver.com
How a NASCAR Pit Stop Works + the Responsibilities of Each Crew Member Engaging Car News A Race Car Driver Has Made A Pit Stop To Refuel After refueling, he starts from rest and leaves the pit area with an acceleration whose. After refueling, he starts from rest and leaves the pit area with an acceleration of 5m/s2, after 4s he enters the main speedway. And after refueling, he leaves the pit area with an acceleration of. A race driver has made a pit stop to refuel.. A Race Car Driver Has Made A Pit Stop To Refuel.
From www.numerade.com
SOLVEDA race driver has made a pit stop to refuel. After refueling, he starts from rest and A Race Car Driver Has Made A Pit Stop To Refuel After refueling, he starts from rest and leaves the pit area with an acceleration whose magnitude is $6.0 \mathrm{m} / \mathrm{s}^{2}$, after $4.0 \mathrm{s}$ he enters the. And after refueling, he leaves the pit area with an acceleration of. After refueling, he starts from rest and leaves the pit area with an acceleration whose. A raised car driver has made. A Race Car Driver Has Made A Pit Stop To Refuel.