Bulk Modulus For Hydraulic Oil . Bulk modulus is a property that indicates the compressibility of a fluid. Effective fluid bulk modulus has significant influence on the stiffness and dynamic performance of hydraulic systems. In order to calculate the reduction in volume in advance, i.e. Air entrainment, bubble, bubble eliminator, effective bulk modulus, tangent bulk modulus. Precise values of effective bulk. Oil properties are very important input parameters for the simulation of hydraulic components. With many of today's hydraulic systems operating at pressures 5000 psi and higher, ignoring. Designers should consider the bulk modulus of a hydraulic fluid if position, response time, and stability are critical in the system. This genuine bulk modulus determines the stiffness of an oil column.
from www.researchgate.net
Precise values of effective bulk. This genuine bulk modulus determines the stiffness of an oil column. Designers should consider the bulk modulus of a hydraulic fluid if position, response time, and stability are critical in the system. Air entrainment, bubble, bubble eliminator, effective bulk modulus, tangent bulk modulus. In order to calculate the reduction in volume in advance, i.e. With many of today's hydraulic systems operating at pressures 5000 psi and higher, ignoring. Oil properties are very important input parameters for the simulation of hydraulic components. Bulk modulus is a property that indicates the compressibility of a fluid. Effective fluid bulk modulus has significant influence on the stiffness and dynamic performance of hydraulic systems.
Effect of the hydraulic oil bulk modulus on the pump performance. Spool
Bulk Modulus For Hydraulic Oil Bulk modulus is a property that indicates the compressibility of a fluid. Effective fluid bulk modulus has significant influence on the stiffness and dynamic performance of hydraulic systems. In order to calculate the reduction in volume in advance, i.e. Designers should consider the bulk modulus of a hydraulic fluid if position, response time, and stability are critical in the system. This genuine bulk modulus determines the stiffness of an oil column. Air entrainment, bubble, bubble eliminator, effective bulk modulus, tangent bulk modulus. Precise values of effective bulk. Oil properties are very important input parameters for the simulation of hydraulic components. Bulk modulus is a property that indicates the compressibility of a fluid. With many of today's hydraulic systems operating at pressures 5000 psi and higher, ignoring.
From dokumen.tips
(PDF) D3 Experimental measurements of bulk modulus of two · PDF Bulk Modulus For Hydraulic Oil Effective fluid bulk modulus has significant influence on the stiffness and dynamic performance of hydraulic systems. Designers should consider the bulk modulus of a hydraulic fluid if position, response time, and stability are critical in the system. Precise values of effective bulk. Bulk modulus is a property that indicates the compressibility of a fluid. This genuine bulk modulus determines the. Bulk Modulus For Hydraulic Oil.
From www.researchgate.net
(PDF) Mathematical model for bulk modulus of hydraulic oil containing Bulk Modulus For Hydraulic Oil Precise values of effective bulk. This genuine bulk modulus determines the stiffness of an oil column. Designers should consider the bulk modulus of a hydraulic fluid if position, response time, and stability are critical in the system. Oil properties are very important input parameters for the simulation of hydraulic components. With many of today's hydraulic systems operating at pressures 5000. Bulk Modulus For Hydraulic Oil.
From www.researchgate.net
Effect of the hydraulic oil bulk modulus on the pump performance. Spool Bulk Modulus For Hydraulic Oil With many of today's hydraulic systems operating at pressures 5000 psi and higher, ignoring. Precise values of effective bulk. Air entrainment, bubble, bubble eliminator, effective bulk modulus, tangent bulk modulus. Oil properties are very important input parameters for the simulation of hydraulic components. Bulk modulus is a property that indicates the compressibility of a fluid. This genuine bulk modulus determines. Bulk Modulus For Hydraulic Oil.
From www.theleeco.com
Bulk Modulus The Lee Company Bulk Modulus For Hydraulic Oil Oil properties are very important input parameters for the simulation of hydraulic components. This genuine bulk modulus determines the stiffness of an oil column. Air entrainment, bubble, bubble eliminator, effective bulk modulus, tangent bulk modulus. With many of today's hydraulic systems operating at pressures 5000 psi and higher, ignoring. In order to calculate the reduction in volume in advance, i.e.. Bulk Modulus For Hydraulic Oil.
From dokumen.tips
(PDF) Control of Bulk Modulus of Oil in Hydraulic Systems DOKUMEN.TIPS Bulk Modulus For Hydraulic Oil This genuine bulk modulus determines the stiffness of an oil column. Oil properties are very important input parameters for the simulation of hydraulic components. In order to calculate the reduction in volume in advance, i.e. With many of today's hydraulic systems operating at pressures 5000 psi and higher, ignoring. Precise values of effective bulk. Effective fluid bulk modulus has significant. Bulk Modulus For Hydraulic Oil.
From www.researchgate.net
Lists the calculated bulk modulus, B.; the shear modulus, G.; Young's Bulk Modulus For Hydraulic Oil Oil properties are very important input parameters for the simulation of hydraulic components. Bulk modulus is a property that indicates the compressibility of a fluid. Effective fluid bulk modulus has significant influence on the stiffness and dynamic performance of hydraulic systems. Precise values of effective bulk. This genuine bulk modulus determines the stiffness of an oil column. With many of. Bulk Modulus For Hydraulic Oil.
From www.youtube.com
bulk modulus & Compressibility of elasticity Fluid mechanics Hindi Bulk Modulus For Hydraulic Oil Designers should consider the bulk modulus of a hydraulic fluid if position, response time, and stability are critical in the system. Effective fluid bulk modulus has significant influence on the stiffness and dynamic performance of hydraulic systems. Bulk modulus is a property that indicates the compressibility of a fluid. This genuine bulk modulus determines the stiffness of an oil column.. Bulk Modulus For Hydraulic Oil.
From www.theleeco.com
Bulk Modulus The Lee Company Bulk Modulus For Hydraulic Oil Precise values of effective bulk. In order to calculate the reduction in volume in advance, i.e. With many of today's hydraulic systems operating at pressures 5000 psi and higher, ignoring. Designers should consider the bulk modulus of a hydraulic fluid if position, response time, and stability are critical in the system. Bulk modulus is a property that indicates the compressibility. Bulk Modulus For Hydraulic Oil.
From www.numerade.com
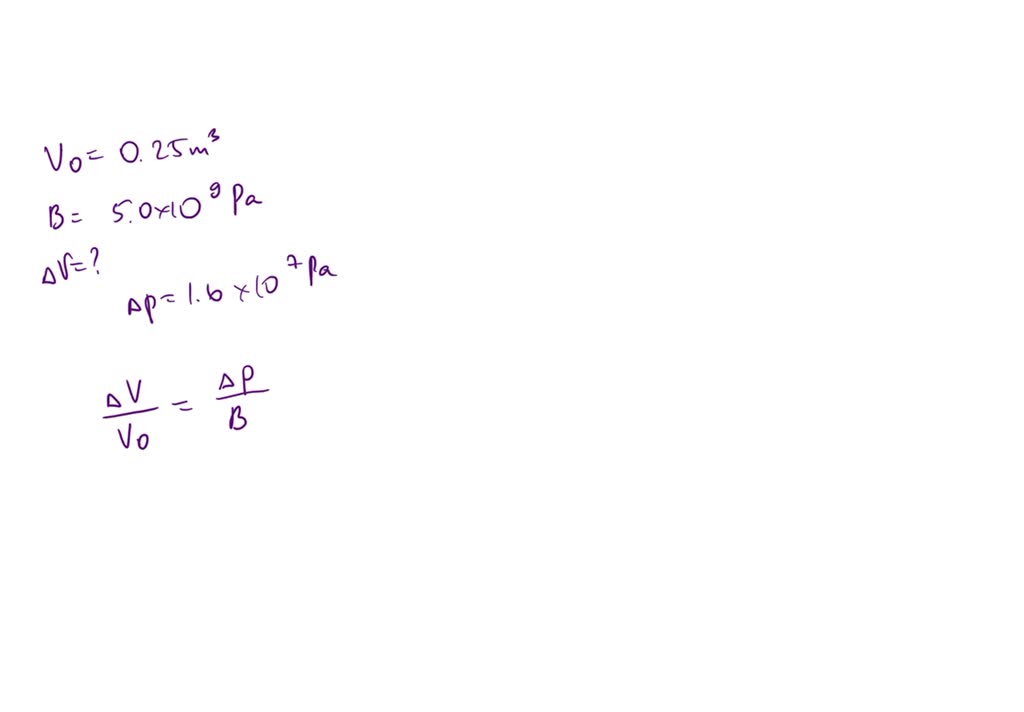
SOLVED A hydraulic press contains 0.25 m3 of oil. The bulk modulus of Bulk Modulus For Hydraulic Oil This genuine bulk modulus determines the stiffness of an oil column. Bulk modulus is a property that indicates the compressibility of a fluid. Air entrainment, bubble, bubble eliminator, effective bulk modulus, tangent bulk modulus. Effective fluid bulk modulus has significant influence on the stiffness and dynamic performance of hydraulic systems. In order to calculate the reduction in volume in advance,. Bulk Modulus For Hydraulic Oil.
From www.semanticscholar.org
Figure 1 from Experimental measurements of bulk modulus for two types Bulk Modulus For Hydraulic Oil In order to calculate the reduction in volume in advance, i.e. This genuine bulk modulus determines the stiffness of an oil column. Air entrainment, bubble, bubble eliminator, effective bulk modulus, tangent bulk modulus. Bulk modulus is a property that indicates the compressibility of a fluid. Precise values of effective bulk. Effective fluid bulk modulus has significant influence on the stiffness. Bulk Modulus For Hydraulic Oil.
From www.theleeco.com
Bulk Modulus The Lee Company Bulk Modulus For Hydraulic Oil Bulk modulus is a property that indicates the compressibility of a fluid. In order to calculate the reduction in volume in advance, i.e. Air entrainment, bubble, bubble eliminator, effective bulk modulus, tangent bulk modulus. With many of today's hydraulic systems operating at pressures 5000 psi and higher, ignoring. This genuine bulk modulus determines the stiffness of an oil column. Effective. Bulk Modulus For Hydraulic Oil.
From www.researchgate.net
(PDF) Mathematical model for bulk modulus of hydraulic oil containing Bulk Modulus For Hydraulic Oil Effective fluid bulk modulus has significant influence on the stiffness and dynamic performance of hydraulic systems. This genuine bulk modulus determines the stiffness of an oil column. In order to calculate the reduction in volume in advance, i.e. Bulk modulus is a property that indicates the compressibility of a fluid. With many of today's hydraulic systems operating at pressures 5000. Bulk Modulus For Hydraulic Oil.
From www.theleeco.com
Bulk Modulus The Lee Company Bulk Modulus For Hydraulic Oil Precise values of effective bulk. Designers should consider the bulk modulus of a hydraulic fluid if position, response time, and stability are critical in the system. In order to calculate the reduction in volume in advance, i.e. This genuine bulk modulus determines the stiffness of an oil column. Oil properties are very important input parameters for the simulation of hydraulic. Bulk Modulus For Hydraulic Oil.
From www.semanticscholar.org
[PDF] Research on Theoretical Model of Dynamic Bulk Modulus of Gas Bulk Modulus For Hydraulic Oil Air entrainment, bubble, bubble eliminator, effective bulk modulus, tangent bulk modulus. Bulk modulus is a property that indicates the compressibility of a fluid. Oil properties are very important input parameters for the simulation of hydraulic components. Precise values of effective bulk. With many of today's hydraulic systems operating at pressures 5000 psi and higher, ignoring. This genuine bulk modulus determines. Bulk Modulus For Hydraulic Oil.
From www.semanticscholar.org
Figure 1 from Mathematical model for bulk modulus of hydraulic oil Bulk Modulus For Hydraulic Oil Bulk modulus is a property that indicates the compressibility of a fluid. Designers should consider the bulk modulus of a hydraulic fluid if position, response time, and stability are critical in the system. Precise values of effective bulk. Oil properties are very important input parameters for the simulation of hydraulic components. Effective fluid bulk modulus has significant influence on the. Bulk Modulus For Hydraulic Oil.
From www.semanticscholar.org
Figure 1 from Control of bulk modulus of oil in hydraulic systems Bulk Modulus For Hydraulic Oil Bulk modulus is a property that indicates the compressibility of a fluid. This genuine bulk modulus determines the stiffness of an oil column. In order to calculate the reduction in volume in advance, i.e. Designers should consider the bulk modulus of a hydraulic fluid if position, response time, and stability are critical in the system. With many of today's hydraulic. Bulk Modulus For Hydraulic Oil.
From www.researchgate.net
Fluid bulk modulus, thermal expansion and pressureviscosity properties Bulk Modulus For Hydraulic Oil Oil properties are very important input parameters for the simulation of hydraulic components. In order to calculate the reduction in volume in advance, i.e. Effective fluid bulk modulus has significant influence on the stiffness and dynamic performance of hydraulic systems. Precise values of effective bulk. With many of today's hydraulic systems operating at pressures 5000 psi and higher, ignoring. Designers. Bulk Modulus For Hydraulic Oil.
From www.semanticscholar.org
Figure 4 from Mathematical model for bulk modulus of hydraulic oil Bulk Modulus For Hydraulic Oil With many of today's hydraulic systems operating at pressures 5000 psi and higher, ignoring. Bulk modulus is a property that indicates the compressibility of a fluid. Precise values of effective bulk. Effective fluid bulk modulus has significant influence on the stiffness and dynamic performance of hydraulic systems. This genuine bulk modulus determines the stiffness of an oil column. In order. Bulk Modulus For Hydraulic Oil.
From www.youtube.com
Bulk Modulus And Compressibility Of Fluids Basic Concepts Fluid Bulk Modulus For Hydraulic Oil Effective fluid bulk modulus has significant influence on the stiffness and dynamic performance of hydraulic systems. Oil properties are very important input parameters for the simulation of hydraulic components. Designers should consider the bulk modulus of a hydraulic fluid if position, response time, and stability are critical in the system. Bulk modulus is a property that indicates the compressibility of. Bulk Modulus For Hydraulic Oil.
From www.researchgate.net
The measured bulk modulus of hydraulic oil in steel pipe and Bulk Modulus For Hydraulic Oil Air entrainment, bubble, bubble eliminator, effective bulk modulus, tangent bulk modulus. Oil properties are very important input parameters for the simulation of hydraulic components. Effective fluid bulk modulus has significant influence on the stiffness and dynamic performance of hydraulic systems. Designers should consider the bulk modulus of a hydraulic fluid if position, response time, and stability are critical in the. Bulk Modulus For Hydraulic Oil.
From www.researchgate.net
Bulk modulus and hydrostatic stress relationships for oil sands at 20 o Bulk Modulus For Hydraulic Oil Bulk modulus is a property that indicates the compressibility of a fluid. Air entrainment, bubble, bubble eliminator, effective bulk modulus, tangent bulk modulus. This genuine bulk modulus determines the stiffness of an oil column. Oil properties are very important input parameters for the simulation of hydraulic components. Effective fluid bulk modulus has significant influence on the stiffness and dynamic performance. Bulk Modulus For Hydraulic Oil.
From www.chegg.com
Solved In a system using hydraulic oil with bulk modulus Bulk Modulus For Hydraulic Oil Air entrainment, bubble, bubble eliminator, effective bulk modulus, tangent bulk modulus. With many of today's hydraulic systems operating at pressures 5000 psi and higher, ignoring. Bulk modulus is a property that indicates the compressibility of a fluid. Oil properties are very important input parameters for the simulation of hydraulic components. In order to calculate the reduction in volume in advance,. Bulk Modulus For Hydraulic Oil.
From www.researchgate.net
The bulk modulus of HLP46 mineral oil. Download Scientific Diagram Bulk Modulus For Hydraulic Oil This genuine bulk modulus determines the stiffness of an oil column. Designers should consider the bulk modulus of a hydraulic fluid if position, response time, and stability are critical in the system. Air entrainment, bubble, bubble eliminator, effective bulk modulus, tangent bulk modulus. Bulk modulus is a property that indicates the compressibility of a fluid. Precise values of effective bulk.. Bulk Modulus For Hydraulic Oil.
From www.semanticscholar.org
Figure 2 from Control of bulk modulus of oil in hydraulic systems Bulk Modulus For Hydraulic Oil Bulk modulus is a property that indicates the compressibility of a fluid. With many of today's hydraulic systems operating at pressures 5000 psi and higher, ignoring. Designers should consider the bulk modulus of a hydraulic fluid if position, response time, and stability are critical in the system. This genuine bulk modulus determines the stiffness of an oil column. Air entrainment,. Bulk Modulus For Hydraulic Oil.
From www.youtube.com
Bulk Modulus of Elasticity and Compressibility Fluid Mechanics YouTube Bulk Modulus For Hydraulic Oil Bulk modulus is a property that indicates the compressibility of a fluid. In order to calculate the reduction in volume in advance, i.e. Effective fluid bulk modulus has significant influence on the stiffness and dynamic performance of hydraulic systems. Designers should consider the bulk modulus of a hydraulic fluid if position, response time, and stability are critical in the system.. Bulk Modulus For Hydraulic Oil.
From www.semanticscholar.org
Figure 1 from Mathematical model for bulk modulus of hydraulic oil Bulk Modulus For Hydraulic Oil This genuine bulk modulus determines the stiffness of an oil column. Oil properties are very important input parameters for the simulation of hydraulic components. Precise values of effective bulk. Bulk modulus is a property that indicates the compressibility of a fluid. In order to calculate the reduction in volume in advance, i.e. With many of today's hydraulic systems operating at. Bulk Modulus For Hydraulic Oil.
From docslib.org
Evaluation of Bulk Modulus of Oil System with Hydraulic Line DocsLib Bulk Modulus For Hydraulic Oil Oil properties are very important input parameters for the simulation of hydraulic components. Air entrainment, bubble, bubble eliminator, effective bulk modulus, tangent bulk modulus. In order to calculate the reduction in volume in advance, i.e. This genuine bulk modulus determines the stiffness of an oil column. Precise values of effective bulk. Effective fluid bulk modulus has significant influence on the. Bulk Modulus For Hydraulic Oil.
From www.researchgate.net
(PDF) Mathematical model for bulk modulus of hydraulic oil containing Bulk Modulus For Hydraulic Oil This genuine bulk modulus determines the stiffness of an oil column. In order to calculate the reduction in volume in advance, i.e. Oil properties are very important input parameters for the simulation of hydraulic components. Air entrainment, bubble, bubble eliminator, effective bulk modulus, tangent bulk modulus. Bulk modulus is a property that indicates the compressibility of a fluid. Designers should. Bulk Modulus For Hydraulic Oil.
From ecurrencythailand.com
Which Of The Following Has Highest Modulus Of Elasticity? The 20 Top Bulk Modulus For Hydraulic Oil Bulk modulus is a property that indicates the compressibility of a fluid. Precise values of effective bulk. Designers should consider the bulk modulus of a hydraulic fluid if position, response time, and stability are critical in the system. Effective fluid bulk modulus has significant influence on the stiffness and dynamic performance of hydraulic systems. In order to calculate the reduction. Bulk Modulus For Hydraulic Oil.
From www.semanticscholar.org
[PDF] Research on Theoretical Model of Dynamic Bulk Modulus of Gas Bulk Modulus For Hydraulic Oil Air entrainment, bubble, bubble eliminator, effective bulk modulus, tangent bulk modulus. This genuine bulk modulus determines the stiffness of an oil column. Effective fluid bulk modulus has significant influence on the stiffness and dynamic performance of hydraulic systems. Designers should consider the bulk modulus of a hydraulic fluid if position, response time, and stability are critical in the system. Precise. Bulk Modulus For Hydraulic Oil.
From www.researchgate.net
(PDF) Research on Theoretical Model of Dynamic Bulk Modulus of Gas Bulk Modulus For Hydraulic Oil With many of today's hydraulic systems operating at pressures 5000 psi and higher, ignoring. In order to calculate the reduction in volume in advance, i.e. Precise values of effective bulk. Air entrainment, bubble, bubble eliminator, effective bulk modulus, tangent bulk modulus. Oil properties are very important input parameters for the simulation of hydraulic components. This genuine bulk modulus determines the. Bulk Modulus For Hydraulic Oil.
From www.researchgate.net
Dynamic bulk modulus of gascontaining hydraulic oil with different Bulk Modulus For Hydraulic Oil Effective fluid bulk modulus has significant influence on the stiffness and dynamic performance of hydraulic systems. Oil properties are very important input parameters for the simulation of hydraulic components. In order to calculate the reduction in volume in advance, i.e. Precise values of effective bulk. Designers should consider the bulk modulus of a hydraulic fluid if position, response time, and. Bulk Modulus For Hydraulic Oil.
From www.researchgate.net
(PDF) ANALYSIS OF CHANGES OF BULK MODULUS OF MINERAL OIL EFFECTS ON Bulk Modulus For Hydraulic Oil Precise values of effective bulk. With many of today's hydraulic systems operating at pressures 5000 psi and higher, ignoring. This genuine bulk modulus determines the stiffness of an oil column. Bulk modulus is a property that indicates the compressibility of a fluid. Oil properties are very important input parameters for the simulation of hydraulic components. Designers should consider the bulk. Bulk Modulus For Hydraulic Oil.
From www.numerade.com
SOLVED A hydraulic press contains 0.25 m3 of oil. The bulk modulus of Bulk Modulus For Hydraulic Oil This genuine bulk modulus determines the stiffness of an oil column. Air entrainment, bubble, bubble eliminator, effective bulk modulus, tangent bulk modulus. With many of today's hydraulic systems operating at pressures 5000 psi and higher, ignoring. Oil properties are very important input parameters for the simulation of hydraulic components. Precise values of effective bulk. In order to calculate the reduction. Bulk Modulus For Hydraulic Oil.
From www.scribd.com
Bulk Modulus of Oil Bulk Modulus For Hydraulic Oil Oil properties are very important input parameters for the simulation of hydraulic components. Bulk modulus is a property that indicates the compressibility of a fluid. This genuine bulk modulus determines the stiffness of an oil column. In order to calculate the reduction in volume in advance, i.e. Effective fluid bulk modulus has significant influence on the stiffness and dynamic performance. Bulk Modulus For Hydraulic Oil.