What Do You Get When You Mix Chlorine And Ammonia . Mixing chlorine bleach with ammonia creates a chemical reaction that can be deadly. Here is your mini chemistry lesson. Sodium hypochlorite is the active ingredient in chlorine bleach. Mixing chlorine bleach with ammonia creates a chemical reaction that can be deadly. Mixing ammonia and bleach produces toxic gases that can cause respiratory damage, chemical burns, and even death. Mixing bleach and ammonia causes the release of toxic vapors called chloramines (these are a group of related compounds that are known to irritate the respiratory system). What happens when you mix bleach & ammonia? Learn how bleach and ammonia react to form chloramine, chlorine, and hydrazine, which are all toxic and can cause respiratory irritation, nausea, and death. Mixing bleach and ammonia produces chloramine gas, which can cause severe respiratory problems and even death. Learn why you should never mix ammonia and bleach, how to recognize the symptoms of chloramine gas exposure and what to do if you are exposed.
from www.numerade.com
Sodium hypochlorite is the active ingredient in chlorine bleach. Here is your mini chemistry lesson. What happens when you mix bleach & ammonia? Mixing bleach and ammonia produces chloramine gas, which can cause severe respiratory problems and even death. Mixing chlorine bleach with ammonia creates a chemical reaction that can be deadly. Learn how bleach and ammonia react to form chloramine, chlorine, and hydrazine, which are all toxic and can cause respiratory irritation, nausea, and death. Mixing chlorine bleach with ammonia creates a chemical reaction that can be deadly. Mixing ammonia and bleach produces toxic gases that can cause respiratory damage, chemical burns, and even death. Mixing bleach and ammonia causes the release of toxic vapors called chloramines (these are a group of related compounds that are known to irritate the respiratory system). Learn why you should never mix ammonia and bleach, how to recognize the symptoms of chloramine gas exposure and what to do if you are exposed.
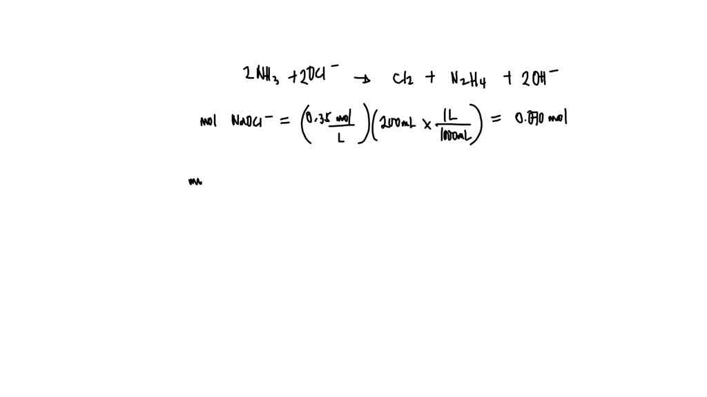
SOLVED When household ammonia is mixed with bleach, NaOCl, toxic
What Do You Get When You Mix Chlorine And Ammonia Here is your mini chemistry lesson. Mixing bleach and ammonia produces chloramine gas, which can cause severe respiratory problems and even death. Mixing chlorine bleach with ammonia creates a chemical reaction that can be deadly. Mixing ammonia and bleach produces toxic gases that can cause respiratory damage, chemical burns, and even death. Learn why you should never mix ammonia and bleach, how to recognize the symptoms of chloramine gas exposure and what to do if you are exposed. Learn how bleach and ammonia react to form chloramine, chlorine, and hydrazine, which are all toxic and can cause respiratory irritation, nausea, and death. What happens when you mix bleach & ammonia? Mixing chlorine bleach with ammonia creates a chemical reaction that can be deadly. Here is your mini chemistry lesson. Mixing bleach and ammonia causes the release of toxic vapors called chloramines (these are a group of related compounds that are known to irritate the respiratory system). Sodium hypochlorite is the active ingredient in chlorine bleach.
From www.youtube.com
The reaction of liquid Ammonia and liquid Chlorine YouTube What Do You Get When You Mix Chlorine And Ammonia Mixing chlorine bleach with ammonia creates a chemical reaction that can be deadly. Sodium hypochlorite is the active ingredient in chlorine bleach. Learn how bleach and ammonia react to form chloramine, chlorine, and hydrazine, which are all toxic and can cause respiratory irritation, nausea, and death. Learn why you should never mix ammonia and bleach, how to recognize the symptoms. What Do You Get When You Mix Chlorine And Ammonia.
From www.pc-mobile.net
The Dangers of Mixing Bleach and Ammonia Understanding the Chemical What Do You Get When You Mix Chlorine And Ammonia Mixing chlorine bleach with ammonia creates a chemical reaction that can be deadly. Mixing chlorine bleach with ammonia creates a chemical reaction that can be deadly. Learn why you should never mix ammonia and bleach, how to recognize the symptoms of chloramine gas exposure and what to do if you are exposed. Sodium hypochlorite is the active ingredient in chlorine. What Do You Get When You Mix Chlorine And Ammonia.
From www.meritnation.com
Ammonia gas reacts with chlorine gas to form ammonium chloride solid What Do You Get When You Mix Chlorine And Ammonia Mixing bleach and ammonia produces chloramine gas, which can cause severe respiratory problems and even death. What happens when you mix bleach & ammonia? Mixing bleach and ammonia causes the release of toxic vapors called chloramines (these are a group of related compounds that are known to irritate the respiratory system). Learn why you should never mix ammonia and bleach,. What Do You Get When You Mix Chlorine And Ammonia.
From wowsoclean.com
Can You Mix Fabuloso With Ammonia? What Do You Get When You Mix Chlorine And Ammonia Sodium hypochlorite is the active ingredient in chlorine bleach. Mixing bleach and ammonia causes the release of toxic vapors called chloramines (these are a group of related compounds that are known to irritate the respiratory system). Mixing ammonia and bleach produces toxic gases that can cause respiratory damage, chemical burns, and even death. Mixing chlorine bleach with ammonia creates a. What Do You Get When You Mix Chlorine And Ammonia.
From www.hzvigia.com
betway客服电话Cleaning Products When to Avoid Mixing Univar Solutions What Do You Get When You Mix Chlorine And Ammonia Learn why you should never mix ammonia and bleach, how to recognize the symptoms of chloramine gas exposure and what to do if you are exposed. Mixing bleach and ammonia produces chloramine gas, which can cause severe respiratory problems and even death. Mixing ammonia and bleach produces toxic gases that can cause respiratory damage, chemical burns, and even death. Mixing. What Do You Get When You Mix Chlorine And Ammonia.
From cleanersadvisor.com
Can You Mix Borax And Ammonia [Or Is It Dangerous?] Cleaners Advisor What Do You Get When You Mix Chlorine And Ammonia Mixing bleach and ammonia causes the release of toxic vapors called chloramines (these are a group of related compounds that are known to irritate the respiratory system). Here is your mini chemistry lesson. Mixing chlorine bleach with ammonia creates a chemical reaction that can be deadly. Sodium hypochlorite is the active ingredient in chlorine bleach. Learn how bleach and ammonia. What Do You Get When You Mix Chlorine And Ammonia.
From brainly.com
19. I accidentally mixed bleach and ammonia when cleaning one day. It What Do You Get When You Mix Chlorine And Ammonia What happens when you mix bleach & ammonia? Mixing chlorine bleach with ammonia creates a chemical reaction that can be deadly. Here is your mini chemistry lesson. Mixing ammonia and bleach produces toxic gases that can cause respiratory damage, chemical burns, and even death. Mixing bleach and ammonia produces chloramine gas, which can cause severe respiratory problems and even death.. What Do You Get When You Mix Chlorine And Ammonia.
From www.stain-removal-101.com
Bleach And Ammonia Don't Mix These Items Together {Safety Warning} What Do You Get When You Mix Chlorine And Ammonia Mixing bleach and ammonia causes the release of toxic vapors called chloramines (these are a group of related compounds that are known to irritate the respiratory system). Mixing bleach and ammonia produces chloramine gas, which can cause severe respiratory problems and even death. Mixing ammonia and bleach produces toxic gases that can cause respiratory damage, chemical burns, and even death.. What Do You Get When You Mix Chlorine And Ammonia.
From www.youtube.com
What Will Happen If You Mix Coke and Pool Chlorine? YouTube What Do You Get When You Mix Chlorine And Ammonia Mixing ammonia and bleach produces toxic gases that can cause respiratory damage, chemical burns, and even death. Learn how bleach and ammonia react to form chloramine, chlorine, and hydrazine, which are all toxic and can cause respiratory irritation, nausea, and death. Learn why you should never mix ammonia and bleach, how to recognize the symptoms of chloramine gas exposure and. What Do You Get When You Mix Chlorine And Ammonia.
From www.dreamstime.com
Ammonium Chloride Chemical Formula on Waterdrop Background Stock What Do You Get When You Mix Chlorine And Ammonia Learn how bleach and ammonia react to form chloramine, chlorine, and hydrazine, which are all toxic and can cause respiratory irritation, nausea, and death. Here is your mini chemistry lesson. Mixing bleach and ammonia produces chloramine gas, which can cause severe respiratory problems and even death. What happens when you mix bleach & ammonia? Mixing bleach and ammonia causes the. What Do You Get When You Mix Chlorine And Ammonia.
From www.hazmatnation.com
Mixing cleaning products not a good idea! HazmatNation What Do You Get When You Mix Chlorine And Ammonia Learn how bleach and ammonia react to form chloramine, chlorine, and hydrazine, which are all toxic and can cause respiratory irritation, nausea, and death. Mixing bleach and ammonia produces chloramine gas, which can cause severe respiratory problems and even death. Mixing chlorine bleach with ammonia creates a chemical reaction that can be deadly. Sodium hypochlorite is the active ingredient in. What Do You Get When You Mix Chlorine And Ammonia.
From ifunny.co
DO NOT Mix * Ammonia = Bleach * Vinegar = Chlorine Gas Bleach Rubbing What Do You Get When You Mix Chlorine And Ammonia Mixing ammonia and bleach produces toxic gases that can cause respiratory damage, chemical burns, and even death. Sodium hypochlorite is the active ingredient in chlorine bleach. Here is your mini chemistry lesson. Mixing bleach and ammonia causes the release of toxic vapors called chloramines (these are a group of related compounds that are known to irritate the respiratory system). Mixing. What Do You Get When You Mix Chlorine And Ammonia.
From cookinglove.com
Chlorine and ammonia What Do You Get When You Mix Chlorine And Ammonia Mixing bleach and ammonia produces chloramine gas, which can cause severe respiratory problems and even death. Mixing ammonia and bleach produces toxic gases that can cause respiratory damage, chemical burns, and even death. What happens when you mix bleach & ammonia? Learn why you should never mix ammonia and bleach, how to recognize the symptoms of chloramine gas exposure and. What Do You Get When You Mix Chlorine And Ammonia.
From cleanzen.com
Why You Should Never Mix Bleach and Ammonia Cleanzen What Do You Get When You Mix Chlorine And Ammonia Mixing bleach and ammonia causes the release of toxic vapors called chloramines (these are a group of related compounds that are known to irritate the respiratory system). Mixing chlorine bleach with ammonia creates a chemical reaction that can be deadly. Here is your mini chemistry lesson. Mixing bleach and ammonia produces chloramine gas, which can cause severe respiratory problems and. What Do You Get When You Mix Chlorine And Ammonia.
From slideplayer.com
Don’t mix bleach and ammonia ppt download What Do You Get When You Mix Chlorine And Ammonia Learn why you should never mix ammonia and bleach, how to recognize the symptoms of chloramine gas exposure and what to do if you are exposed. Mixing chlorine bleach with ammonia creates a chemical reaction that can be deadly. Mixing bleach and ammonia causes the release of toxic vapors called chloramines (these are a group of related compounds that are. What Do You Get When You Mix Chlorine And Ammonia.
From www.homeyou.com
Why You Shouldn't Mix these Cleaning Products homeyou What Do You Get When You Mix Chlorine And Ammonia Learn how bleach and ammonia react to form chloramine, chlorine, and hydrazine, which are all toxic and can cause respiratory irritation, nausea, and death. What happens when you mix bleach & ammonia? Mixing ammonia and bleach produces toxic gases that can cause respiratory damage, chemical burns, and even death. Mixing bleach and ammonia causes the release of toxic vapors called. What Do You Get When You Mix Chlorine And Ammonia.
From catsupandmustard.com
DIY Cleaning Mixing Bleach & Baking Soda Catsup and Mustard What Do You Get When You Mix Chlorine And Ammonia What happens when you mix bleach & ammonia? Mixing bleach and ammonia causes the release of toxic vapors called chloramines (these are a group of related compounds that are known to irritate the respiratory system). Mixing bleach and ammonia produces chloramine gas, which can cause severe respiratory problems and even death. Mixing chlorine bleach with ammonia creates a chemical reaction. What Do You Get When You Mix Chlorine And Ammonia.
From www.coreproductsco.com
5 Toxic Chemical Combinations You Should Never Mix Core Products What Do You Get When You Mix Chlorine And Ammonia What happens when you mix bleach & ammonia? Mixing bleach and ammonia produces chloramine gas, which can cause severe respiratory problems and even death. Sodium hypochlorite is the active ingredient in chlorine bleach. Learn how bleach and ammonia react to form chloramine, chlorine, and hydrazine, which are all toxic and can cause respiratory irritation, nausea, and death. Mixing chlorine bleach. What Do You Get When You Mix Chlorine And Ammonia.
From cookinglove.com
Chlorine and ammonia What Do You Get When You Mix Chlorine And Ammonia Learn how bleach and ammonia react to form chloramine, chlorine, and hydrazine, which are all toxic and can cause respiratory irritation, nausea, and death. Mixing bleach and ammonia causes the release of toxic vapors called chloramines (these are a group of related compounds that are known to irritate the respiratory system). Mixing chlorine bleach with ammonia creates a chemical reaction. What Do You Get When You Mix Chlorine And Ammonia.
From exyszioze.blob.core.windows.net
Can You Mix Chlorine And Ammonia at Kurt Wright blog What Do You Get When You Mix Chlorine And Ammonia Here is your mini chemistry lesson. Learn how bleach and ammonia react to form chloramine, chlorine, and hydrazine, which are all toxic and can cause respiratory irritation, nausea, and death. Mixing ammonia and bleach produces toxic gases that can cause respiratory damage, chemical burns, and even death. Mixing chlorine bleach with ammonia creates a chemical reaction that can be deadly.. What Do You Get When You Mix Chlorine And Ammonia.
From peacecommission.kdsg.gov.ng
Bleach And Ammonia Death What Do You Get When You Mix Chlorine And Ammonia Learn how bleach and ammonia react to form chloramine, chlorine, and hydrazine, which are all toxic and can cause respiratory irritation, nausea, and death. Sodium hypochlorite is the active ingredient in chlorine bleach. Mixing ammonia and bleach produces toxic gases that can cause respiratory damage, chemical burns, and even death. Mixing bleach and ammonia causes the release of toxic vapors. What Do You Get When You Mix Chlorine And Ammonia.
From sciencenotes.org
Mixing Bleach and Vinegar Here's What Happens What Do You Get When You Mix Chlorine And Ammonia What happens when you mix bleach & ammonia? Mixing bleach and ammonia produces chloramine gas, which can cause severe respiratory problems and even death. Here is your mini chemistry lesson. Mixing ammonia and bleach produces toxic gases that can cause respiratory damage, chemical burns, and even death. Sodium hypochlorite is the active ingredient in chlorine bleach. Learn why you should. What Do You Get When You Mix Chlorine And Ammonia.
From www.goodhousekeeping.com
Cleaning Products You Should Never Mix Cleaning Tips What Do You Get When You Mix Chlorine And Ammonia Mixing bleach and ammonia produces chloramine gas, which can cause severe respiratory problems and even death. Mixing chlorine bleach with ammonia creates a chemical reaction that can be deadly. Learn how bleach and ammonia react to form chloramine, chlorine, and hydrazine, which are all toxic and can cause respiratory irritation, nausea, and death. Mixing chlorine bleach with ammonia creates a. What Do You Get When You Mix Chlorine And Ammonia.
From ifunny.co
6 Cleaning Products YOU SHOULD MIX Bleach + Vinegar Bleach + Ammonia What Do You Get When You Mix Chlorine And Ammonia Sodium hypochlorite is the active ingredient in chlorine bleach. What happens when you mix bleach & ammonia? Mixing ammonia and bleach produces toxic gases that can cause respiratory damage, chemical burns, and even death. Mixing bleach and ammonia produces chloramine gas, which can cause severe respiratory problems and even death. Here is your mini chemistry lesson. Mixing bleach and ammonia. What Do You Get When You Mix Chlorine And Ammonia.
From www.wkyc.com
VERIFY Which cleaning products could be dangerous to mix What Do You Get When You Mix Chlorine And Ammonia Learn how bleach and ammonia react to form chloramine, chlorine, and hydrazine, which are all toxic and can cause respiratory irritation, nausea, and death. Learn why you should never mix ammonia and bleach, how to recognize the symptoms of chloramine gas exposure and what to do if you are exposed. What happens when you mix bleach & ammonia? Mixing chlorine. What Do You Get When You Mix Chlorine And Ammonia.
From cookinglove.com
Chlorine and ammonia What Do You Get When You Mix Chlorine And Ammonia Here is your mini chemistry lesson. What happens when you mix bleach & ammonia? Learn how bleach and ammonia react to form chloramine, chlorine, and hydrazine, which are all toxic and can cause respiratory irritation, nausea, and death. Mixing ammonia and bleach produces toxic gases that can cause respiratory damage, chemical burns, and even death. Mixing bleach and ammonia causes. What Do You Get When You Mix Chlorine And Ammonia.
From www.scienceabc.com
Bleach And Ammonia What Happens When You Mix Bleach & Ammonia? What Do You Get When You Mix Chlorine And Ammonia Sodium hypochlorite is the active ingredient in chlorine bleach. Here is your mini chemistry lesson. Mixing bleach and ammonia causes the release of toxic vapors called chloramines (these are a group of related compounds that are known to irritate the respiratory system). Learn why you should never mix ammonia and bleach, how to recognize the symptoms of chloramine gas exposure. What Do You Get When You Mix Chlorine And Ammonia.
From cookinglove.com
Chlorine and ammonia What Do You Get When You Mix Chlorine And Ammonia Sodium hypochlorite is the active ingredient in chlorine bleach. Mixing chlorine bleach with ammonia creates a chemical reaction that can be deadly. Learn how bleach and ammonia react to form chloramine, chlorine, and hydrazine, which are all toxic and can cause respiratory irritation, nausea, and death. Mixing bleach and ammonia produces chloramine gas, which can cause severe respiratory problems and. What Do You Get When You Mix Chlorine And Ammonia.
From kaiserscience.wordpress.com
Don’t mix household cleaners « KaiserScience What Do You Get When You Mix Chlorine And Ammonia Mixing bleach and ammonia produces chloramine gas, which can cause severe respiratory problems and even death. Learn why you should never mix ammonia and bleach, how to recognize the symptoms of chloramine gas exposure and what to do if you are exposed. What happens when you mix bleach & ammonia? Mixing bleach and ammonia causes the release of toxic vapors. What Do You Get When You Mix Chlorine And Ammonia.
From cookinglove.com
Chlorine and ammonia What Do You Get When You Mix Chlorine And Ammonia Sodium hypochlorite is the active ingredient in chlorine bleach. Learn how bleach and ammonia react to form chloramine, chlorine, and hydrazine, which are all toxic and can cause respiratory irritation, nausea, and death. Mixing chlorine bleach with ammonia creates a chemical reaction that can be deadly. What happens when you mix bleach & ammonia? Mixing chlorine bleach with ammonia creates. What Do You Get When You Mix Chlorine And Ammonia.
From www.numerade.com
SOLVED When household ammonia is mixed with bleach, NaOCl, toxic What Do You Get When You Mix Chlorine And Ammonia Sodium hypochlorite is the active ingredient in chlorine bleach. Learn how bleach and ammonia react to form chloramine, chlorine, and hydrazine, which are all toxic and can cause respiratory irritation, nausea, and death. Mixing bleach and ammonia produces chloramine gas, which can cause severe respiratory problems and even death. Mixing chlorine bleach with ammonia creates a chemical reaction that can. What Do You Get When You Mix Chlorine And Ammonia.
From www.slideserve.com
PPT What happens when you mix propane, ammonia, hydrogen PowerPoint What Do You Get When You Mix Chlorine And Ammonia Mixing bleach and ammonia causes the release of toxic vapors called chloramines (these are a group of related compounds that are known to irritate the respiratory system). Learn how bleach and ammonia react to form chloramine, chlorine, and hydrazine, which are all toxic and can cause respiratory irritation, nausea, and death. Learn why you should never mix ammonia and bleach,. What Do You Get When You Mix Chlorine And Ammonia.
From www.toppr.com
When excess of ammonia and chlorine react, nitrogen and ammonium What Do You Get When You Mix Chlorine And Ammonia Mixing bleach and ammonia produces chloramine gas, which can cause severe respiratory problems and even death. Mixing ammonia and bleach produces toxic gases that can cause respiratory damage, chemical burns, and even death. Here is your mini chemistry lesson. Learn how bleach and ammonia react to form chloramine, chlorine, and hydrazine, which are all toxic and can cause respiratory irritation,. What Do You Get When You Mix Chlorine And Ammonia.
From housevivid.com
What Happens When You Mix Ammonia And Vinegar? What Do You Get When You Mix Chlorine And Ammonia Mixing bleach and ammonia causes the release of toxic vapors called chloramines (these are a group of related compounds that are known to irritate the respiratory system). What happens when you mix bleach & ammonia? Mixing bleach and ammonia produces chloramine gas, which can cause severe respiratory problems and even death. Sodium hypochlorite is the active ingredient in chlorine bleach.. What Do You Get When You Mix Chlorine And Ammonia.
From www.youtube.com
Here's Why You Should NEVER Mix Bleach and Ammonia YouTube What Do You Get When You Mix Chlorine And Ammonia Mixing bleach and ammonia produces chloramine gas, which can cause severe respiratory problems and even death. Here is your mini chemistry lesson. Mixing ammonia and bleach produces toxic gases that can cause respiratory damage, chemical burns, and even death. Learn why you should never mix ammonia and bleach, how to recognize the symptoms of chloramine gas exposure and what to. What Do You Get When You Mix Chlorine And Ammonia.